相关产品推荐更多 >

FITC-(DSS)6-PEG2000-DSPE 荧光素-骨靶向肽-聚乙二醇-磷脂 DSPE-PEG-(DSS)6-FITC
¥99
HWKAVNWLKPWT-PEG-DSPE DSPE-PEG-HWKAVNWLKPWT 内毒素亲和肽-聚乙二醇-磷脂
¥99
罗丹明标记的刀豆球蛋白A RB-ConA ConA-RB Concanavalin A-Rhodamine 荧光标记蛋白 荧光标记的凝集素
¥99
143313-51-3 | Ac-YVAD-CHO | Ac-Tyr-Val-Ala-Asp-CHO | 四肽白介素1β转化酶(ICE)抑制剂
¥99
DSPE-PEG-LPFFD LPFFD-PEG-DSPE 磷脂-聚乙二醇-LPFFD肽
¥99
万千商家帮你免费找货
0 人在求购买到急需产品
- 详细信息
- 技术资料
- 库存:
1000
- 英文名:
DSPE-PEG-L-His
- CAS号:
N/A
- 保质期:
一年
- 供应商:
深圳市魅罗科技有限公司
- 保存条件:
-20°干燥避光
- 规格:
50mg
L-Histidine-PEG-DSPE L-His-PEG-DSPE DSPE-PEG-L-His L-组氨酸-聚乙二醇-磷脂
关键产品信息
中文名称:磷脂-聚乙二醇-L-组氨酸
简称 : DSPE-PEG-L-His
品牌: 魅罗科技(MeloPEG)
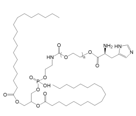
结构:
纯度:95%以上
注意事项
保持干燥
存储条件
-20℃以下冰冻、干燥
应用
DSPE-PEG-L-His由磷脂(DSPE)、聚乙二醇(PEG)和L-组氨酸(L-His)三部分组成,形成具有长循环性和pH响应性的纳米载药复合物。
DSPE-PEG-L-His的主要特性:
1. pH响应特性:
DSPE-PEG-L-His具有酸敏感特性,主要来源于L-组氨酸(L-His)中的咪唑基团。在中性或碱性环境下,咪唑基团呈中性,复合物保持稳定;而在酸性环境(如肿瘤微环境或溶酶体),咪唑基团质子化,带正电荷,使纳米载体解体或膜通透性增加,快速释放药物。这一特性使DSPE-PEG-L-His在酸性病灶中具有靶向释放效果,有效提高抗肿瘤药物的疗效。
2. 长循环特性:
DSPE-PEG-L-His中的PEG链具有长循环能力,能够延长纳米颗粒在血液中的停留时间。PEG通过形成空间位阻效应,减少血清蛋白吸附和单核吞噬系统(RES)清除,使药物在体内长时间循环,有助于药物在肿瘤区域的富集。这种特性不仅提高了治疗效率,还能减少系统性毒性,确保药物能够精准到达靶向部位。
3. 生物相容性和低毒性:
DSPE-PEG-L-His由生物相容性优良的成分组成,具有低毒性和高安全性。DSPE作为磷脂分子,与生物膜结构相似,能有效融合;PEG链减少免疫识别,降低免疫反应;L-组氨酸作为天然氨基酸,在体内代谢安全。因此,该复合物在药物递送中表现出良好的体内稳定性和低副作用,适合长期治疗应用。
4. 药物负载和靶向释放:
DSPE-PEG-L-His能够高效包载疏水性药物,如紫杉醇、阿霉素,并在酸性环境中触发释放。DSPE部分形成疏水核心包载药物,PEG部分形成亲水外壳稳定纳米颗粒。在肿瘤或细胞内酸性环境下,L-组氨酸的质子化效应促使药物快速释放,提高靶向治疗效果,有效减少正常组织的药物暴露,降低毒副作用。
相关目录:
DOPE-PEG-L-Arginine 磷脂-聚乙二醇-L-精氨酸
DSPE-PEG-N-acetyl-L-cysteine 磷脂-聚乙二醇-N-乙酰-L-半胱氨酸
DSPE-PEG-L-Arg 磷脂-聚乙二醇-L-精氨酸
DSPE-PEG-Cys 磷脂-聚乙二醇-半胱氨酸
DSPE-PEG-o-phospho-tyrosine 磷脂-聚乙二醇-磷酸酪氨酸
风险提示:丁香通仅作为第三方平台,为商家信息发布提供平台空间。用户咨询产品时请注意保护个人信息及财产安全,合理判断,谨慎选购商品,商家和用户对交易行为负责。对于医疗器械类产品,请先查证核实企业经营资质和医疗器械产品注册证情况。
技术资料暂无技术资料 索取技术资料




