相关产品推荐更多 >

171436-38-7 | SLIGRL-NH2(Protease-Activated Receptor-2 Activating Peptide)| 蛋白酶激活的受体-2激活肽
¥99
DOTA-PEG-NH2 NH2-PEG-DOTA Tetraxetan-PEG-Amine 大环配体-聚乙二醇-氨基
¥99
科研级DSPE-PEG-GCPLGMRGC磷脂多肽 适配αvβ3/GRPR肿瘤靶向纳米药物研发
¥99
117761-01-0 | {Cbz}-Phe-Arg-{pNA} | Cbz}-FR-{pNA} | Cbz-Phe-Arg-pNA | 组织蛋白酶L的底物
¥99
Defensin HNP-1 human 148093-65-6 ACYCRIPACIAGERRYGTCIYQGRLWAFCC 人中性粒细胞肽 (HNPs)
¥99
万千商家帮你免费找货
0 人在求购买到急需产品
- 详细信息
- 文献和实验
- 技术资料
- 库存:
1000
- 英文名:
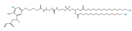
DSPE-PEG-oNb
- CAS号:
N/A
- 保质期:
一年
- 供应商:
深圳市魅罗科技有限公司
- 保存条件:
-20℃以下冰冻、干燥
- 规格:
50mg
oNb-PEG-DSPE DSPE-PEG-oNb 丙烯酸酯邻硝基苄基-聚乙二醇-磷脂
关键产品信息
中文名称: 磷脂-聚乙二醇-丙烯酸酯邻硝基苄基
简称 : DSPE-PEG-oNb
品牌: 魅罗科技(MeloPEG)
结构:
纯度:95%以上
注意事项
保持干燥
存储条件
-20℃以下冰冻、干燥
应用
DSPE-PEG-oNb 是一种由三部分组成的光响应性分子,结合了脂质、聚合物和光敏基团的功能。其结构包括亲脂性的 DSPE,用于嵌入脂质膜;亲水性的 PEG(聚乙二醇)链,提供良好的水溶性与生物相容性;以及光敏的oNb基团,可发生光降解,实现在特定条件下的结构断裂或功能释放,广泛应用于可控药物释放和智能纳米材料中。
丙烯酸酯邻硝基苄基(oNB)的光降解反应要点:
光触发断裂(365–405 nm 蓝光):
oNB 是一种光敏基团,在蓝光照射下发生光裂解反应。
C–O 键断裂机制:
光照后,oNB 基团中的苄氧键断裂,断开与丙烯酸酯或其他结构的连接。
水凝胶网络瓦解:
在水凝胶中,oNB 是交联点的一部分,断裂后导致水凝胶降解或结构松散。
可控性强:
降解仅在照射区域发生,具有高度的时空可控性。
相关目录:
DSPE-PEG-LEEEEEAYGWMDF 磷脂-聚乙二醇-人胃泌素
DSPE-PEG-NAVPNLRGDLQVLAQKVARTC 磷脂-聚乙二醇-整合素抑制肽
DSPE-PEG-CGYGPKKKRKVGG 磷脂-聚乙二醇-细胞穿透肽
DSPE-PEG-DEVD 磷脂-聚乙二醇-可被 caspase-3 酶切割的肽
DSPE-PEG-GFLG(Gly-Phe-Leu-Gly) 磷脂-聚乙二醇-组织蛋白酶B响应性短肽
DSPE-PEG-HDDAPL 磷脂-聚乙二醇-线粒体靶向肽
DSPE-PEG-oNb 磷脂-聚乙二醇-丙烯酸酯邻硝基苄基
风险提示:丁香通仅作为第三方平台,为商家信息发布提供平台空间。用户咨询产品时请注意保护个人信息及财产安全,合理判断,谨慎选购商品,商家和用户对交易行为负责。对于医疗器械类产品,请先查证核实企业经营资质和医疗器械产品注册证情况。
文献和实验Angiogenic Vessel-Targeting DDS by Liposomalized Oligopeptides
of PEGylated liposomes, we synthesized a novel lipid derivative of the peptide, distearoylphosphatidylethanolamine–polyethyleneglycol–APRPG (DSPE–PEG–APRPG). The lipid derivative of APRPG peptide is expected to be readily incorporated into liposomal membrane
技术资料暂无技术资料 索取技术资料





