相关产品推荐更多 >

RDVFTKGYGFGL-PEG-DSPE N-Ter-PEG-DSPE DSPE-PEG-N-Ter 线粒体靶向肽-聚乙二醇-磷脂
¥99
FITC-HA-SH 绿色荧光素-透明质酸-巯基 FITC-HA-Thiol/HS
¥99
DMG-PEG-CY5.5 Cyanine 5.5-PEG-DMG 二肉豆蔻酰甘油-聚乙二醇-花菁染料Cy5.5
¥99
RQIKIWFQNRRMKWKK 188842-14-0 Penetratin peptide 穿膜肽/黑腹果蝇触足肽
¥99
CD19 Monoclonal Antibody, FITC/PE/PE-Cy5/APC Conjugated 不同荧光标记抗CD19抗体
¥99
万千商家帮你免费找货
0 人在求购买到急需产品
- 详细信息
- 技术资料
- 库存:
1000
- 英文名:
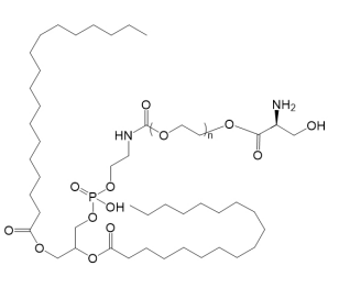
DSPE-PEG-L-Ser
- CAS号:
N/A
- 保质期:
一年
- 供应商:
深圳市魅罗科技有限公司
- 保存条件:
-20°干燥避光
- 规格:
50mg
L-serine-PEG-DSPE DSPE-PEG-L-Ser L-Ser-PEG-DSPE L-丝氨酸-聚乙二醇-磷脂
关键产品信息
中文名称:磷脂-聚乙二醇-L-丝氨酸
简称 : DSPE-PEG-L-Ser
品牌: 魅罗科技(MeloPEG)
结构:
纯度:95%以上
注意事项
保持干燥
存储条件
-20℃以下冰冻、干燥
应用
DSPE-PEG-L-Ser 是一种功能化脂质聚合物,结合 DSPE 的膜锚定、PEG 的长循环稳定性和 L-Ser 的活性修饰能力,广泛用于药物递送和生物靶向修饰。
功能与应用
药物递送:由于 L-Ser 含有氨基和羟基,可以通过化学修饰连接靶向分子或药物,实现特异性递送。
生物功能化:L-Ser 提供的活性基团可以连接抗体、多肽或其他生物活性分子,赋予纳米载体特定的生物学功能。
长循环稳定性:PEG 提供的水化层能够有效延长纳米颗粒在体内的循环时间,减少清除率。
细胞相互作用:L-Ser 是氨基酸,可以与细胞膜蛋白或代谢途径发生相互作用,增强细胞亲和性。
应用实例
肿瘤靶向递送:通过将 L-Ser 修饰的脂质体包裹抗癌药物,可以利用特定肿瘤细胞对氨基酸的摄取机制,提高药物在肿瘤部位的积累。
纳米生物探针:通过 L-Ser 连接荧光分子或受体配体,制备具有特异性识别能力的探针,用于细胞成像和靶向诊断。
相关目录:
DSPE-PEG-Phosphorylethanolamine 磷脂-聚乙二醇-乙-醇胺磷酸酯
DSPE-PEG-DCA 磷脂-聚乙二醇-脱氧胆酸
DSPE-PEG-N-p-Tosylglycine 磷脂-聚乙二醇-N-对甲苯磺酰甘氨酸
DSPE-PEG-DOX 磷脂-聚乙二醇-阿霉素
DSPE-PEG-5-HT 磷脂-聚乙二醇-L-5-羟基色氨酸
DPPE-PEG-DOTA 磷脂-聚乙二醇-大环配体
风险提示:丁香通仅作为第三方平台,为商家信息发布提供平台空间。用户咨询产品时请注意保护个人信息及财产安全,合理判断,谨慎选购商品,商家和用户对交易行为负责。对于医疗器械类产品,请先查证核实企业经营资质和医疗器械产品注册证情况。
技术资料暂无技术资料 索取技术资料




