相关产品推荐更多 >
万千商家帮你免费找货
0 人在求购买到急需产品
- 详细信息
- 文献和实验
- 技术资料
- 库存:
39
- 英文名:
NM4-64
- CAS号:
/
- 保质期:
5年
- 供应商:
上海烜雅生物科技有限公司
- 保存条件:
-20℃
- 规格:
1 mg
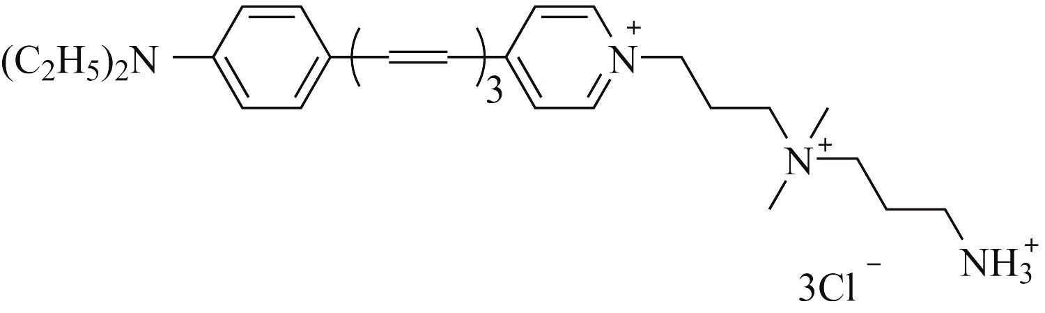
产品名称:NM4-64 神经元荧光探针
产品规格:1 mg
产品应用方向:神经荧光染料
产品保存条件:-20℃避光保存,有效期见外包装。
产品运输条件:冰袋
保质期(月):60
外观:可溶于水的紫色固体
Ex/Em:543/- nm, (emission in MeOH is too weak to measure)
Ex/Em:510/750 nm (in membranes)
分子式:C29H45N4Cl3
分子量:555.5
分子结构图:

产品介绍:
神经末梢探针是一系列阳离子型苯乙烯基荧光染料,用于跟踪神经肌肉连接或突触的突触活动。这类染料通常具有亲脂性尾部(两个碳链)和带阳离子的高亲水性头部。神经末梢染料被命名为 NerveRed 或 NerveGreen 后接一个碳数,表示亲脂性尾巴的长度。NM 染料具有相似的结构,此外,它们在带正电的头部具有醛固定胺。 阳离子苯乙烯基染料是通过活性依赖性染色突触小泡来发挥功能。染料与细胞或组织共孵育时,染料的水相部分没有荧光,而染料的亲脂性尾部插入细胞膜并呈现强荧光。神经刺激后,在进行胞吞作用时,染料被包裹在囊泡内,因此,洗去细胞表面附着的染料后,荧光信号强弱表示新形成的囊泡的数量的多少。反之,在胞吐作用时,染料与神经递质一起从囊泡释放,导致荧光信号减少。因此,荧光强度的变化反映了胞吞/胞吐或突触活动的情况。内吞过程中荧光增加的速率——“结合速率”和胞吐过程中荧光减少的速率 ——“解离速率”因染料种类而异。通常,具有较长亲脂性尾部和更多双键的染料对膜具有较高的亲和力,因此具有较高的结合速率和较低的解离速率。 本产品等同于 AM4-64,NM4-64 染料能用于固定细胞染色。
使用方法:
以下是在盖玻片上对培养的神经元细胞的神经末梢染色,然后进行固定和免疫染色的方案。神经末梢染料也可用于标记非神经元细胞类型的内吞囊泡。染色可以在 4℃进行以选择性标记质膜; 在室温或 37℃ 下,染料的内吞通常在 10 min 内发生。可以使用台氏液液或其它缓冲液,可选择性添加钠离子通道阻断剂河豚-毒素(TTX),其目的是阻断动作电位并防止染色后的突触囊泡释放。用于特定实验的最佳方案需要由实验者摸索。
1. 在 50 mM 台氏液中稀释神经末梢染料至最终浓度为 4 μM。在室温下将含有细胞的盖玻片置于该溶液中 1 min,使细胞完全浸没。
2. 将盖玻片转移至台氏液 + 0.5 μM 河豚-毒素(TTX)溶液中,室温下孵育 1 min。
3. 室温下,用台氏液 + 0.5 μM TTX 溶液反复多次洗涤盖玻片。
4. 固定。将盖玻片用 4%多聚-甲醛,室温固定 20 min。
5. 将盖玻片直接转移至预冷的含 0.01%Triton X-100 的 PBS 中,4℃放置 10 min。
6. 预冷的 PBS 洗三次,每次 1 min。
7. 在含有一抗的 10%的血清/PBS 中,4℃染色 3 h。抗体浓度应该为常规免疫荧光染色的两倍。
8. 预冷的 PBS 洗三次,每次 1 min。
9. 在含有二抗的 2%的血清/PBS 中,4℃染色 40 min。抗体浓度与常规免疫荧光染色的相同即可。
10. 预冷的 PBS 洗三次,每次 1 min。
11. 荧光显微镜下拍照观察。
风险提示:丁香通仅作为第三方平台,为商家信息发布提供平台空间。用户咨询产品时请注意保护个人信息及财产安全,合理判断,谨慎选购商品,商家和用户对交易行为负责。对于医疗器械类产品,请先查证核实企业经营资质和医疗器械产品注册证情况。
文献和实验神经系统中的星形胶质细胞产生和分泌,参与多种细胞反应。在癫痫发作期内 6h 即可被检测出,它能够在大脑活动过程中进行多种生物学功能调控,是脑损伤的重要血清学标志物。它在通常情况之下不能顺利从血脑屏障中通过,仅存在于脑脊液中,血清中含量极低。 在儿童难治性癫痫中,对血清 S100β 水平的分析十分有助于癫痫在儿童患者中的诊断,与对照组相比,局灶性癫痫患者的血清 S100β 蛋白水平较高,这可以是局灶性顽固性癫痫患者中神经元损伤的可靠的外周生物标记。 2. 泛素羧基末端水解酶 L1 泛素羧基末端水解酶 L1
CD64 分子 CD64 常用单克隆抗体或代号: MAb32.2,MAb22;(Fcg RI) 主要表达细胞: M [M] 分子质量(kDa)和结构: gp75(IgSF) 功 能: 吞噬、ADCC,Mac活化 CD64 Aka Fc gamma RI High affinity receptor binds to Fc region of IgG
概要 中枢神经系统和外周神经系统的很多疾病与抗神经元自身抗体相关,相应的靶抗原包括神经元胞内神经肿瘤抗原和神经元表面抗原。临床上,检测血清或者脑脊液中的这类自身抗体对于疾病诊断具有重要意义。 抗神经肿瘤抗原的自身抗体与不同恶性肿瘤存在一定的对应关系,其实验室检验结果可以为临床医生探查肿瘤提供指导和依据。一系列针对神经元表面抗原的自身抗体阳性发生率高于已知的抗神经元胞内抗原的自身抗体。据国外临床经验显示,全面检测抗神经元自身抗体谱可以有效提高血清检测命中率,比检测单一
技术资料暂无技术资料 索取技术资料










