万千商家帮你免费找货
0 人在求购买到急需产品
- 详细信息
- 技术资料
- 保存条件:
+4°C
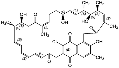
- 英文名:
Naphthomycin B
- 供应商:
Hello Bio
- CAS号:
86825-88-9
- 规格:
1mg
Ansamycin antibiotic. Antibacterial and antifungal.
风险提示:丁香通仅作为第三方平台,为商家信息发布提供平台空间。用户咨询产品时请注意保护个人信息及财产安全,合理判断,谨慎选购商品,商家和用户对交易行为负责。对于医疗器械类产品,请先查证核实企业经营资质和医疗器械产品注册证情况。
技术资料暂无技术资料 索取技术资料
Naphthomycin B
询价









