相关产品推荐更多 >
万千商家帮你免费找货
0 人在求购买到急需产品
- 详细信息
- 文献和实验
- 技术资料
- 库存:
现货
- 保修期:
12个月
- 现货状态:
现货
- 供应商:
上海朗喜工业科技有限公司
在整个细胞制品制备的环节中,细胞培养至关重要,如何在有限的条件下最大的实现细胞的稳定扩增,一直是研究者亟需解决的问题。INNOVESSEL™ 上下双透气型培养瓶,在降低成本的同时最高效的实现细胞的扩增。
该培养瓶可适用于多种人源和动物源悬浮细胞系,包括但不限于T 细胞、嵌合抗原受体T 细胞(CAR - T)、T细胞受体T 细胞(TCR - T)、肿瘤浸润淋巴细胞(TIL)、自然杀伤细胞(NK)、嵌合抗原受体NK 细胞(CAR - NK)、细胞因子诱导的杀伤细胞(CIK)、K562 细胞、Jurkat 细胞、Raji 细胞等。
INNOVESSEL™系列培养瓶
INNOVESSEL™培养瓶旨在确保良好的气体交换,以促进细胞的优质生长。为减少滤膜意外浸湿(这可能是污染源)的情况,滤膜以独特的方式置于培养瓶顶部。与传统的培养摇瓶相比,INNOVESSEL™培养瓶的独特设计可更好的利用培养箱空间。

图1: INNOVESSEL 系列培养瓶(30mL/220mL/440mL/500mL/1000mL)
INNOVESSEL™系列培养瓶产品特点
1) 医用级材质,稳定可靠
INNOVESSEL™ 精选高品质医用级材料,生物相容性好,采用先进的生产工艺制成,确保细胞培养过程中的生物安全性和稳定性
2) 专利透气膜设计,优化气体交换
独特的疏水透气膜和上下双层透气结构,为细胞提供理想的气体交换条件,显著提升氧气供应效率,支持高密度培养,优化细胞生长速度和功能表现
3) 多规格选择,满足多场景需求
提供从30mL到1000mL的多种规格,大小规模实验室研究,均能灵活应对。
4) 密闭系统设计
瓶盖采用强化塑料外盖+医用级结构,达到100%密封,防止液体渗漏,可根据工艺需求提供带管路的密封盖。
5) 无惧高密度培养,保证活率
针对高密度细胞培养的难题,INNOVESSEL™通过科学优化的培养环境,有效减少细胞凋亡率,助力科研人员稳定获取高纯度、高活性的细胞。
6) 性能可靠,助力前沿研究
实验数据表明,INNOVESSEL™在T/CAR-T细胞和NK细胞培养中的表现均优于传统培养设备,大幅缩短实验周期,提升细胞产量,保障研究效率。
实验数据:
实验1:助力T/CAR-T细胞培养的突破!在 INNOVESSEL™ 30mL 细胞培养瓶中,T/CAR-T细胞的最高活细胞密度达1.6E+07/mL,相比普通T25瓶提高了2倍!

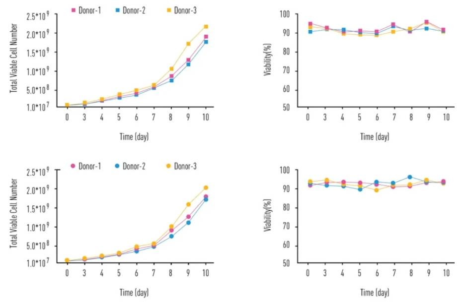
实验2:在InnoVessel-220mL中扩增不同Donor来源的CAR-T细胞,检测10天内的数据,结果发现细胞可以高活率状态扩增200倍!

实验3:更大规格的培养瓶(如 500mL 和 1000mL)同样表现卓越,可实现细胞 200倍高效扩增,同时保持 95%以上活率和稳定的CD19CAR阳性率。

实验4:使用 InnoVessel-500 培养的 CD19 CAR-T 细胞对靶细胞的杀伤有优秀的效果。

实验5:助力NK细胞扩增新里程碑,仅使用一个INNOVESSEL™500mL细胞培养瓶,从起始2E+07 PBMC,通过激活诱导,可收获3E+09总细胞,且CD3-CD56+比例高达 75%以上。

实验6:助力CHO细胞扩增大幅提升,CHO细胞在 InnoVessel-30 培养瓶中培养密度最高可达 4E+07/mL 以上,明显高于普通 50mL 摇管,与摇瓶培养效果相当。

无论是CAR-T细胞转染、免疫细胞扩增,还是药物筛选,INNOVESSEL™ 都是科学家手中不可或缺的利器。
INNOVESSEL™系列培养瓶接种密度:建议密度~5E+05/mL, 最低密度 2E+05/mL。
INNOVESSEL™独立密闭式培养瓶系统
为了更好的减少实验中开口所造成污染,INNOVEL同时推出两款全密闭的悬浮细胞培养瓶。InnoVessel-1000和lnnoVessel-2000密闭式培养瓶最大培养体积可达1L和2L。瓶体本身采用生物相容性材料,并应用专利性的上下透气膜技术优化培养瓶透气性,在此设计的基础上,放大瓶体高度和底面积,以提高整体透气效率,为细胞生长提供更加适宣的环境。
特点:
1) 操作简单,仅需普通的CO2培养箱静置培养即可;
2)截流夹筐可按需打开或关闭筐路;
3)培养过程自动化(去上清,补换液,收获细胞),消除手工操作可能带来的污染风险;
4)密闭系统,可配套液体控制器,满足GMP 生产要求;
5)针对不同工艺,可调节收获流速;
6)易于进行管路的更换(使用鲁尔接头连接),减少交叉污染的风险。
7)可根据实际工艺需求定制化管路材质及端口类型。

此外,研究人员针对lNNOVESSEL™培养瓶培养CAR-T细胞的过程进行了详细的生化指标追踪分析。lNNOVESSEL™培养瓶在透气性等方面进行了多种优化设计,研究人员希望对细胞扩增密切相关的代谢指标,如葡萄糖和谷氨酰胺消耗速率以及乳酸和氨类物质积累进行针对性分析,得出该耗材更细致的性能特点来为用户的使用提供更合理的参考。
风险提示:丁香通仅作为第三方平台,为商家信息发布提供平台空间。用户咨询产品时请注意保护个人信息及财产安全,合理判断,谨慎选购商品,商家和用户对交易行为负责。对于医疗器械类产品,请先查证核实企业经营资质和医疗器械产品注册证情况。
文献和实验底增加稳定性; 矩形:斜颈的矩形培养瓶瓶底至瓶颈是一个坡度设计,易于倾注,移液管或者细胞刮容易进入瓶体,大部分斜颈瓶都有一个裙边以增加稳定性。直颈和角度颈的矩形培养瓶整个瓶底都是培养面,节省空间并减少培养基因晃动而流到瓶盖。 以下是搜集的不同形状和用途的 细胞培养 瓶,主要包括:Nunc细胞培养瓶、Celstir夹套双侧臂细胞培养瓶、CellLine细胞培养瓶、Wheaton大容量细胞培养套装、美国 BELLCO 细胞悬浮培养瓶系列、美国 BELLCO
相关专题 细胞培养相关用品 细胞培养 板依底部形状的不同可分为平底和圆底(U型和V型);培养孔的孔数有6、12、24、48、96、384、1536 孔等;根据材质的不同有Terasaki板和普通细胞培养板。具体选择时根据培养细胞的类型、所需培养体积及不同的实验目的而定。 (1)平底和圆底(U型和V型)培养板的区别和选择: 贴壁细胞一般用平底培养板。悬浮型细胞的培养一般用V型。 U型培养板亦多用于培养
100 倍浓度,在试剂盒中即为 100 倍浓度。6 试验方法6.1 细胞和培养条件TK+/- 型的 L5178Y-3.7.2C 小鼠淋巴瘤细胞或 TK6 人类淋巴母细胞。两种细胞均在 5% 二氧化碳、37 ℃、饱和湿度条件下作常规悬浮培养。为避免在培养和传代期间自发突变的细胞对试验结果的影响,在正式试验前,应清除自发突变的 TK-/-基因型细胞。方法是:a)对于 L5178Y 细胞,使用 THMG 培养基处理 24 h,以 800r/min~1000 r/minm 的速度离心 4~6 min
技术资料暂无技术资料 索取技术资料










