相关产品推荐更多 >
万千商家帮你免费找货
0 人在求购买到急需产品
- 详细信息
- 技术资料
- 库存:
20
- 英文名:
Pestalotin
- CAS号:
34565-32-7
- 供应商:
上海莼试
- 保存条件:
Store at -20°C
- 规格:
500μg 2.5mg
商品属性:
产品描述:
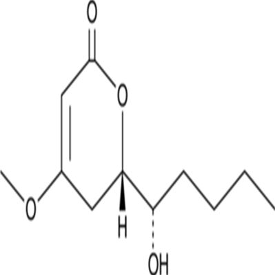
分子式:C11H18O4

分子量:214.3
溶解度:Soluble in DMSO
储存条件:Store at -20°C
General tips:For obtaining a higher solubility , please warm the tube at 37 ℃ and shake it in the ultrasonic bath for a while.
Shipping Condition:Evaluation sample solution : ship with blue ice All other available size: ship with RT , or blue ice upon request
Pestalotin is a fungal metabolite originally isolated from P. cryptomeriaecola with diverse biological activities. It induces reducing sugar release in embryoless rice endosperms when used at concentrations ranging from 3 to 100 mg/L and enhances growth of rice seedlings (O. sativa) when used in combination with gibberellin A3 at concentrations ranging from 30 to 500 mg/L. Pestalotin has antifungal activity, reducing the growth of C. albicans, C. neoformans, T. rubrum, and A. fumigatus (MICs = 12.5, 50, 50, and 50 μg/ml, respectively). It is cytotoxic to HL-60, MKN45, LoVo, and A549 cells (IC50s = 64.87-182.92 μM). Pestalotin has been used as a standard for dereplication of natural products.
注意事项:
抗逆滴加序列
每次向板内滴加抗原时,移液器滴头要与平面45度悬空,不要触碰到孔内的液体,由后向前依次滴加(即浓度由低往高滴加)。
抗感染反应期
抗原抗体在室温20~25℃下,必须反应30min以上,若环境温度低于室温,可将微量反应板置于恒温培养箱中,使二者充分反应。
旅游温度
磷酸盐缓冲液的pH值要在高压灭菌后进行滴定,往往在高压后pH值会有所改变,所以高压后再调一次pH值更为准确。磷酸盐缓冲液一经使用保存期不要超过3周。当pH<5.8时,红细胞会产生自凝现象;当pH>7.8时,图形洗脱加快,易造成肉眼观察产生误差;p H=7.2时,红细胞沉降最充分,图形最清晰。
当滴注 1%红细胞悬液时,应经常摇晃红细胞悬液,使红细胞均匀地分布在磷酸缓冲液中,以防止红细胞下降。
反应时间及温度
加入鸡红血球之后,反应板在室温(20~25℃)静置30~40min,对照孔血球下沉于孔底,即可判定结果。若室温达不到实验要求,需相应调整反应时间。当环境温度低于4℃时,红细胞发生自凝;高于37℃时,会发生反应物分离和红细胞溶血。
使用方法:
1.本蛋白酶抑制剂混合物为100×的储存液,使用时按照1:100的比例加入到裂解液中(例如,1ml裂解液中加入10μl蛋白酶抑制剂混合物),混匀后即可使用。根据需要,0.5M的EDTA也按照1:100的比例加入到裂解液中(如用于检测金属蛋白酶活性,则不宜添加EDTA)。含有蛋白酶抑制剂混合物的裂解液宜现用现配,不宜配制后冻存待后续使用。
2. 待所需的抑制剂添加完毕混匀后,就可以开始进行哺乳动物组织的裂解和蛋白提取。
公司正在出售的产品:
| 货号 | CS-01Y66575 | 规格 | 500μg 2.5mg |
| CAS号 | 34565-32-7 | 分子量 | 214.3 |
| 含量 | >99.00% | 别名 | N/A |
| 分子式 | C11H18O4 | 化学名 | N/A |
| 产地 | 国产 | 用途 | 仅供科研研究实验 |
分子式:C11H18O4

分子量:214.3
溶解度:Soluble in DMSO
储存条件:Store at -20°C
General tips:For obtaining a higher solubility , please warm the tube at 37 ℃ and shake it in the ultrasonic bath for a while.
Shipping Condition:Evaluation sample solution : ship with blue ice All other available size: ship with RT , or blue ice upon request
Pestalotin is a fungal metabolite originally isolated from P. cryptomeriaecola with diverse biological activities. It induces reducing sugar release in embryoless rice endosperms when used at concentrations ranging from 3 to 100 mg/L and enhances growth of rice seedlings (O. sativa) when used in combination with gibberellin A3 at concentrations ranging from 30 to 500 mg/L. Pestalotin has antifungal activity, reducing the growth of C. albicans, C. neoformans, T. rubrum, and A. fumigatus (MICs = 12.5, 50, 50, and 50 μg/ml, respectively). It is cytotoxic to HL-60, MKN45, LoVo, and A549 cells (IC50s = 64.87-182.92 μM). Pestalotin has been used as a standard for dereplication of natural products.
注意事项:
抗逆滴加序列
每次向板内滴加抗原时,移液器滴头要与平面45度悬空,不要触碰到孔内的液体,由后向前依次滴加(即浓度由低往高滴加)。
抗感染反应期
抗原抗体在室温20~25℃下,必须反应30min以上,若环境温度低于室温,可将微量反应板置于恒温培养箱中,使二者充分反应。
旅游温度
磷酸盐缓冲液的pH值要在高压灭菌后进行滴定,往往在高压后pH值会有所改变,所以高压后再调一次pH值更为准确。磷酸盐缓冲液一经使用保存期不要超过3周。当pH<5.8时,红细胞会产生自凝现象;当pH>7.8时,图形洗脱加快,易造成肉眼观察产生误差;p H=7.2时,红细胞沉降最充分,图形最清晰。
当滴注 1%红细胞悬液时,应经常摇晃红细胞悬液,使红细胞均匀地分布在磷酸缓冲液中,以防止红细胞下降。
反应时间及温度
加入鸡红血球之后,反应板在室温(20~25℃)静置30~40min,对照孔血球下沉于孔底,即可判定结果。若室温达不到实验要求,需相应调整反应时间。当环境温度低于4℃时,红细胞发生自凝;高于37℃时,会发生反应物分离和红细胞溶血。
使用方法:
1.本蛋白酶抑制剂混合物为100×的储存液,使用时按照1:100的比例加入到裂解液中(例如,1ml裂解液中加入10μl蛋白酶抑制剂混合物),混匀后即可使用。根据需要,0.5M的EDTA也按照1:100的比例加入到裂解液中(如用于检测金属蛋白酶活性,则不宜添加EDTA)。含有蛋白酶抑制剂混合物的裂解液宜现用现配,不宜配制后冻存待后续使用。
2. 待所需的抑制剂添加完毕混匀后,就可以开始进行哺乳动物组织的裂解和蛋白提取。
公司正在出售的产品:
| Recombnant Human Annexn-8 | 驱动蛋白家族成员21A封闭多肽 |
| 酰硫酯酶蛋白2封闭多肽 | Phospho-NR3C1 (Ser211) Antibody Blocking Peptide |
| 热休克蛋白70蛋白12B封闭多肽 | REM1 Antibody Blocking Peptide |
| 4号染色体开放阅读框22封闭多肽 | NRTN Antibody Blocking Peptide |
| 有机溶质转运蛋白OSTβ封闭多肽 | Claudin 7 Antibody Blocking Peptide |
| 核纤层蛋白A识别因子封闭多肽 | STK36 Antibody Blocking Peptide |
| 甲酮/2-(甲基氨基)-1-苯基-1--BSA偶联物 | HDHD3 Antibody Blocking Peptide |
| NBPF10蛋白封闭多肽 | 16号染色体开放阅读框41封闭多肽 |
| 磷酸化糖皮质激素受体封闭多肽 | NBPF10 Antibody Blocking Peptide |
| GTP结合蛋白REM1封闭多肽 | Methcathinne/BSA |
| 紧密连接蛋白7封闭多肽 | NARF Antibody Blocking Peptide |
| 神经营养因子封闭多肽 | SLC51B Antibody Blocking Peptide |
| 丝氨酸/苏氨酸激酶36融合同源蛋白封闭多肽 | PestalotinC4orf22 Antibody Blocking Peptide |
| HDHD3蛋白封闭多肽 | HSPA12B Antibody Blocking Peptide |
| KIF21A Antibody Blocking Peptide | LYPLA2 Antibody Blocking Peptide |
风险提示:丁香通仅作为第三方平台,为商家信息发布提供平台空间。用户咨询产品时请注意保护个人信息及财产安全,合理判断,谨慎选购商品,商家和用户对交易行为负责。对于医疗器械类产品,请先查证核实企业经营资质和医疗器械产品注册证情况。
技术资料暂无技术资料 索取技术资料
Pestalotin
¥600 - 3200









