万千商家帮你免费找货
0 人在求购买到急需产品
- 详细信息
- 技术资料
- 库存:
45
- 英文名:
Physalin F
- CAS号:
57423-71-9
- 供应商:
上海莼试
- 保存条件:
Store at -20°C
- 规格:
1mg
商品属性:
产品描述:
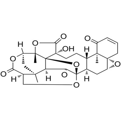
分子式:C28H30O10

分子量:526.53
溶解度:N/A
储存条件:Store at -20°C
General tips:For obtaining a higher solubility , please warm the tube at 37 ℃ and shake it in the ultrasonic bath for a while.
Shipping Condition:Evaluation sample solution : ship with blue ice All other available size: ship with RT , or blue ice upon request
Physalin F is a secosteroid with potent anti-inflammatory and immunomodulatory activities. Physalin F induces apoptosis of PBMC, decreasing the spontaneous proliferation and cytokine production caused by Human T-lymphotropic virus type 1 (HTLV-1) infection[1].Physalin F is a seco-steroid from Physalis angulate L.[1].[1]. Pinto LA, et al. Physalin F, a seco-steroid from Physalis angulata L., has immunosuppressive activity in peripheral blood mononuclear cells from patients with HTLV1-associated myelopathy. Biomed Pharmacother. 2016;79:129-134.
注意事项:
抗逆滴加序列
每次向板内滴加抗原时,移液器滴头要与平面45度悬空,不要触碰到孔内的液体,由后向前依次滴加(即浓度由低往高滴加)。
抗感染反应期
抗原抗体在室温20~25℃下,必须反应30min以上,若环境温度低于室温,可将微量反应板置于恒温培养箱中,使二者充分反应。
旅游温度
磷酸盐缓冲液的pH值要在高压灭菌后进行滴定,往往在高压后pH值会有所改变,所以高压后再调一次pH值更为准确。磷酸盐缓冲液一经使用保存期不要超过3周。当pH<5.8时,红细胞会产生自凝现象;当pH>7.8时,图形洗脱加快,易造成肉眼观察产生误差;p H=7.2时,红细胞沉降最充分,图形最清晰。
当滴注 1%红细胞悬液时,应经常摇晃红细胞悬液,使红细胞均匀地分布在磷酸缓冲液中,以防止红细胞下降。
反应时间及温度
加入鸡红血球之后,反应板在室温(20~25℃)静置30~40min,对照孔血球下沉于孔底,即可判定结果。若室温达不到实验要求,需相应调整反应时间。当环境温度低于4℃时,红细胞发生自凝;高于37℃时,会发生反应物分离和红细胞溶血。
使用方法:
1.本蛋白酶抑制剂混合物为100×的储存液,使用时按照1:100的比例加入到裂解液中(例如,1ml裂解液中加入10μl蛋白酶抑制剂混合物),混匀后即可使用。根据需要,0.5M的EDTA也按照1:100的比例加入到裂解液中(如用于检测金属蛋白酶活性,则不宜添加EDTA)。含有蛋白酶抑制剂混合物的裂解液宜现用现配,不宜配制后冻存待后续使用。
2. 待所需的抑制剂添加完毕混匀后,就可以开始进行哺乳动物组织的裂解和蛋白提取。
公司正在出售的产品:
| 货号 | CS-01Y65852 | 规格 | 1mg |
| CAS号 | 57423-71-9 | 分子量 | 526.53 |
| 含量 | >98.00% | 别名 | N/A |
| 分子式 | C28H30O10 | 化学名 | N/A |
| 产地 | 国产 | 用途 | 仅供科研研究实验 |
分子式:C28H30O10

分子量:526.53
溶解度:N/A
储存条件:Store at -20°C
General tips:For obtaining a higher solubility , please warm the tube at 37 ℃ and shake it in the ultrasonic bath for a while.
Shipping Condition:Evaluation sample solution : ship with blue ice All other available size: ship with RT , or blue ice upon request
Physalin F is a secosteroid with potent anti-inflammatory and immunomodulatory activities. Physalin F induces apoptosis of PBMC, decreasing the spontaneous proliferation and cytokine production caused by Human T-lymphotropic virus type 1 (HTLV-1) infection[1].Physalin F is a seco-steroid from Physalis angulate L.[1].[1]. Pinto LA, et al. Physalin F, a seco-steroid from Physalis angulata L., has immunosuppressive activity in peripheral blood mononuclear cells from patients with HTLV1-associated myelopathy. Biomed Pharmacother. 2016;79:129-134.
注意事项:
抗逆滴加序列
每次向板内滴加抗原时,移液器滴头要与平面45度悬空,不要触碰到孔内的液体,由后向前依次滴加(即浓度由低往高滴加)。
抗感染反应期
抗原抗体在室温20~25℃下,必须反应30min以上,若环境温度低于室温,可将微量反应板置于恒温培养箱中,使二者充分反应。
旅游温度
磷酸盐缓冲液的pH值要在高压灭菌后进行滴定,往往在高压后pH值会有所改变,所以高压后再调一次pH值更为准确。磷酸盐缓冲液一经使用保存期不要超过3周。当pH<5.8时,红细胞会产生自凝现象;当pH>7.8时,图形洗脱加快,易造成肉眼观察产生误差;p H=7.2时,红细胞沉降最充分,图形最清晰。
当滴注 1%红细胞悬液时,应经常摇晃红细胞悬液,使红细胞均匀地分布在磷酸缓冲液中,以防止红细胞下降。
反应时间及温度
加入鸡红血球之后,反应板在室温(20~25℃)静置30~40min,对照孔血球下沉于孔底,即可判定结果。若室温达不到实验要求,需相应调整反应时间。当环境温度低于4℃时,红细胞发生自凝;高于37℃时,会发生反应物分离和红细胞溶血。
使用方法:
1.本蛋白酶抑制剂混合物为100×的储存液,使用时按照1:100的比例加入到裂解液中(例如,1ml裂解液中加入10μl蛋白酶抑制剂混合物),混匀后即可使用。根据需要,0.5M的EDTA也按照1:100的比例加入到裂解液中(如用于检测金属蛋白酶活性,则不宜添加EDTA)。含有蛋白酶抑制剂混合物的裂解液宜现用现配,不宜配制后冻存待后续使用。
2. 待所需的抑制剂添加完毕混匀后,就可以开始进行哺乳动物组织的裂解和蛋白提取。
公司正在出售的产品:
| 核转录因子κB抑制作用Ras样2蛋白封闭多肽 | FAM171A2蛋白封闭多肽 |
| 中分子量神经丝蛋白封闭多肽 | 内质网核信号转导蛋白a1抗体 |
| 核输出信号相互作用蛋白封闭多肽 | 转铁蛋白受体(CD71)抗体 |
| 钙/钙调素依赖蛋白激酶2α封闭多肽 | DNA引物酶抗体 |
| 磷酸化整合素连接激酶1封闭多肽 | 磷酸化细胞核因子p50/k基因结合核因子抗体 |
| 轴丝动力蛋白11封闭多肽 | 中性粒细胞弹性蛋白酶ELANE抗体 |
| 磷酸化KB抑制蛋白激酶γ封闭多肽 | FITM1蛋白抗体 |
| 整合素样金属蛋白酶与凝血酶10型封闭多肽 | 脂联素受体1抗体 |
| 甲型流感病毒血凝素封闭多肽 | 糖皮质激素受体抗体 |
| MICAL样蛋白1封闭多肽 | 内皮细胞分化鞘脂G蛋白偶联受体1抗体 |
| 磷酸化沉默调节蛋白1封闭多肽 | 类肿瘤性抗原MA3抗体 |
| GATM蛋白封闭多肽 | 前列腺素F2a受体抗体PGF2αR |
| β淀粉样前体蛋白结合蛋白2封闭多肽 | Physalin F磷酸化CREB转录共激活因子TORC2抗体 |
| 磷酸化糖皮质激素受体DNA结合因子1封闭多肽 | CD23/FcεRII抗体 |
| 2-二醇脱氢酶抗体 | 小鼠抗人CD71单克隆抗体 |
风险提示:丁香通仅作为第三方平台,为商家信息发布提供平台空间。用户咨询产品时请注意保护个人信息及财产安全,合理判断,谨慎选购商品,商家和用户对交易行为负责。对于医疗器械类产品,请先查证核实企业经营资质和医疗器械产品注册证情况。
技术资料暂无技术资料 索取技术资料
Physalin F
¥600 - 3200








