相关产品推荐更多 >
万千商家帮你免费找货
0 人在求购买到急需产品
- 详细信息
- 文献和实验
- 技术资料
- 库存:
99
- 供应商:
爱必信(上海)生物科技有限公司
- 规格:
96T
| 别名 |
琥珀酸比色法测试盒;Succinic Acid Colorimetric Assay Kit
|
||||||||||||||||||||||||||||||||||||||||||||||||||||||||||||||||||||||||||||||||||||||||||||||||||||||||||||||||||||||||||||||||||||||||||||
| 检验原理 |
琥珀酸通过酶试剂催化下与显色剂生成有颜色的物质在波长 555 nm 处有最大吸收,通过测定 555 nm 处的 OD 值大小和标准曲线可以计算样本中琥珀酸含量。
|
||||||||||||||||||||||||||||||||||||||||||||||||||||||||||||||||||||||||||||||||||||||||||||||||||||||||||||||||||||||||||||||||||||||||||||
| 产品组成 |
说明: 1、试剂严格按上表中的保存条件保存,不同测试盒中的试剂不能混用。 2、对于体积较少的试剂,使用前请先离心,以免量取不到足够量的试剂。
|
||||||||||||||||||||||||||||||||||||||||||||||||||||||||||||||||||||||||||||||||||||||||||||||||||||||||||||||||||||||||||||||||||||||||||||
| 用途说明 |
本试剂盒适用于检测血清(浆)、动物组织及细胞样本中的琥珀酸的含量。
|
||||||||||||||||||||||||||||||||||||||||||||||||||||||||||||||||||||||||||||||||||||||||||||||||||||||||||||||||||||||||||||||||||||||||||||
| 检测类型 |
血清(浆);动物组织;细胞
|
||||||||||||||||||||||||||||||||||||||||||||||||||||||||||||||||||||||||||||||||||||||||||||||||||||||||||||||||||||||||||||||||||||||||||||
| 检测范围 |
0.043-0.5 mmol/L
|
||||||||||||||||||||||||||||||||||||||||||||||||||||||||||||||||||||||||||||||||||||||||||||||||||||||||||||||||||||||||||||||||||||||||||||
| 使用方法 |
一、所需自备物品:
仪器:酶标仪(550-560 nm,最佳检测波长 555 nm)、37°C 恒温箱 耗材:10 KD 超滤管 二、试剂准备: 1、检测前,试剂盒中的试剂平衡至25℃。 2、试剂三工作液的配制: 取一支试剂三加入0.5 mL试剂一混匀溶解,置于冰上避光待用,未使用完的-20℃避光保存,2天内使用有效。 3、试剂四工作液的配制: 取一支试剂四加入1.5 mL试剂二混匀溶解,置于冰上避光待用,未使用完的-20℃避光保存,2天内使用有效。 4、试剂五工作液的配制: 将试剂一:试剂五按体积比=9:1配制,置于冰上避光待用,现配现用,1天内使用有效。 5、测定工作液的配制: 将试剂一:试剂三工作液按体积比= 14:1配制,置于冰上避光待用,现配现用,1天内使用有效。 6、显色工作液的配制: 将试剂二:试剂四工作液:试剂六:试剂七按体积比=26:2:2:6配制,在加入测定工作液至板孔后的孵育阶段进行配制,置于冰上避光待用。30 min内使用有效。 7、0.5 mmol/L标准品的配制: 将双蒸水:试剂八按体积比=7:1配制,避光待用,现配现用,一天内使用有效。 8、不同浓度标准品的稀释:
1、样本处理 血清(浆)样本:取100-500 μL上清,加入到10 KD超滤管,12000 × g 离心15 min,取外管滤出液待测。 组织样本:按照组织样本质量(g):双蒸水体积(mL)=1:9的比例匀浆,4℃,10000 × g离心10 min。取100-500 μL上清,加入到10 KD超滤管,12000 × g 离心15 min,取外管滤出液待测。 细胞样本:取1×10^6个细胞,加入200 μL双蒸水匀浆处理细胞。4℃,10000 × g离心10 min。取上清,加入到10 KD超滤管,12000 × g 离心15min,取外管滤出液待测。 2、样本的稀释在正式检测前,需选择2-3个预期差异大的样本稀释成不同浓度进行预实验,根据预实验的结果,结合本试剂盒的线性范围:0.043-0.5 mmol/L,请参考下表稀释(仅供参考):
注:稀释液为双蒸水。 四、操作步骤: 1、标准孔:取 20 μL 不同浓度标准品溶液,分别加入相应的酶标孔中; 测定孔:取 20 μL 待测样本加入相应的酶标孔中; 对照孔:取 20 μL 待测样本加入相应的酶标孔中。 2、向步骤1中标准孔和测定孔加入 30 μL 试剂五工作液; 向步骤1中对照孔加入 30 μL 试剂一。 3、 向步骤2中各孔加入 80 μL 测定工作液。 4、振板 5 s,37°C 避光孵育 5 min。 5、向4中各孔加入 120 μL 显色工作液。 6、振板 5 s,37°C 避光孵育 15 min,酶标仪 555 nm 波长下检测各孔OD 值。 五、操作表:
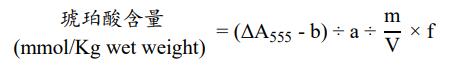
六、结果计算: 标准品拟合曲线:y = ax + b 1、血清(浆)中琥珀酸含量计算公式: 2、组织样本中琥珀酸含量计算公式: 3、细胞样本中琥珀酸含量计算公式: 注解: y:标准品 OD 值-空白 OD 值(标准品浓度为 0 时的 OD 值) x:标准品的浓度 a:标曲的斜率 b:标曲的截距 ∆A555:A 测定 – A 对照 f:样本加入检测体系前的稀释倍数 m:组织湿重质量,g n:细胞样本数量,10^6 V:样本匀浆液体积,mL 七、 标准曲线(数据仅供参考) 1、不同浓度标准品加样量20 μL,按照操作步骤进行实验,OD值如下表所示:
![]() |
||||||||||||||||||||||||||||||||||||||||||||||||||||||||||||||||||||||||||||||||||||||||||||||||||||||||||||||||||||||||||||||||||||||||||||
| 性能 | |||||||||||||||||||||||||||||||||||||||||||||||||||||||||||||||||||||||||||||||||||||||||||||||||||||||||||||||||||||||||||||||||||||||||||||
| 储存/保存方法 |
-20°C,避光,有效期6个月。
|
||||||||||||||||||||||||||||||||||||||||||||||||||||||||||||||||||||||||||||||||||||||||||||||||||||||||||||||||||||||||||||||||||||||||||||
风险提示:丁香通仅作为第三方平台,为商家信息发布提供平台空间。用户咨询产品时请注意保护个人信息及财产安全,合理判断,谨慎选购商品,商家和用户对交易行为负责。对于医疗器械类产品,请先查证核实企业经营资质和医疗器械产品注册证情况。
文献和实验缺乏维生素 E,就会阻碍受精卵在子宫内着床后的发育,可使精细胞变性,发生退化,引起不孕症。此外,还能引起肌肉萎缩和运动麻痹。在许多哺乳动物中都可见到 E缺乏症,但在人体中,还没有得到确实的 E缺乏症的证据,一般在生物体内有防止维生素 A、胡萝卜素、脂肪等氧化的作用。亦有报道其磷酸脂可抑制琥珀酸氧化系统和抑制磷酸酶的作用,但都还未最后确定。成人每天需要量约为 30毫克的混合生育酚。定量法有吸收测定和比色法等,但因而为α,β,γ、δ都作为同一效力被测定,所以测定数值比生物学效力高,所以并不是太好的方法。
于该检测试剂盒对目标修饰的特异性) 测定广泛物种(包括哺乳动物细胞/组织、植物和细菌)的去甲基化酶活性 具有简单比色或荧光读数的快速微孔板版本 3 小时内即可提供数据 表征组蛋白乙酰化通路 提供可分析总体活性以及 H4 特异性的 HAT 活性的试剂盒。这些检测试剂盒可以检测 HAT 催化乙酰基从乙酰辅酶 a 供体转移到组蛋白肽的过程,该过程会生成乙酰化肽和 CoA-SH。然后通过 比色法或荧光法测定 CoA-SH 副产物: 比色法 - CoA-SH 作为生成 NADH
的技术支持,人家说六孔板细胞量不够,不知道您六孔板细胞量够吗?还有您后来做出来的结果咋样?有啥改进的地方没?好愁呀,希望得到您的帮助。急着毕业呀! bin1986 我用的是悬浮细胞,接板密度大于10e6个,用的量完全够。如果这样子的话可能是你的化合物并没有激活casp-3吧 darcy913 你好,你以前应该用过caspase-3比色法检测试剂盒吧,虽然是很久以前的事了,用的是哪家公司的?效果怎么样?我用的是碧云天的,完全没
技术资料暂无技术资料 索取技术资料









