相关产品推荐更多 >

R6H4-PEG-DSPE DSPE-PEG-R6H4 RRRRRRHHHH-PEG-DSPEPH响应性穿膜肽-聚乙二醇-磷脂
¥99
DSPE-PEG-Defensin1 磷脂-聚乙二醇-人中性粒细胞肽 Defensin1-PEG-DSPE (ACYCRIPACIAGERRYGTCIYQGRLWAFCC)
¥99
DMG-PEG-COOH/Carboxyl PEG-DMG 1,2-二肉豆蔻酰-rac-甘油-3-聚乙二醇-羧基
¥99
CGSDITWDQLWDLMK 细胞表面的e选择素靶向肽 具有精确识别并结合E-选择素的功能
¥99
血脑屏障穿透肽 Peptide-22 c(MPRLRGC) 携带小分子药物
¥99
万千商家帮你免费找货
0 人在求购买到急需产品
- 详细信息
- 技术资料
- 库存:
1000
- 英文名:
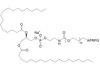
DSPE-PEG-APRPG
- CAS号:
N/A
- 保质期:
一年
- 供应商:
深圳市魅罗科技有限公司
- 保存条件:
-20°干燥避光
- 规格:
50mg
DSPE-PEG-Ala-Pro-Arg-Pro-Gly DSPE-PEG-APRPG APRPG-PEG-DSPE 磷脂-聚乙二醇-肿瘤新生血管靶向肽
关键产品信息
中文名称:磷脂-聚乙二醇-肿瘤新生血管靶向肽
简称 : DSPE-PEG-APRPG
品牌: 魅罗科技(MeloPEG)
结构:
纯度:95%以上
注意事项
保持干燥
存储条件
-20℃以下冰冻、干燥
应用
DSPE-PEG-APRPG是一种以磷脂(DSPE)和聚乙二醇(PEG)为基础、携带能特异性识别肿瘤新生血管中整合素α4β1的五肽APRPG(Ala-Pro-Arg-Pro-Gly)的靶向递送分子,可增强纳米药物在肿瘤部位的聚集并提高治疗效果。
DSPE-PEG-APRPG的主要特点包括:
1. 主动靶向新生血管
APRPG五肽序列专门针对肿瘤新生血管中特异性高表达的整合素α4β1,能主动识别并结合靶点,精准聚集于肿瘤组织,显著提高靶向递送效率。
2. 提高药物治疗效果
特异性靶向使药物有效浓集于肿瘤部位,显著提升药效,减少药物剂量,降低全身毒性和副作用。
3. 增强稳定性与长循环效应
DSPE与PEG链段提供良好的亲水性和“隐身效应”,有效避免纳米药物被单核吞噬细胞系统快速清除,延长药物在血液中的循环半衰期。
4. 改善纳米药物的生物相容性
磷脂(DSPE)和PEG组成的载体结构具有较高的生物安全性,降低免疫反应风险,增强药物递送体系的临床转化潜力。
5. 应用范围广泛
可用于抗肿瘤药物递送、肿瘤早期诊断以及诊疗一体化(Theranostics)纳米材料的研发,具有较高的医学应用前景。
相关目录:
DSPE-PEG-NEBP 磷脂-聚乙二醇-中性粒细胞弹性蛋白酶结合肽
DSPE-PEG-GSH 磷脂-聚乙二醇-谷胱甘肽
DSPE-PEG-cRGDyC 磷脂-聚乙二醇-cRGDyC
DSPE-PEG-CKAAKN 磷脂-聚乙二醇-靶向肽CKAAKN
DSPE-PEG-CAG(Cys-Ala-Gly) 磷脂-聚乙二醇-心肌组织靶向肽
风险提示:丁香通仅作为第三方平台,为商家信息发布提供平台空间。用户咨询产品时请注意保护个人信息及财产安全,合理判断,谨慎选购商品,商家和用户对交易行为负责。对于医疗器械类产品,请先查证核实企业经营资质和医疗器械产品注册证情况。
技术资料暂无技术资料 索取技术资料




