相关产品推荐更多 >
万千商家帮你免费找货
0 人在求购买到急需产品
- 详细信息
- 文献和实验
- 技术资料
成都先导药物开发股份有限公司旗下控股子公司四川先东制药有限公司(以下简称“先东制药”)正式投产,2000余平方米的寡核苷酸GMP生产车间已经投入使用。作为小核酸药物中试及生产平台,先东制药为科研院所、企业提供商业化的小核酸原料药CDMO服务,能够满足临床Ⅰ期至Ⅲ期的百克级需求以及商业早期的百克至公斤级需求,并可根据产品研发进度适时建立几十公斤级规模的生产线。
目前,先东制药可灵活高效地提供一站式小核酸药物早期研发服务、CMC及制剂开发、百克至公斤级小核酸原料药生产,以及临床早期的无菌制剂灌装线、新药IND申报及产品商业化等全链路服务。

工艺开发
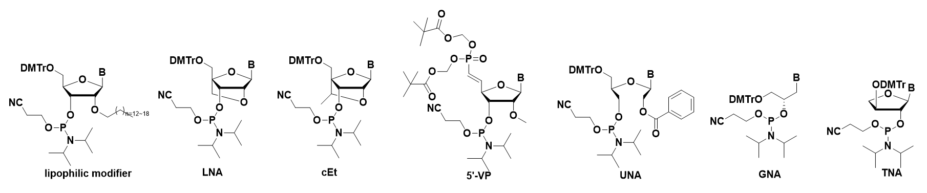
先东制药拥有一支专业的寡核苷酸研发及生产团队,可实现从亚磷酰胺单体、载体分子以及生物偶联的合成、制备、工艺开发到生产,能够完成各种类型寡核苷酸开发。涵盖核酸分子类型包括:ASO,siRNA,Aptamer,CpG,Conjugation等;多种类型修饰单体:2'-H,2'-OH,2'-F,2'-OMe,2'-OMOE,2'-C16,LNA,cEt,UNA,GNA,TNA,Vinyl-phosphate,amino/thiol/hydroxyl modifier;各种递送系统:3’端及5’端修饰GalNAc,Cholesterol等。

生产能力
先东制药的专业寡核苷酸cGMP生产车间能够提供毫克至公斤级寡核苷酸定制生产服务。先东制药厂区多次通过中国NMPA、美国FDA cGMP的现场检查,以及日本、美国和欧洲的多次客户审计。先东制药厂区已实现环境、健康、安全一体化管理,并获得ISO14000环境体系认证、OHSAS1800职业健康安全管理体系认证以及危险化学品从业单位安全标准化三级达标证书等。

无菌灌装
先东制药配备了无菌联动线灌装系统,可以按照要求提供原料药无菌分装,省去客户后期分装环节。该系统还能够满足临床无菌制剂灌装要求。

主要设备
合成仪:
OligoPilot ATEX,OligoPilot 100,Bio-Oligo 100等

纯化仪:
AKTA pilot 600R,AKTA pure150,Bio-Lab100等

过滤浓缩:
AKTA flux 6,AKTA flux s,Bio-TFF100等

分装冻干:
联动线灌装冻干隔离系统

QC设备:
Waters Xevo TQ-S,Waters Xevo G2-XS QTOF,Acquity UPLC H-Class plus,Acquity UPLC H-Class plus- Acquity QDA,cary3500,NMR等

关于先东制药
四川先东制药有限公司(简称“先东制药”)是成都先导药物开发股份有限公司(股票代码:688222.SH)与成都苑东生物制药股份有限公司(股票代码:688513.SH)共同投资成立的合资公司,双方深度结合各自在设备设施、技术经验、科研人才等软硬件方面的优势,赋能先东制药的运营与发展,旨在打造行业领先的小核酸药物CDMO服务平台。





风险提示:丁香通仅作为第三方平台,为商家信息发布提供平台空间。用户咨询产品时请注意保护个人信息及财产安全,合理判断,谨慎选购商品,商家和用户对交易行为负责。对于医疗器械类产品,请先查证核实企业经营资质和医疗器械产品注册证情况。
文献和实验50nt,较长探针杂交时间较长,合成量低;较短探针特异性会差些。 ②碱基成分:G C含量为40%~60%,超出此范围则会增加非特异杂交。 ③探针分子内不应存在互补区,否则会出现抑制探针杂交的“发夹”状结构。 ④避免单一碱基的重复出现(不能多于4个),如-CCCCC-。 ⑤一旦选定某一序更符合上述标准,最好将序列与核酸库中核酸序列比较,探针序列应与含靶序列的核酸杂交,而与非靶区域的同源性不能超过70%或有连续8个或更多的碱基的同源
包含siRNA、miRNA、寡核酸合成、LncRNA、细胞组识分析、全基因合成、载体构建、高内涵筛选、小RNA深度测序、表观遗传学等相关的系列产品和服务!提供全面、专业的技术服务和支持!完整的一站式解决方案系统,方便您的研究!让您的研究畅通无阻! Ribobio 2011 总览.pdf Ribobio 2011 part siRNA.pdf Ribobio 2011 part miRNA.pdf Ribobio 2011
的集成化正在使生命科学的研究和应用发生一场革命。根据固定在芯片载体上的核酸分子的不同,基因芯片可以分为cDNA芯片和寡核昔酸芯片等。寡核昔酸芯片主要基于光引导聚合技术,该技术是Affymetrix公司开发的专利技术,由于其突出的优点,正得到越来越广泛的应用。二、原理基因芯片(Gene Chip,DNA Chip),又称DNA微阵列(DNA Micorarray),是指按照预定位置固定在固相载体上很小面积内的千万个核酸分子所组成的微点阵阵列。在一定条件下,载体上的核酸分子可以与来自样品的序列互补的核酸
技术资料暂无技术资料 索取技术资料










