万千商家帮你免费找货
0 人在求购买到急需产品
- 详细信息
- 文献和实验
- 技术资料
- 应用:
ATP含量检测
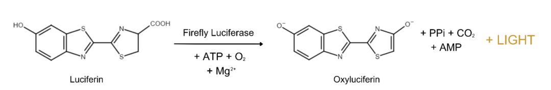
RayBio®ATP定量分析是一种快速、高敏和简单的方法,利用萤火虫荧光素酶的ATP依赖性,通过吸光度测定溶液中的ATP含量。
该试剂盒可用于在各种培养基(细胞培养,PBS,水等)中评估细胞活力,细胞毒性和/或代谢活性。
货号:NA-ATP
规格:96T
灵敏度:0.064 pmol
适用样本:各种培养基(细胞培养,PBS,水等)
产品特性:高敏,兼容各种液体,方法简单

Kit Components
- Dilution Buffer
- Assay Buffer
- Lysis Buffer
- ATP Standard
- Luciferase
- DTT
- D-Luciferin
- 96-Well White-Walled Microplate
- Plate Seal
Additional Materials Required
- Sterile Phosphate Buffered Saline (PBS)
- Vortex Mixer
- Tabletop centrifuge
- Pipettes and nuclease-free pipette tips (barrier tips recommended)
- Nuclease-free 15 mL conical tubes and 1.5 mL microcentrifuge tubes
- Plate reader capable of measuring luminosity
Assay Procedure Summary
- Prepare all reagents, samples and standards as instructed.
- Add standard or sample to each well of the microplate.
- Add Master Mix to each well and mix.
- Protect from light and allow to equilibrate to room temperature for 10 minutes.
- Measure luminosity.
Storage/Stability
风险提示:丁香通仅作为第三方平台,为商家信息发布提供平台空间。用户咨询产品时请注意保护个人信息及财产安全,合理判断,谨慎选购商品,商家和用户对交易行为负责。对于医疗器械类产品,请先查证核实企业经营资质和医疗器械产品注册证情况。
文献和实验二酯酶2/4的抑制剂正在进行认知增强方面的临床测试;而cGMP特异性磷酸二酯酶类型5可用于治疗ED等疾病。因此为筛选出腺苷酸(或鸟苷酸)环化酶激活剂或磷酸二酯酶抑制剂,需要一个高敏感度、特异性的、可重复的方案用于检测cAMP(或cGMP)的浓度。目前商业化提供的一些cAMP(或cGMP) ELISA试剂盒使用的是非亲和纯化的cAMP(或cGMP)抗体,因此特异性不好。 BioVision的cAMP/cGMP活性分析试剂盒提供了一个灵敏的、通过直接竞争酶联免疫法灵敏的检测生物样本内cAMP(或cGMP)水平
Upstate公司在世界上最先开发出步骤优化简洁的商业化ChIP分析试剂盒,保证实验的准确性和可重复性,同时Upstate提供广泛可行的ChIP级别应用抗体。ChIP基本试剂盒和特定蛋白 质ChIP级别应用抗体结合完成一个完整的染色质免疫沉淀分析。在过去的数年中,Upstate提供的ChIP分析试剂盒和ChIP级别应用抗体得到了全世界科学家的认可,文献应用极为广泛。 Upstate最新推出EZ Chip™(catalog #:17-371)分析试剂盒,较第一
Affymetrix推出全新的OncoScan™ FFPE分析试剂盒
芯片的测试,包括黑色素瘤、神经胶质瘤、乳腺癌和脂肪肉瘤,”ARUP实验室的医学主管Sarah South评论道。“我们按照建议使用80 ng来自FFPE的DNA,并能够在48小时内完成分析。我们能够在一些关键癌基因(包括ERBB2、MDM2、EGFR和MYC)中检测到经FISH验证的畸变,表明OncoScan FFPE芯片可作为FISH检测的替代,来验证实体瘤组织中的癌基因畸变,而分辨率和特异性更高。由于OncoScan FFPE分析试剂盒有着全基因组的分辨率,我们也获得了这些样品中宝贵的拷贝
技术资料暂无技术资料 索取技术资料










