相关产品推荐更多 >
万千商家帮你免费找货
0 人在求购买到急需产品
- 详细信息
- 文献和实验
- 技术资料
- 保存条件:
We recommend that you refer to the Storage method in the COA
- 保质期:
见产品包装
- 英文名:
Recombinant Human IL-23R/His Protein
- 库存:
充分
- 供应商:
百英生物
-
Alternative Name
IL23R
-
Target
IL-23R
-
Source
Human IL-23R was expressed from HEK293 with poly His at the C-terminal
-
Sequence
Gly24-Gly355
-
Protein structure:
Q5VWK5His
-
Molecular Characterization:
The protein has a calculated MW of 39kDa.The reducing (R) heterodimer protein migrates as 50-100 kDa due to glycosylation
-
Purity:
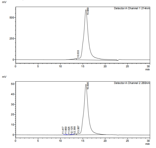
SDS-PAGE>90%,SEC>95%
-
Reconstitution:
sterile H2O
-
Endotoxin:
<1EU/mg
-
Formulation:
Lyophilized from 0.22 μm filtered solution in PBS, pH7.4.

Determined by SDS-PAGE, the purity of the protein is greater than 90%.

Determined by SEC-HPLC, the purity of the protein is greater than 95%.

When Recombinant Human IL-23R/His Protein is immobilized at 2µg/mL (100 µL/well), the concentration of Anti Human IL-23R Antibody(clone TC48-8B10.D5) that produces 50% of the optimal binding response is approximately 1.7ug/ml.
风险提示:丁香通仅作为第三方平台,为商家信息发布提供平台空间。用户咨询产品时请注意保护个人信息及财产安全,合理判断,谨慎选购商品,商家和用户对交易行为负责。对于医疗器械类产品,请先查证核实企业经营资质和医疗器械产品注册证情况。
文献和实验Methods for Producing Recombinant Human Cellular Retinaldehyde-Binding Protein
The cellular retinaldehyde-binding protein (CRALBP) is expressed at high levels in vertebrate visual trssue, where it may serve to modulate the interaction of 11-cis -retinol with visual-cycle enzymes in the retinal pigment epithelium (RPE
Recombinant Protein Production in Yeasts
Recombinant protein production is a multibillion-dollar market. The development of a new product begins with the choice of a production host. While one single perfect host for every protein does not exist, several expression systems ranging
Recombinant Protein Expression in Nicotiana
Recombinant protein pharmaceuticals are now widely used in treatment of chronic diseases, and several recombinant protein subunit vaccines are approved for human and veterinary use. With growing demand for complex protein pharmaceuticals
技术资料暂无技术资料 索取技术资料










