相关产品推荐更多 >

Human/Monkey TBP ELISA Kit|人/猴TATA框结合蛋白相关因子(TBP)ELISA试剂盒
¥2300
Human PLA2G6 QuickTest ELISA Kit|人钙非依赖性磷脂酶A2(PLA2G6)快速检测ELISA试剂盒
¥2200
Mouse GLS ELISA Kit|小鼠线粒体谷氨酰胺酶(GLS)ELISA试剂盒
¥2000
Human USP2 QuickTest ELISA Kit|人泛素特异性蛋白酶2(USP2)ELISA 试剂盒
¥2200
Human NEUROG1 QuickTest ELISA Kit|人神经源素1(NEUROG1)快速检测ELISA试剂盒
¥2200
万千商家帮你免费找货
0 人在求购买到急需产品
- 详细信息
- 文献和实验
- 技术资料
- 库存:
100
- 供应商:
武汉菲恩生物科技有限公司
- 检测范围:
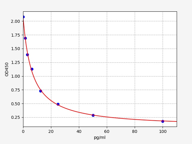
1.563-100pg/ml
- 检测方法:
Competitive ELISA, Coated with Antibody
- 应用:
仅供科研使用
- 适应物种:
Universal
- 样本:
Serum, Plasma, Cell Culture Supernatant, cell or tissue lysate, Other liquid samples
- 灵敏度:
0.938pg/ml
- 规格:
48T/96T
| 规格: | 48T | 产品价格: | ¥2000.0 |
|---|---|---|---|
| 规格: | 96T | 产品价格: | ¥2880.0 |

产品参数
| 产品名称 | fT4 (Free Thyroxine) ELISA Kit |
| 中文名称 | 游离甲状腺素(fT4)ELISA试剂盒 |
| 别称 | fT4|Free Thyroxine|T4|Thyroxine|total T4|TT4 |
| 货号 | EU2658 |
| 规格 | 48T/96T |
| 种属 | Universal |
| 样本类型 | Serum, Plasma, Cell Culture Supernatant, cell or tissue lysate, Other liquid samples |
| 检测方法 | Competitive ELISA, Coated with Antibody |
| 反应时间 | 3小时 |
| 检测范围 | 1.563-100pg/ml |
| 灵敏度 | 0.938pg/ml |
| 存储条件 | 2-8°C (未开封时), 切勿冻存 |
| 标准曲线图 | ![]() |
| 注意事项 | fT4 (Free Thyroxine) ELISA Kit仅供科研使用 |
试剂盒组件外所需器材和试剂
- 酶标仪(波长450nm滤光片)
- 37°C恒温箱(不推荐使用细胞用CO2培养箱)
- 自动洗板机或多道移液器/5ml滴管(手工洗板用)
- 精密的单道(0.5-10μL, 5-50μL, 20-200μL, 200-1000μL)和多通道移液器(移液器使用前需校准)。
- 无菌的EP管及一次性吸头
- 吸水纸及加样槽
- 去离子水或蒸馏水
菲恩生物ELISA试剂盒产品优势
提供3000余种热销ELISA试剂盒,种类涉及人、小鼠、大鼠、猴、猪、犬、牛等10多个种属;
- 拥有蛋白和抗体研发生产的能力,原料大部分自产,质量可控;
- 拥有GMP车间,保证生产环境的洁净度,提高产品的可靠性;
- 使用高精密机器生产和严格的质控,保证批次差小于5%,并进行大量样品检测,确保质量可靠;
- 拥有自己的细胞库,血液组织样品库,为检测提供丰富的样品;
- 独特的信号放大技术,能灵活调整试剂盒的灵敏度,并有能力提高客户样品检出率;
- 使用独特的稳定技术,让试剂盒可以在室温放置一个月也不会失活,方便运输和使用。
风险提示:丁香通仅作为第三方平台,为商家信息发布提供平台空间。用户咨询产品时请注意保护个人信息及财产安全,合理判断,谨慎选购商品,商家和用户对交易行为负责。对于医疗器械类产品,请先查证核实企业经营资质和医疗器械产品注册证情况。
文献和实验licanming 请问有无人用过assaydesigns公司的PKC Kinase Activity Assay Kit(cat NO:EKS-420A)?可否说一下应用的经验?注意事项等?还有,该试剂盒的说明书有几处地方不是很懂,请大家帮忙看一下: 1、To avoid cross contamination, change disposable pipette tips between the addition of each standard
RAT/MOUSE GROWTH HORMONE ELISA KIT
实验原理 This assay is a Sandwich ELISA based, sequentially, on: 1) capture of rat or mouse Growth Hormone molecules from samples to the wells of a microtiter plate coated by a pre-titered amount of anti-Growth Hormone
R&D Systems Quantikine® 人高分子量脂联素ELISA试剂盒
素敏感性,常常与TNF-α 的作用相反。1,4 它作用在肝脏和骨骼肌上,促进葡萄糖吸收,刺激脂肪酸吸收和氧化,并抑制肝糖原异生和脂肪生成。5 通常还认为脂联素通过在一定程度上抑制TNF-α 产生并拮抗TNF-α 对血管内皮细胞的影响而抑制组织炎症。5,6 在成年人中,循环的脂联素水平与脂肪组织量成反比,而血浆中HMW脂联素水平的降低与代谢综合征相关的状态有关,包括上身肥胖、血脂异常和胰岛素抵抗。1,7 R&D Systems 提供了首个ELISA 试剂盒,能够准确定量人类血清和血
技术资料暂无技术资料 索取技术资料






