相关产品推荐更多 >
万千商家帮你免费找货
0 人在求购买到急需产品
- 详细信息
- 文献和实验
- 技术资料
- 库存:
1000
- 英文名:
DSPE-PEG-RGDC
- CAS号:
N/A
- 保质期:
一年
- 供应商:
深圳市魅罗科技有限公司
- 保存条件:
-20°干燥避光
- 规格:
50mg
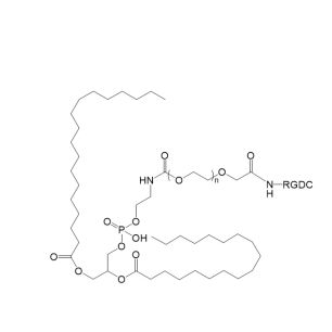
DSPE-PEG-Arg-Gly-Asp-Cys DSPE-PEG-RGDC RGDC-PEG-DSPE 磷脂-聚乙二醇-整联蛋白靶向肽
关键产品信息
中文名称:磷脂-聚乙二醇-整联蛋白靶向肽
简称 : DSPE-PEG-RGDC
品牌: 魅罗科技(MeloPEG)
结构:
纯度:95%以上
注意事项
保持干燥
存储条件
-20℃以下冰冻、干燥
应用
DSPE-PEG-RGDC是一种由磷脂、聚乙二醇和带有半胱氨酸的整联蛋白靶向四肽(Arg-Gly-Asp-Cys)构成的功能化材料,具备优异的生物相容性、长循环性和精准靶向整联蛋白受体的能力。
组成结构
DSPE:亲脂性磷脂分子,可稳定插入脂质体或纳米颗粒双层膜,提供物理支撑与良好生物相容性。
PEG:亲水性聚乙二醇链段,提升材料水溶性、血液中稳定性,并延长体内循环时间。
RGDC四肽(Arg-Gly-Asp-Cys):在传统RGD三肽基础上引入半胱氨酸(Cys),保持整联蛋白结合功能,并增加通过巯基实现稳定连接的能力。
功能特点
具有高效整联蛋白受体(如αvβ3 integrin)靶向识别能力,实现病灶部位主动聚集。
半胱氨酸巯基增强了肽段与材料表面的共价连接,提升载体稳定性,减少脱落。
可进一步通过巯基化学修饰,扩展成药物载荷、成像探针或多功能组合平台。
相关目录:
DSPE-PEG-KLVF 磷脂-聚乙二醇-来源于淀粉样蛋白的短肽
DSPE-PEG-CSTSML 磷脂-聚乙二醇-特异性组织靶向肽
DSPE-PEG-DGEA 磷脂-聚乙二醇-骨靶向黏附肽
DSPE-PEG-CAQK(Cys-Ala-Glu-Lys) 磷脂-聚乙二醇-脑损伤靶向肽
DSPE-PEG-WSW(WSWGPYS) 磷脂-聚乙二醇-肝靶向多肽
DSPE-PEG-NEBP(CGEAIPMSIPPEVK) 磷脂-聚乙二醇-中性粒细胞弹性蛋白酶结合肽
风险提示:丁香通仅作为第三方平台,为商家信息发布提供平台空间。用户咨询产品时请注意保护个人信息及财产安全,合理判断,谨慎选购商品,商家和用户对交易行为负责。对于医疗器械类产品,请先查证核实企业经营资质和医疗器械产品注册证情况。
文献和实验Angiogenic Vessel-Targeting DDS by Liposomalized Oligopeptides
. At first, we introduce our strategies to identify objective peptides. We performed in vivo biopanning using a phage-displayed peptide library and identified Ala-Pro-Arg-Pro-Gly (APRPG) peptide as a ligand for angiogenic vessels. To modify APRPG peptide on the surface
-107、OV-106和ES-2以不同方式给药的体内实验结果显示,靶向蛙皮素的复合物(AN-215)、靶向生长抑素的复合物(AN238)和靶向黄体酮释放激素的复合物(AN-207)单独给药均对卵巢癌细胞有显著抑制作用,而不会诱导耐药基因表达。 (5)其他多肽介导的靶向药物递送系统:Pan等证明包含RGD(Arg-Gly-Asp)序列的寡肽(K)16GRGDSPC是一种易合成的、高效无毒的载体,可把外源性基因靶向转入小鼠的骨髓基质细胞(BMSCs)内。 Szynol等筛选出一个源于富组蛋白的含有14个氨
,这些假基因有和真基因相同的ORF,但却从不表达(已发现表达的假基因)③RNA水平上遗传信息加工(RNA editing)④蛋白质水平上遗传信息的加工(蛋白质剪接第二章 蛋白质组成及结构1、各种氨基酸的三字母符和单字母符。甘氨酸-Gly,G 亮氨酸-Leu,L丙氨酸-Ala,A 异亮氨酸-Ile,I 缬氨酸-Val,V脯氨酸 Pro,P苯丙氨酸-Phe,F酪氨酸-Tyr,Y色氨酸-Trp,W丝氨酸-Ser,S 半胱氨酸-Cys,C苏氨酸 Thr,T甲硫氨酸-Met,M天冬氨酸-Asp,D谷氨酸-Glu,E
技术资料暂无技术资料 索取技术资料









