相关产品推荐更多 >
万千商家帮你免费找货
0 人在求购买到急需产品
- 详细信息
- 文献和实验
- 技术资料
- 保存条件:
2~8°C/-20°C避光
- 保质期:
12个月
- 英文名:
Water-soluble Long-arm Biotin Labeling Kit
- 供应商:
武汉益普生物科技有限公司
- 规格:
1Reaction/3Reactions/10Reactions
| 规格: | 1Reaction | 产品价格: | ¥2200.0 |
|---|---|---|---|
| 规格: | 3Reactions | 产品价格: | ¥5000.0 |
| 规格: | 10Reactions | 产品价格: | ¥7900.0 |
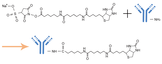
| 中文名称 |
水溶性长臂生物素标记试剂盒
|
| 英文名称 |
Water-soluble Long-arm Biotin Labeling Kit
|
| 产品介绍 |
Elabscience®水溶性长臂生物素标记试剂盒提供了标记所需的全部试剂,能简单有效地对抗体和其他含有伯氨基(NH2-)分子的蛋白标记。
|
| 产品应用 |
蛋白标记 (适用于10KD~30KD蛋白的标记)
|
| 检测原理 |
![]() |
| 标记基团 |
Sulfo-NHS-LC-LC-Biotin
|
| Storage |
该产品可在2-8°C/-20°C避光条件下保存12个月,具体试剂组分的保存条件请参考说明书。
|
| Shipping |
冰袋
|
| Expiration date |
12个月
|

风险提示:丁香通仅作为第三方平台,为商家信息发布提供平台空间。用户咨询产品时请注意保护个人信息及财产安全,合理判断,谨慎选购商品,商家和用户对交易行为负责。对于医疗器械类产品,请先查证核实企业经营资质和医疗器械产品注册证情况。
文献和实验公司的Atlas Pure Total RNA Labeling System: 这是一个从Total RNA中制备同位素标记的cDNA探针的试剂盒。利用生物素偶联的Oligo(dT)和磁珠偶联的Streptavidin将mRNA吸附到磁珠上,加入MacroArray(包括尼龙膜基质和塑料基质)提供的基因特异引物混合物(CDS Primer)、同位素标记物和逆转录酶,直接在磁珠上合成同位素标记的cDNA探针,最后从磁珠上洗脱标记好的探针,纯化后即可用于杂交。这个标记试剂盒可以从少至10μg
Chemiluminescent Hybridization & Detection Kit),即可组合出完整的非放射性检测分析系统。不过这个系统不适用于玻片基质的芯片的探针标记。 由于Atlas系列的DNA微阵列膜上每个点的核酸量有限,所以对标记探针的灵敏度要求非常高,一般情况下同位素是首选。如今Atlas SpotLight标记试剂盒特别提供逆转录所需的试剂,可以将2μg以上的mRNA或者50μg以上的RNA样品制备成生物素标记的单链cDNA探针,由于没有竞争性抑制,单链探针的灵敏度要大大高于双链探针。另外生物素标记
SE 活性部分远低于50%(AlexaFluor488微量标记试剂盒产品信息,Invitrogen)。相反,所有Biotium 的CF染料具有相对稳定的胺活性的SE基团型,这比大部分AlexaFluor 染料的SE更耐水解。总体来说,CF染料SE产品一贯的给出更高的标记效率,提供给用户更好的使用价值。选择方案:蓝色(350-450nm处激发) CF 350、Alexa Fluor 350、AMCA等----亮蓝和紫外光激发CF350是类似于Alexa Fluor 350和传统荧光染料AMCA的蓝色
技术资料暂无技术资料 索取技术资料








