相关产品推荐更多 >
万千商家帮你免费找货
0 人在求购买到急需产品
- 详细信息
- 技术资料
- 库存:
36
- 英文名:
UNC 0631
- CAS号:
1320288-19-4
- 供应商:
上海莼试
- 保存条件:
Store at -20°C
- 规格:
10mM (in 1mL DMSO) 5mg 25mg 100mg
使用方法:
1.本蛋白酶抑制剂混合物为100×的储存液,使用时按照1:100的比例加入到裂解液中(例如,1ml裂解液中加入10μl蛋白酶抑制剂混合物),混匀后即可使用。根据需要,0.5M的EDTA也按照1:100的比例加入到裂解液中(如用于检测金属蛋白酶活性,则不宜添加EDTA)。含有蛋白酶抑制剂混合物的裂解液宜现用现配,不宜配制后冻存待后续使用。
2. 待所需的抑制剂添加完毕混匀后,就可以开始进行哺乳动物组织的裂解和蛋白提取。
商品属性:
产品描述:
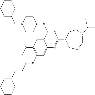
分子式:C37H61N7O2

分子量:635.93
溶解度:≥ 18.35mg/mL in DMSO with gentle warming
储存条件:Store at -20°C
General tips:For obtaining a higher solubility , please warm the tube at 37 ℃ and shake it in the ultrasonic bath for a while.
Shipping Condition:Evaluation sample solution : ship with blue ice All other available size: ship with RT , or blue ice upon request
UNC 0631 is a potent inhibitor of Protein lysine methyltransferase G9a (also known as KMT1C or EHMT2) with the IC50 value of 4nM [1].UNC 0631 has been revealed to inhibit the G9a in SAHH-coupled with the IC50 of 4nM. Besides, UNC 0631 has been found to be highly potent in reducing H3K9me2 levels in MDA-MB-231 cells with the ICW IC50 of 25nM. In addition, UNC 0631 has been shown the high in vitro potency against G9a and improved lipophilicity. Besides, UNC 0631 has also been reported to have low cell toxicity in MDA-MB-231 cells with the IC50 value of 2.8μM in MTT assay. In different cell lines, UNC 0631 has been demonstrated to potently reduce H3K9me2 levels with the ICW IC50 of 25nM, 18nM, 26nM, 24nM, 51nM, 72nM and 46nM in MDA-MB-231, MCF7, PC3, 22RV1, HCT116 wt, HCT 116 p53 and IMR90 cell lines, respectively [1].
注意事项:
抗逆滴加序列
每次向板内滴加抗原时,移液器滴头要与平面45度悬空,不要触碰到孔内的液体,由后向前依次滴加(即浓度由低往高滴加)。
抗感染反应期
抗原抗体在室温20~25℃下,必须反应30min以上,若环境温度低于室温,可将微量反应板置于恒温培养箱中,使二者充分反应。
旅游温度
磷酸盐缓冲液的pH值要在高压灭菌后进行滴定,往往在高压后pH值会有所改变,所以高压后再调一次pH值更为准确。磷酸盐缓冲液一经使用保存期不要超过3周。当pH<5.8时,红细胞会产生自凝现象;当pH>7.8时,图形洗脱加快,易造成肉眼观察产生误差;p H=7.2时,红细胞沉降最充分,图形最清晰。
当滴注 1%红细胞悬液时,应经常摇晃红细胞悬液,使红细胞均匀地分布在磷酸缓冲液中,以防止红细胞下降。
反应时间及温度
加入鸡红血球之后,反应板在室温(20~25℃)静置30~40min,对照孔血球下沉于孔底,即可判定结果。若室温达不到实验要求,需相应调整反应时间。当环境温度低于4℃时,红细胞发生自凝;高于37℃时,会发生反应物分离和红细胞溶血。
公司正在出售的产品:
1.本蛋白酶抑制剂混合物为100×的储存液,使用时按照1:100的比例加入到裂解液中(例如,1ml裂解液中加入10μl蛋白酶抑制剂混合物),混匀后即可使用。根据需要,0.5M的EDTA也按照1:100的比例加入到裂解液中(如用于检测金属蛋白酶活性,则不宜添加EDTA)。含有蛋白酶抑制剂混合物的裂解液宜现用现配,不宜配制后冻存待后续使用。
2. 待所需的抑制剂添加完毕混匀后,就可以开始进行哺乳动物组织的裂解和蛋白提取。
商品属性:
| 货号 | CS-01Y67601 | 规格 | 10mM (in 1mL DMSO) 5mg 25mg 100mg |
| CAS号 | 1320288-19-4 | 分子量 | 635.93 |
| 含量 | >98.00% | 别名 | |
| 分子式 | C37H61N7O2 | 化学名 | N-(1-(cyclohexylmethyl)piperidin-4-yl)-2-(4-isopropyl-1,4-diazepan-1-yl)-6-methoxy-7-(3-(piperidin-1-yl)propoxy)quinazolin-4-amine |
| 产地 | 国产 | 用途 | 仅供科研研究实验 |
分子式:C37H61N7O2

分子量:635.93
溶解度:≥ 18.35mg/mL in DMSO with gentle warming
储存条件:Store at -20°C
General tips:For obtaining a higher solubility , please warm the tube at 37 ℃ and shake it in the ultrasonic bath for a while.
Shipping Condition:Evaluation sample solution : ship with blue ice All other available size: ship with RT , or blue ice upon request
UNC 0631 is a potent inhibitor of Protein lysine methyltransferase G9a (also known as KMT1C or EHMT2) with the IC50 value of 4nM [1].UNC 0631 has been revealed to inhibit the G9a in SAHH-coupled with the IC50 of 4nM. Besides, UNC 0631 has been found to be highly potent in reducing H3K9me2 levels in MDA-MB-231 cells with the ICW IC50 of 25nM. In addition, UNC 0631 has been shown the high in vitro potency against G9a and improved lipophilicity. Besides, UNC 0631 has also been reported to have low cell toxicity in MDA-MB-231 cells with the IC50 value of 2.8μM in MTT assay. In different cell lines, UNC 0631 has been demonstrated to potently reduce H3K9me2 levels with the ICW IC50 of 25nM, 18nM, 26nM, 24nM, 51nM, 72nM and 46nM in MDA-MB-231, MCF7, PC3, 22RV1, HCT116 wt, HCT 116 p53 and IMR90 cell lines, respectively [1].
注意事项:
抗逆滴加序列
每次向板内滴加抗原时,移液器滴头要与平面45度悬空,不要触碰到孔内的液体,由后向前依次滴加(即浓度由低往高滴加)。
抗感染反应期
抗原抗体在室温20~25℃下,必须反应30min以上,若环境温度低于室温,可将微量反应板置于恒温培养箱中,使二者充分反应。
旅游温度
磷酸盐缓冲液的pH值要在高压灭菌后进行滴定,往往在高压后pH值会有所改变,所以高压后再调一次pH值更为准确。磷酸盐缓冲液一经使用保存期不要超过3周。当pH<5.8时,红细胞会产生自凝现象;当pH>7.8时,图形洗脱加快,易造成肉眼观察产生误差;p H=7.2时,红细胞沉降最充分,图形最清晰。
当滴注 1%红细胞悬液时,应经常摇晃红细胞悬液,使红细胞均匀地分布在磷酸缓冲液中,以防止红细胞下降。
反应时间及温度
加入鸡红血球之后,反应板在室温(20~25℃)静置30~40min,对照孔血球下沉于孔底,即可判定结果。若室温达不到实验要求,需相应调整反应时间。当环境温度低于4℃时,红细胞发生自凝;高于37℃时,会发生反应物分离和红细胞溶血。
公司正在出售的产品:
| 重组人B细胞活化因子受体蛋白 | 肌动蛋白结合蛋白CFL封闭多肽 |
| 嗅觉受体5AS1封闭多肽 | G蛋白信号转导调节因子3抗体 |
| 重组胃蛋白酶原C蛋白 | 肌肉特定环指蛋白3抗体 |
| 锌指及同源结构域蛋白1封闭多肽 | 锌指蛋白580抗体 |
| 同源盒蛋白HOXC9封闭多肽 | INE1蛋白抗体 |
| 范可尼贫血组蛋白A封闭多肽 | 神经丝蛋白抗体 |
| 磷酸化原癌基因CBL2封闭多肽 | 磷酸酶/磷酸二酯酶家族成员5抗体 |
| KLHDC1蛋白封闭多肽 | 内皮素-1单克隆抗体 |
| 转化蛋白p21封闭多肽(原癌基因H-ras封闭多肽) | 肿瘤转移抑制基因1抗体 |
| 酿酒酵母NAS6蛋白封闭多肽 | 富含丝氨酸RNA结合蛋白RNPS1抗体 |
| 环指蛋白34封闭多肽 | 假定肿瘤抑制亮氨酸拉链蛋白1抗体 |
| FIBIN蛋白封闭多肽 | 骨形态发生蛋白10抗体 |
| 降钙素基因相关肽受体CRCP封闭多肽 | UNC 0631鸡新城疫融合糖蛋白F1 |
| 骨保护蛋白配体/破骨细胞分化因子封闭多肽 | 转录调节蛋白BACH1抗体 |
| 髓系细胞触发受体1抗体 | 细胞角蛋白31抗体 |
风险提示:丁香通仅作为第三方平台,为商家信息发布提供平台空间。用户咨询产品时请注意保护个人信息及财产安全,合理判断,谨慎选购商品,商家和用户对交易行为负责。对于医疗器械类产品,请先查证核实企业经营资质和医疗器械产品注册证情况。
技术资料暂无技术资料 索取技术资料
UNC 0631
¥600 - 3200








