万千商家帮你免费找货
0 人在求购买到急需产品
- 详细信息
- 技术资料
- 库存:
48
- 英文名:
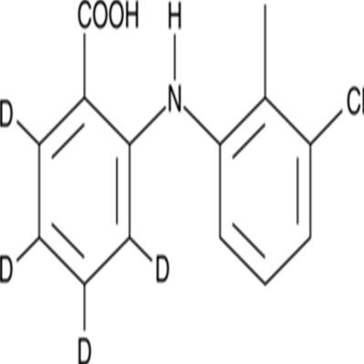
Tolfenamic Acid-d4
- CAS号:
1246820-82-5
- 供应商:
上海莼试
- 保存条件:
Store at -20°C
- 规格:
1mg 5mg
使用方法:
1.本蛋白酶抑制剂混合物为100×的储存液,使用时按照1:100的比例加入到裂解液中(例如,1ml裂解液中加入10μl蛋白酶抑制剂混合物),混匀后即可使用。根据需要,0.5M的EDTA也按照1:100的比例加入到裂解液中(如用于检测金属蛋白酶活性,则不宜添加EDTA)。含有蛋白酶抑制剂混合物的裂解液宜现用现配,不宜配制后冻存待后续使用。
2. 待所需的抑制剂添加完毕混匀后,就可以开始进行哺乳动物组织的裂解和蛋白提取。
商品属性:
产品描述:
分子式:C14H8ClD4NO2

分子量:265.7
溶解度:DMF: soluble,DMSO: soluble,Methanol: soluble
储存条件:Store at -20°C
General tips:For obtaining a higher solubility , please warm the tube at 37 ℃ and shake it in the ultrasonic bath for a while.
Shipping Condition:Evaluation sample solution : ship with blue ice All other available size: ship with RT , or blue ice upon request
Tolfenamic acid-d4 is intended for use as an internal standard for the quantification of tolfenamic acid by GC- or LC-MS. Tolfenamic acid is a non-steroidal anti-inflammatory drug (NSAID) with anticancer activity.1,2,3,4,5 It is selective for COX-2 over COX-1 in canine DH82 monocyte/macrophage cells (IC50s = 3.53 and >51.2 μg/ml, respectively).1 Tolfenamic acid inhibits calcium influx in human polymorphonuclear leukocytes (PMNLs) induced by N-formyl-L-methionyl-L-leucyl-L-phenylalanine or the calcium ionophore A23187 in a concentration-dependent manner.2 It decreases protein levels of the transcription factors Sp1, Sp3, and Sp4 in PANC-1 and L3.6pl cells when used at a concentration of 50 μM and inhibits proliferation of PANC-1, L3.6pl, and PANC-28 cells in a concentration-dependent manner.4 Tolfenamic acid (50 and 100 μM) decreases the viability of and induces apoptosis in MDA-MB-231 cells.5 It reduces tumor growth in an MDA-MB-231 mouse xenograft model when administered at doses of 25 and 50 mg/kg. Tolfenamic acid (150 μmol/kg) reduces carrageenan-induced paw edema in mice by 24%.3|1. Kay-Mugford, P., Benn, S.J., LaMarre, J., et al. In vitro effects of nonsteroidal anti-inflammatory drugs on cyclooxygenase activity in dogs. Am. J. Vet. Res. 61(7), 802-810 (2000).|2. Kankaanranta, H., and Moilanen, E. Flufenamic and tolfenamic acids inhibit calcium influx in human polymorphonuclear leukocytes. Mol. Pharmacol. 47(5), 1006-1013 (1995).|3. Galanakis, D., Kourounakis, A.P., Tsiakitzis, K.C., et al. Synthesis and pharmacological evaluation of amide conjugates of NSAIDs with L-cysteine ethyl ester, combining potent antiinflammatory and antioxidant properties with significantly reduced gastrointestinal toxicity. Bioorg. Med. Chem. Lett. 14(14), 3639-3643 (2004).|4. Abdelrahim, M., Baker, C.H., Abbruzzese, J.L., et al. Tolfenamic acid and pancreatic cancer growth, angiogenesis, and Sp protein degradation. J. Natl. Cancer Inst. 98(12), 855-868 (2006).|5. Kim, H.J., Cho, S.D., Kim, J., et al. Apoptotic effect of tolfenamic acid on MDA-MB-231 breast cancer cells and xenograft tumors. J. Clin. Biochem. Nutr. 52(1), 21-26 (2013).
注意事项:
抗逆滴加序列
每次向板内滴加抗原时,移液器滴头要与平面45度悬空,不要触碰到孔内的液体,由后向前依次滴加(即浓度由低往高滴加)。
抗感染反应期
抗原抗体在室温20~25℃下,必须反应30min以上,若环境温度低于室温,可将微量反应板置于恒温培养箱中,使二者充分反应。
旅游温度
磷酸盐缓冲液的pH值要在高压灭菌后进行滴定,往往在高压后pH值会有所改变,所以高压后再调一次pH值更为准确。磷酸盐缓冲液一经使用保存期不要超过3周。当pH<5.8时,红细胞会产生自凝现象;当pH>7.8时,图形洗脱加快,易造成肉眼观察产生误差;p H=7.2时,红细胞沉降最充分,图形最清晰。
当滴注 1%红细胞悬液时,应经常摇晃红细胞悬液,使红细胞均匀地分布在磷酸缓冲液中,以防止红细胞下降。
反应时间及温度
加入鸡红血球之后,反应板在室温(20~25℃)静置30~40min,对照孔血球下沉于孔底,即可判定结果。若室温达不到实验要求,需相应调整反应时间。当环境温度低于4℃时,红细胞发生自凝;高于37℃时,会发生反应物分离和红细胞溶血。
公司正在出售的产品:
1.本蛋白酶抑制剂混合物为100×的储存液,使用时按照1:100的比例加入到裂解液中(例如,1ml裂解液中加入10μl蛋白酶抑制剂混合物),混匀后即可使用。根据需要,0.5M的EDTA也按照1:100的比例加入到裂解液中(如用于检测金属蛋白酶活性,则不宜添加EDTA)。含有蛋白酶抑制剂混合物的裂解液宜现用现配,不宜配制后冻存待后续使用。
2. 待所需的抑制剂添加完毕混匀后,就可以开始进行哺乳动物组织的裂解和蛋白提取。
商品属性:
| 货号 | CS-01Y66584 | 规格 | 1mg 5mg |
| CAS号 | 1246820-82-5 | 分子量 | 265.7 |
| 含量 | >99.00% | 别名 | N/A |
| 分子式 | C14H8ClD4NO2 | 化学名 | N/A |
| 产地 | 国产 | 用途 | 仅供科研研究实验 |
分子式:C14H8ClD4NO2

分子量:265.7
溶解度:DMF: soluble,DMSO: soluble,Methanol: soluble
储存条件:Store at -20°C
General tips:For obtaining a higher solubility , please warm the tube at 37 ℃ and shake it in the ultrasonic bath for a while.
Shipping Condition:Evaluation sample solution : ship with blue ice All other available size: ship with RT , or blue ice upon request
Tolfenamic acid-d4 is intended for use as an internal standard for the quantification of tolfenamic acid by GC- or LC-MS. Tolfenamic acid is a non-steroidal anti-inflammatory drug (NSAID) with anticancer activity.1,2,3,4,5 It is selective for COX-2 over COX-1 in canine DH82 monocyte/macrophage cells (IC50s = 3.53 and >51.2 μg/ml, respectively).1 Tolfenamic acid inhibits calcium influx in human polymorphonuclear leukocytes (PMNLs) induced by N-formyl-L-methionyl-L-leucyl-L-phenylalanine or the calcium ionophore A23187 in a concentration-dependent manner.2 It decreases protein levels of the transcription factors Sp1, Sp3, and Sp4 in PANC-1 and L3.6pl cells when used at a concentration of 50 μM and inhibits proliferation of PANC-1, L3.6pl, and PANC-28 cells in a concentration-dependent manner.4 Tolfenamic acid (50 and 100 μM) decreases the viability of and induces apoptosis in MDA-MB-231 cells.5 It reduces tumor growth in an MDA-MB-231 mouse xenograft model when administered at doses of 25 and 50 mg/kg. Tolfenamic acid (150 μmol/kg) reduces carrageenan-induced paw edema in mice by 24%.3|1. Kay-Mugford, P., Benn, S.J., LaMarre, J., et al. In vitro effects of nonsteroidal anti-inflammatory drugs on cyclooxygenase activity in dogs. Am. J. Vet. Res. 61(7), 802-810 (2000).|2. Kankaanranta, H., and Moilanen, E. Flufenamic and tolfenamic acids inhibit calcium influx in human polymorphonuclear leukocytes. Mol. Pharmacol. 47(5), 1006-1013 (1995).|3. Galanakis, D., Kourounakis, A.P., Tsiakitzis, K.C., et al. Synthesis and pharmacological evaluation of amide conjugates of NSAIDs with L-cysteine ethyl ester, combining potent antiinflammatory and antioxidant properties with significantly reduced gastrointestinal toxicity. Bioorg. Med. Chem. Lett. 14(14), 3639-3643 (2004).|4. Abdelrahim, M., Baker, C.H., Abbruzzese, J.L., et al. Tolfenamic acid and pancreatic cancer growth, angiogenesis, and Sp protein degradation. J. Natl. Cancer Inst. 98(12), 855-868 (2006).|5. Kim, H.J., Cho, S.D., Kim, J., et al. Apoptotic effect of tolfenamic acid on MDA-MB-231 breast cancer cells and xenograft tumors. J. Clin. Biochem. Nutr. 52(1), 21-26 (2013).
注意事项:
抗逆滴加序列
每次向板内滴加抗原时,移液器滴头要与平面45度悬空,不要触碰到孔内的液体,由后向前依次滴加(即浓度由低往高滴加)。
抗感染反应期
抗原抗体在室温20~25℃下,必须反应30min以上,若环境温度低于室温,可将微量反应板置于恒温培养箱中,使二者充分反应。
旅游温度
磷酸盐缓冲液的pH值要在高压灭菌后进行滴定,往往在高压后pH值会有所改变,所以高压后再调一次pH值更为准确。磷酸盐缓冲液一经使用保存期不要超过3周。当pH<5.8时,红细胞会产生自凝现象;当pH>7.8时,图形洗脱加快,易造成肉眼观察产生误差;p H=7.2时,红细胞沉降最充分,图形最清晰。
当滴注 1%红细胞悬液时,应经常摇晃红细胞悬液,使红细胞均匀地分布在磷酸缓冲液中,以防止红细胞下降。
反应时间及温度
加入鸡红血球之后,反应板在室温(20~25℃)静置30~40min,对照孔血球下沉于孔底,即可判定结果。若室温达不到实验要求,需相应调整反应时间。当环境温度低于4℃时,红细胞发生自凝;高于37℃时,会发生反应物分离和红细胞溶血。
公司正在出售的产品:
| Recombnant Human BAX | PE-CY5标记的兔抗鸡IgM |
| PE-Cy3标记的小鼠抗人IgM | Rabbit Anti-Rat IgM / Cy5.5 |
| Alexa Fluor 647标记的羊抗豚鼠IgG H&L | Rabbit Anti-Dog IgG H&L / PE-Cy5.5 |
| 碱性磷酸酶(AP)标记的兔抗猪IgG H&L | Rabbit Anti-Dog IgG H&L / PE-Cy3 |
| PE-Cy5.5标记的羊抗牛IgG H&L | Rabbit Anti-Human IgM / Biotin |
| FITC标记的驴抗豚鼠IgG H&L | Donkey Anti-Goat IgG H&L / Cy3 |
| APC标记的羊抗人IgM | Rabbit Anti-Human IgG F(ab')₂ / PE-Cy5 |
| PE-Cy7标记的兔抗牛IgM | 硫酸乙酰肝素蛋白多糖2封闭多肽 |
| Cy5.5标记的兔抗大鼠IgM | Rabbit Anti-Bovine IgM / PE-Cy7 |
| PE-Cy5.5标记的兔抗狗IgG H&L | Goat Anti-Human IgM / APC |
| 生物素标记的兔抗人IgM | Donkey Anti-Guinea Pig IgG H&L / FITC |
| PE-Cy3标记的兔抗狗IgG H&L | Goat Anti-Bovine IgG H&L / PE-Cy5.5 |
| Cy3标记的驴抗羊IgG H&L | Tolfenamic Acid-d4Rabbit Anti-Pig IgG H&L / AP |
| PE-CY5标记的兔抗人IgG H&L F(ab')2 | Goat Anti-Guinea Pig IgG H&L / AF647 |
| Rabbit Anti-Chicken IgM / PE-Cy5 | Mouse Anti-Human IgM / PE-Cy3 |
风险提示:丁香通仅作为第三方平台,为商家信息发布提供平台空间。用户咨询产品时请注意保护个人信息及财产安全,合理判断,谨慎选购商品,商家和用户对交易行为负责。对于医疗器械类产品,请先查证核实企业经营资质和医疗器械产品注册证情况。
技术资料暂无技术资料 索取技术资料
Tolfenamic Acid-d4
¥600 - 3200








