相关产品推荐更多 >
万千商家帮你免费找货
0 人在求购买到急需产品
- 详细信息
- 文献和实验
- 技术资料
- 库存:
现询
- 英文名:
Erythromycin
- CAS号:
114-07-8
- 保质期:
Powder:2-8℃,2 years;Insolvent(母液):-20℃,6 months;-80℃,1 year
- 供应商:
北京索莱宝科技有限公司
- 保存条件:
Powder:2-8℃,2 years;Insolvent(母液):-20℃,6 months;-80℃,1 year
- 规格:
10mM*1mL in DMSO/500mg/1g
| 规格: | 10mM*1mL in DMSO | 产品价格: | ¥300.0 |
|---|---|---|---|
| 规格: | 500mg | 产品价格: | ¥340.0 |
| 规格: | 1g | 产品价格: | ¥410.0 |
产品介绍
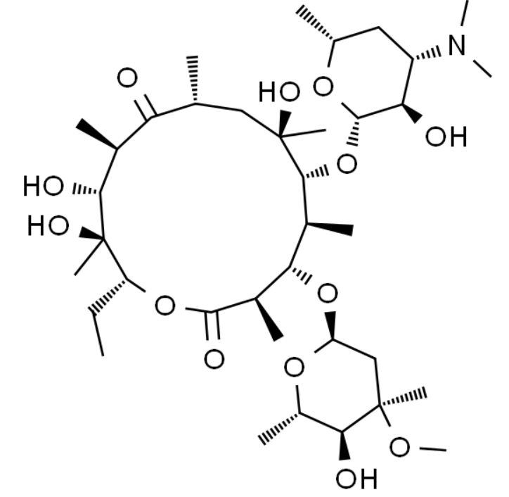
是大环内酯类抗生素,能可逆地与细菌50S核糖体结合,抑制蛋白合成。
CAS:114-07-8
分子式:C37H67NO13
分子量:733.93
纯度:HPLC≥98%
靶点:Bacterial




风险提示:丁香通仅作为第三方平台,为商家信息发布提供平台空间。用户咨询产品时请注意保护个人信息及财产安全,合理判断,谨慎选购商品,商家和用户对交易行为负责。对于医疗器械类产品,请先查证核实企业经营资质和医疗器械产品注册证情况。
文献和实验Oral berberine improves brain dopa/dopamine levels to ameliorate Parkinson's disease by regulating gut microbiota
|
AuthorWang Y; Tong Q; Ma SR; Zhao ZX; Pan LB; Cong L; Han P; Peng R; Yu H; Lin Y; Gao TL; Shou JW; Li XY; Zhang XF; Zhang ZW; Fu J; Wen BY; Yu JB; Cao X; Jiang JD.
|
Publish_toSignal Transduction and Targeted Therapy
|
|
IF39.3000
|
PMID33623004
|
澳大利亚人 H . W . Florey 一起制得了青霉素。它的杀菌能力比当时的王牌抗感染药磺胺还要强 20 倍。在第二次世界大战中正是青霉素救活了无数伤病人,使人类平均寿命延长了 10 岁。以上三人由于在青霉素方面的巨大贡献而获 1945 年诺贝尔生理学及医学奖。青霉素是含有骈合杂环的有机酸化合物: 青霉素是利用微生物——青霉菌菌株,在淀粉、糖、玉米浆、黄豆饼粉及含硫、磷和微量金属( Mg , Mn , Zn , K …)的盐类等培养基中,生长发育繁殖,所得到的一种
多重耐药菌(multiple resistant bacteria)是指有多重耐药性的病原菌。Multiresistance可以翻译成多药耐药性、多重耐药性,其定义为一种微生物对三类(比如氨基糖苷类、红霉素、B-内酰胺类)或三类以上抗生素同时耐药,而不是同一类三种。 泛耐药菌(pan resistant bacteria) 是指对除黏菌素外的所有临床上可获得抗生素均耐药的非发酵菌, 对几乎所有类抗菌素耐药。比如泛耐不动杆菌,对氨基糖苷、青霉素、头孢菌素、碳氢酶系 、四
目前尚无特效的病因疗法。总的治疗原则为抗感染、抗肿瘤、杀灭或抑HIV病毒、增强机体免疫机能。 1、抗感染治疗针对各种机会性感染和合并感染用药: a、抗病毒类感染药物:疱疹病毒感染可用无环鸟苷,每次800毫克,每日4次口服,共用周2周,不良反应有皮疹、肝肾损害及备用细胞减少,但均表现较轻而可耐受。巨细胞病毒感染可选择磷铒酸盐、丙氧1鸟苷,也可选择阿糖腺苷。病毒唑为广谱抗病毒药物,对RNA及DNA病毒感染均有效,每次200毫克,每8小时静脉滴注一次,不良












