相关产品推荐更多 >
万千商家帮你免费找货
0 人在求购买到急需产品
- 详细信息
- 文献和实验
- 技术资料
- 保存条件:
4℃
- 英文名:
FTD500
- 库存:
1000
- 供应商:
北京博蕾德生物科技有限公司
- CAS号:
N/A
- 规格:
1mg
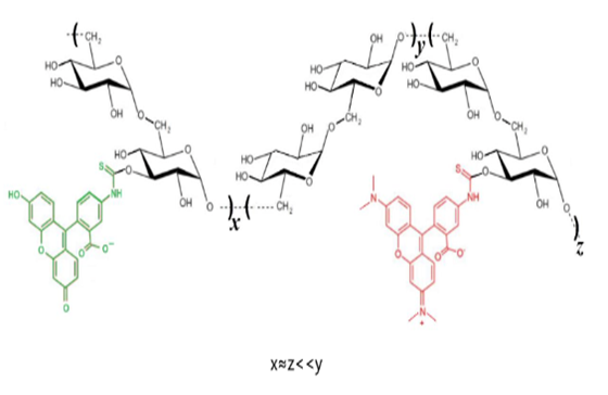
荧光双标-葡聚糖(FITC-TRITC-dextran 500)
--活体显微检测的有力工具
产品描述:
FITC- TRITC葡聚糖(FTD)是一种葡聚糖衍生物,用两种荧光团-标记,FITC和TRITC(见图1),分子量为500 kDa。
产品结构:
葡聚糖是由串珠菌B512F菌产生的一类分支多糖。从结构上讲,每个荧光团(FITC和TRITC)都通过硫***脲乙烷键与葡聚糖结合(图1)。对于每种荧光团,取代度(DS)在每摩尔葡萄糖单元0.001至0.020摩尔染料的范围内。与葡聚糖结合的FITC/TRITC的摩尔比可以在1:1至2:1之间变化,并在中性pH下进行分光光度评估。产品纯化过程(与相应的FITC和TRITC葡聚糖非常相似),终产物不含FITC、 TRIC游离染料(即未结合的染料或染料副产物)。纯化后对产品的分子量、外观、溶解度、荧光进行检测,实际分子量通过GPC法测定。

光谱数据:
FITC-TRITC葡聚糖为双重荧光标记,当在λex=493 nm(FITC)下光激发时,FITC-TRITC-葡聚糖在λfl=517±5nm处表现出荧光峰,而当在λex=550 nm(TRITC)下激发时,在λfl=575±5nm处显示出荧光峰。FITC- TRITC葡聚糖
双重标记的特别之处在于,其中FITC荧光(以及吸光度)高度依赖于pH值,而另一个相应的荧光TRIT在pH2 和10之间保持不变(见图2.)这样可以准确测定活细胞和组织中的pH值,因此该产品是活体显微检测的有力工具。

产品保存 :
室温,避光封闭保存。
溶解性:
FITC-TRITC葡聚糖呈粉红色粉末状,高度溶于水和DMSO,而与强氧化剂不相容。
产品应用:
FITC- TRITC葡聚糖适用于检测和监测活细胞或组织中的pH值,可检测pH值范围3.5~8.0。
产品订购:
|
品牌 |
货号 |
产品名称 |
分子量 |
规格 |
|
TdB Labs |
FTD |
FITC-TRITC-dextran 500 |
500kDa |
1mg/5mg |
更多产品详情。请联系TdB Labs 中国区总代理北京博蕾德生物科技有限公司。
风险提示:丁香通仅作为第三方平台,为商家信息发布提供平台空间。用户咨询产品时请注意保护个人信息及财产安全,合理判断,谨慎选购商品,商家和用户对交易行为负责。对于医疗器械类产品,请先查证核实企业经营资质和医疗器械产品注册证情况。
文献和实验影响因子集体大涨,史上首个突破 500 分的期刊来了:解读 2021 年 SCI 影响因子
论文的总数 —— 影响因子应声上涨。拓展阅读:科研民工狂喜,明年 SCI 影响因子将集体上涨?:详细解读影响因子的全新计算方法神刊 CA-A Cancer Journal for Clinicians 是人类历史上首个 IF 过 500 的期刊,应该计入吉尼斯纪录。考虑到其他期刊 IF 还没有超过 100,CA 将在很长一段时间内独享此殊荣。而去年 CA 的 IF 还「仅有」292.278。图片来源:Wiley 官网三大刊 CNS 的 IF 稳中有升难分伯仲,全部进入四字头。四
【求助】492bp片段跑胶比500的marker要大(如图)!为何?
stb1986 PCR产物492bp(经过测序验证),可是多次琼脂糖电泳条带却明显比500的marker要大(如图),不知原因是什么呢?GC比例为30%,可是G+C与A+C的分子量差别不大啊,请问有战友试过类似情况不?原因何在?谢谢! liupeiyanxiaohai 我也遇到过, 认为是maker不准,可以换个marker试试 qst1981 我也遇到过一样的问题 我想
1仪器分析原理和适用范围 11原理AFT500电解质分析仪使用离子选择性电极技术同时测生物体液中的钠、钾、氯离子浓度(生物体液用缓冲液稀释,该法为间接离子选择性电极法)。钠、钾电极采用对钠、钾离子敏感的膜电极;氯电极采用分子机制的PVC膜,仅对氯离子敏感。电极电位可与内参比电极产生的稳定电位比较而测得。离子选择性电极使得电位随样品的离子浓度的改变而改变,变化的电位与离子浓度呈对数关系,以能斯特方程表示。 测时利用了比较法。首先,加入样品,再加入稀释液,混匀后吸进装载电极的分析单元中








