相关产品推荐更多 >

6-methylquinoline-4-carbonitrile,78812-11-0,≥97%,阿拉丁
¥2304.90![N-[(2,4-dimethoxyphenyl)methyl]-3-iodo-1H-pyrazolo[4,3-c]pyridin-4-amine,2056025-15-9,≥97%,阿拉丁](https://img1.dxycdn.com/p/s14/2024/0619/219/4076147759687523081.jpg!wh200)
N-[(2,4-dimethoxyphenyl)methyl]-3-iodo-1H-pyrazolo[4,3-c]pyridin-4-amine,2056025-15-9,≥97%,阿拉丁
¥1318.90
(1-ethylazetidin-3-yl)methanamine,1412978-07-4,≥97%,阿拉丁
¥1536.90
4-叔丁基苯甲醛;≥97%;939-97-9;阿拉丁
¥37.90
3-正丙基茚苯酞,17369-59-4,≥96%(GC), mixture of cis and trans isomers,阿拉丁
¥25.90
万千商家帮你免费找货
0 人在求购买到急需产品
- 详细信息
- 文献和实验
- 技术资料
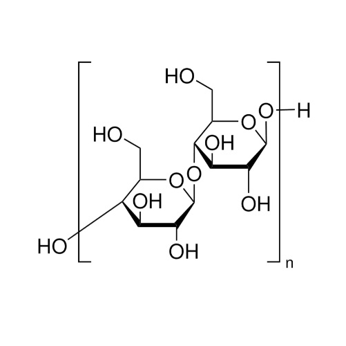
- 英文名:
Cellulose
- 库存:
现货
- 供应商:
上海阿拉丁生化科技股份有限公司
- CAS号:
9004-34-6
- 规格:
C434461-50g/C434461-500g/C434461-1kg/C434461-100g
| 规格: | C434461-50g | 产品价格: | ¥331.9 |
|---|---|---|---|
| 规格: | C434461-500g | 产品价格: | ¥2795.9 |
| 规格: | C434461-1kg | 产品价格: | ¥4472.9 |
| 规格: | C434461-100g | 产品价格: | ¥559.9 |
英文名:Cellulose
纯度或规格:微晶,粉末,20μm
SPU:C434461
CAS:9004-34-6
存储温度:-
运输条件:-
查看阿拉丁官网此产品相关对应页面:
风险提示:丁香通仅作为第三方平台,为商家信息发布提供平台空间。用户咨询产品时请注意保护个人信息及财产安全,合理判断,谨慎选购商品,商家和用户对交易行为负责。对于医疗器械类产品,请先查证核实企业经营资质和医疗器械产品注册证情况。
文献和实验薄层色谱法,系将适宜的固定相涂布于玻璃板、塑料或铝基片上,成一均匀薄层。待点样、展开后,与适宜的对照物按同法所得的色谱图作对比,用以进行药品的鉴别、杂质检查或含量测定的方法。 1.仪器与材料 (1)玻板 除另有规定外,用5cm×20cm,10cm×20cm或20cm×20cm的规格,要求光滑、平整,洗净后不附水珠,晾干。 (2)固定相或载体 最常用的有硅胶G、硅胶GF 、硅胶H、硅胶HF,其次有硅藻土、硅藻土G、氧化铝、氧化铝G、微晶纤维素、微晶纤维素F等。其颗粒大小,一般要求直径为10
薄层色谱法简介 薄层色谱法,系将适宜的固定相涂布于玻璃板、塑料或铝基片上,成一均匀薄层。待点样、展开后,与适宜的对照物按同法所得的色谱图作对比,用以进行药品的鉴别、杂质检查或含量测定的方法。 1.仪器与材料 (1) 玻板 除另有规定外,用5cm×20cm,10cm×20cm或20cm×20cm的规格,要求光滑、平整,洗净后不附水珠,晾干。 (2) 固定相或载体 最常用的有硅胶G、硅胶GF 、硅胶H、 硅胶HF,其次有硅藻土、硅藻土G、氧化铝、氧化铝G、微晶纤维素
(1) 玻板 除另有规定外,用5cm×20cm,10cm×20cm或20cm×20cm的规格,要求光 滑、平整,洗净后不附水珠,晾干。 (2) 固定相或载体 最常用的有硅胶G、硅胶GF 、硅胶H、 硅胶HF, 其次有硅藻土、硅藻土G、氧化铝、氧化铝G、微晶纤维素、 微晶纤维素F等。 其颗粒大小,一般要求直径为10~40μm。薄层涂布,一般可分无黏合剂和含黏合剂两种; 前者系将固定相直接涂布于玻板上, 后者系在固定相中加入一定量的黏合剂,一般常用 10%~15%煅石膏(CaSO4.2
技术资料暂无技术资料 索取技术资料






