相关产品推荐更多 >

PL3肽 AGRGRLVR 双靶向肿瘤归巢肽 实现高效的肿瘤靶向递送
¥99
DSPE-PEG-PL3 DSPE-PEG-AGRGRLVR PL3-PEG-DSPE 磷脂-聚乙二醇-双靶向肿瘤归巢肽
¥99
DSPE-PEG-KHNNTDYEYNC DSPE-PEG-PD-L1 KHNNTDYEYNC-PEG-DSPE 靶向肽-聚乙二醇-磷脂
¥99
DSPE-PEG-GPLGMRGL GPLGMRGL-PEG-DSPE 磷脂-聚乙二醇-MMP-13敏感肽
¥99![1122484-55-2 | LM-030 (Synonyms: BPR277) | Q-lactone[TL-{Oaa}-YI] | KLK7和ELA2抑制剂](https://img1.dxycdn.com/p/s14/2024/1203/638/8820686218750673681.jpg!wh200)
1122484-55-2 | LM-030 (Synonyms: BPR277) | Q-lactone[TL-{Oaa}-YI] | KLK7和ELA2抑制剂
¥99
万千商家帮你免费找货
0 人在求购买到急需产品
- 详细信息
- 文献和实验
- 技术资料
- 库存:
1000
- 英文名:
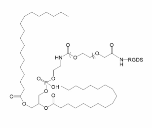
DSPE-PEG-RGDS
- CAS号:
N/A
- 保质期:
一年
- 供应商:
深圳市魅罗科技有限公司
- 保存条件:
-20°干燥避光
- 规格:
50mg
RGDS-PEG-DSPE Arg-Gly-Asp-Ser-PEG-DSPE DSPE-PEG-RGDS 整联蛋白靶向肽-聚乙二醇-磷脂
关键产品信息
中文名称:磷脂-聚乙二醇-整联蛋白靶向肽
简称 : DSPE-PEG-RGDS
品牌: 魅罗科技(MeloPEG)
结构:

纯度:95%以上
注意事项
保持干燥
存储条件
-20℃以下冰冻、干燥
应用
DSPE-PEG-RGDS(Arg-Gly-Asp-Ser)是一种由磷脂、聚乙二醇和整联蛋白靶向肽组成的功能性材料,具备优异的生物相容性、长循环性和针对整联蛋白受体的靶向递送能力。
DSPE-PEG-RGDS在药物递送中的优势
靶向性强
RGDS序列可以特异性识别并结合整联蛋白受体(如αvβ3、α5β1 integrins),这些受体在肿瘤细胞、新生血管内皮细胞等病变组织中高表达,从而实现药物对病灶区域的主动靶向递送,提高治疗精准性。
延长循环时间
PEG链段在DSPE-PEG结构中形成亲水保护层,有效减少血浆蛋白吸附和巨噬细胞识别,显著延长纳米药物在体内的循环时间,增加药物到达靶组织的概率。
促进细胞内摄取与凋亡诱导
RGDS不仅能介导与整联蛋白受体的结合促进细胞内吞,还能直接结合pro-caspase-8、pro-caspase-9和pro-caspase-3等凋亡相关蛋白,潜在增强药物的促凋亡效果,协同提高治疗效率。
良好的生物相容性和稳定性
DSPE-PEG骨架赋予体系高度生物相容性,且能在脂质体或纳米颗粒中构建稳定结构,保证药物在递送过程中的完整性与活性,减少早期泄漏和降解。
多功能可扩展性
DSPE-PEG-RGDS可以与多种药物(小分子、蛋白质、核酸等)组合使用,还可进一步结合成像探针,实现治疗与诊断(theranostics)一体化设计。
相关目录:
DSPE-PEG-tLyP-1 磷脂-聚乙二醇-NRP-1 靶向肽
DSPE-PEG-GRGDS 磷脂-聚乙二醇-抗黏附多肽
DSPE-PEG-APRPG 磷脂-聚乙二醇-肿瘤新生血管靶向肽
DSPE-PEG-CREKA 磷脂-聚乙二醇-肿瘤血管靶向肽
DSPE-PEG-WSW(WSWGPYS) 磷脂-聚乙二醇-肝靶向多肽
DSPE-PEG-NEBP(CGEAIPMSIPPEVK) 磷脂-聚乙二醇-中性粒细胞弹性蛋白酶结合肽
风险提示:丁香通仅作为第三方平台,为商家信息发布提供平台空间。用户咨询产品时请注意保护个人信息及财产安全,合理判断,谨慎选购商品,商家和用户对交易行为负责。对于医疗器械类产品,请先查证核实企业经营资质和医疗器械产品注册证情况。
文献和实验Angiogenic Vessel-Targeting DDS by Liposomalized Oligopeptides
. At first, we introduce our strategies to identify objective peptides. We performed in vivo biopanning using a phage-displayed peptide library and identified Ala-Pro-Arg-Pro-Gly (APRPG) peptide as a ligand for angiogenic vessels. To modify APRPG peptide on the surface
-107、OV-106和ES-2以不同方式给药的体内实验结果显示,靶向蛙皮素的复合物(AN-215)、靶向生长抑素的复合物(AN238)和靶向黄体酮释放激素的复合物(AN-207)单独给药均对卵巢癌细胞有显著抑制作用,而不会诱导耐药基因表达。 (5)其他多肽介导的靶向药物递送系统:Pan等证明包含RGD(Arg-Gly-Asp)序列的寡肽(K)16GRGDSPC是一种易合成的、高效无毒的载体,可把外源性基因靶向转入小鼠的骨髓基质细胞(BMSCs)内。 Szynol等筛选出一个源于富组蛋白的含有14个氨
,这些假基因有和真基因相同的ORF,但却从不表达(已发现表达的假基因)③RNA水平上遗传信息加工(RNA editing)④蛋白质水平上遗传信息的加工(蛋白质剪接第二章 蛋白质组成及结构1、各种氨基酸的三字母符和单字母符。甘氨酸-Gly,G 亮氨酸-Leu,L丙氨酸-Ala,A 异亮氨酸-Ile,I 缬氨酸-Val,V脯氨酸 Pro,P苯丙氨酸-Phe,F酪氨酸-Tyr,Y色氨酸-Trp,W丝氨酸-Ser,S 半胱氨酸-Cys,C苏氨酸 Thr,T甲硫氨酸-Met,M天冬氨酸-Asp,D谷氨酸-Glu,E
技术资料暂无技术资料 索取技术资料





