相关产品推荐更多 >
万千商家帮你免费找货
0 人在求购买到急需产品
- 详细信息
- 技术资料
- 库存:
46
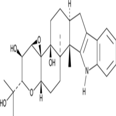
- 英文名:
Terpendole I
- CAS号:
167612-17-1
- 供应商:
上海莼试
- 保存条件:
Store at -20°C
- 规格:
1mg 5mg
商品属性:
产品描述:
分子式:C27H35NO5

分子量:453.6
溶解度:Soluble in DMSO
储存条件:Store at -20°C
General tips:For obtaining a higher solubility , please warm the tube at 37 ℃ and shake it in the ultrasonic bath for a while.
Shipping Condition:Evaluation sample solution : ship with blue ice All other available size: ship with RT , or blue ice upon request
Terpendole I is a fungal metabolite that has been found in A. yamanashiensis.1 It is a weak inhibitor of acyl-coenzyme A:cholesterol acyltransferase (ACAT; IC50 = 145 μM) and is active against the bacteria B. cereus and B. subtilis (MICs = 100 μg/ml for both) but not S. aureus, P. aeruginosa, or K. pneumoniae (MICs = >200 μg/ml for all) or the fungus C. albicans (MIC = 200 μg/ml).1,2 It is cytotoxic to HeLa cells with an IC50 value of 52.6 μM.3|1. Tomoda, H., Tabata, N., Yang, D.-J., et al. Terpendoles, novel ACAT inhibitors produced by Albophoma yamanashiensis. III. Production, isolation and structure elucidation of new components. J. Antibiot. (Tokyo) 48(8), 793-804 (1995).|2. Zhao, J.-C., Wang, Y.-L., Zhang, T.-Y., et al. Indole diterpenoids from the endophytic fungus Drechmeria sp. as natural antimicrobial agents. Phytochemistry 148, 21-28 (2018).|3. Nagumo, Y., Motoyama, T., Hayashi, T., et al. Structure-activity relationships of terpendole E and its natural derivatives. ChemistrySelect 2(4), 1533-1536 (2017).
注意事项:
抗逆滴加序列
每次向板内滴加抗原时,移液器滴头要与平面45度悬空,不要触碰到孔内的液体,由后向前依次滴加(即浓度由低往高滴加)。
抗感染反应期
抗原抗体在室温20~25℃下,必须反应30min以上,若环境温度低于室温,可将微量反应板置于恒温培养箱中,使二者充分反应。
旅游温度
磷酸盐缓冲液的pH值要在高压灭菌后进行滴定,往往在高压后pH值会有所改变,所以高压后再调一次pH值更为准确。磷酸盐缓冲液一经使用保存期不要超过3周。当pH<5.8时,红细胞会产生自凝现象;当pH>7.8时,图形洗脱加快,易造成肉眼观察产生误差;p H=7.2时,红细胞沉降最充分,图形最清晰。
当滴注 1%红细胞悬液时,应经常摇晃红细胞悬液,使红细胞均匀地分布在磷酸缓冲液中,以防止红细胞下降。
反应时间及温度
加入鸡红血球之后,反应板在室温(20~25℃)静置30~40min,对照孔血球下沉于孔底,即可判定结果。若室温达不到实验要求,需相应调整反应时间。当环境温度低于4℃时,红细胞发生自凝;高于37℃时,会发生反应物分离和红细胞溶血。
使用方法:
1.本蛋白酶抑制剂混合物为100×的储存液,使用时按照1:100的比例加入到裂解液中(例如,1ml裂解液中加入10μl蛋白酶抑制剂混合物),混匀后即可使用。根据需要,0.5M的EDTA也按照1:100的比例加入到裂解液中(如用于检测金属蛋白酶活性,则不宜添加EDTA)。含有蛋白酶抑制剂混合物的裂解液宜现用现配,不宜配制后冻存待后续使用。
2. 待所需的抑制剂添加完毕混匀后,就可以开始进行哺乳动物组织的裂解和蛋白提取。
公司正在出售的产品:
| 货号 | CS-01Y66647 | 规格 | 1mg 5mg |
| CAS号 | 167612-17-1 | 分子量 | 453.6 |
| 含量 | >95.00% | 别名 | N/A |
| 分子式 | C27H35NO5 | 化学名 | N/A |
| 产地 | 国产 | 用途 | 仅供科研研究实验 |
分子式:C27H35NO5

分子量:453.6
溶解度:Soluble in DMSO
储存条件:Store at -20°C
General tips:For obtaining a higher solubility , please warm the tube at 37 ℃ and shake it in the ultrasonic bath for a while.
Shipping Condition:Evaluation sample solution : ship with blue ice All other available size: ship with RT , or blue ice upon request
Terpendole I is a fungal metabolite that has been found in A. yamanashiensis.1 It is a weak inhibitor of acyl-coenzyme A:cholesterol acyltransferase (ACAT; IC50 = 145 μM) and is active against the bacteria B. cereus and B. subtilis (MICs = 100 μg/ml for both) but not S. aureus, P. aeruginosa, or K. pneumoniae (MICs = >200 μg/ml for all) or the fungus C. albicans (MIC = 200 μg/ml).1,2 It is cytotoxic to HeLa cells with an IC50 value of 52.6 μM.3|1. Tomoda, H., Tabata, N., Yang, D.-J., et al. Terpendoles, novel ACAT inhibitors produced by Albophoma yamanashiensis. III. Production, isolation and structure elucidation of new components. J. Antibiot. (Tokyo) 48(8), 793-804 (1995).|2. Zhao, J.-C., Wang, Y.-L., Zhang, T.-Y., et al. Indole diterpenoids from the endophytic fungus Drechmeria sp. as natural antimicrobial agents. Phytochemistry 148, 21-28 (2018).|3. Nagumo, Y., Motoyama, T., Hayashi, T., et al. Structure-activity relationships of terpendole E and its natural derivatives. ChemistrySelect 2(4), 1533-1536 (2017).
注意事项:
抗逆滴加序列
每次向板内滴加抗原时,移液器滴头要与平面45度悬空,不要触碰到孔内的液体,由后向前依次滴加(即浓度由低往高滴加)。
抗感染反应期
抗原抗体在室温20~25℃下,必须反应30min以上,若环境温度低于室温,可将微量反应板置于恒温培养箱中,使二者充分反应。
旅游温度
磷酸盐缓冲液的pH值要在高压灭菌后进行滴定,往往在高压后pH值会有所改变,所以高压后再调一次pH值更为准确。磷酸盐缓冲液一经使用保存期不要超过3周。当pH<5.8时,红细胞会产生自凝现象;当pH>7.8时,图形洗脱加快,易造成肉眼观察产生误差;p H=7.2时,红细胞沉降最充分,图形最清晰。
当滴注 1%红细胞悬液时,应经常摇晃红细胞悬液,使红细胞均匀地分布在磷酸缓冲液中,以防止红细胞下降。
反应时间及温度
加入鸡红血球之后,反应板在室温(20~25℃)静置30~40min,对照孔血球下沉于孔底,即可判定结果。若室温达不到实验要求,需相应调整反应时间。当环境温度低于4℃时,红细胞发生自凝;高于37℃时,会发生反应物分离和红细胞溶血。
使用方法:
1.本蛋白酶抑制剂混合物为100×的储存液,使用时按照1:100的比例加入到裂解液中(例如,1ml裂解液中加入10μl蛋白酶抑制剂混合物),混匀后即可使用。根据需要,0.5M的EDTA也按照1:100的比例加入到裂解液中(如用于检测金属蛋白酶活性,则不宜添加EDTA)。含有蛋白酶抑制剂混合物的裂解液宜现用现配,不宜配制后冻存待后续使用。
2. 待所需的抑制剂添加完毕混匀后,就可以开始进行哺乳动物组织的裂解和蛋白提取。
公司正在出售的产品:
| Recombnant Human ALDH3B2 | 超氧化物歧化酶1封闭多肽 |
| 17号染色体开放阅读框77封闭多肽 | DTNA Antibody Blocking Peptide |
| 乙酰辅酶A酰基转移酶1封闭多肽 | Claudin 6 Antibody Blocking Peptide |
| E3泛素蛋白连接酶EDD封闭多肽 | KT3 tag Peptide |
| FBXO48蛋白封闭多肽 | ZBTB7C Antibody Blocking Peptide |
| 骨保护蛋白/护骨素封闭多肽 | SEC31A Antibody Blocking Peptide |
| 口蹄疫病毒A型封闭多肽 | FADS6 Antibody Blocking Peptide |
| 5-羟色胺受体3D封闭多肽 | 细胞质多聚腺苷酸结合蛋白4封闭多肽 |
| 肌营养蛋白α封闭多肽 | 5HT3D Receptor Antibody Blocking Peptide |
| 紧密连接蛋白6封闭多肽 | FMDV 3A Antibody Blocking Peptide |
| 锌指蛋白ZBTB7C封闭多肽 | OPG Antibody Blocking Peptide |
| KT3 tag封闭多肽 | FBXO48 Antibody Blocking Peptide |
| 转运蛋白SEC31A封闭多肽 | Terpendole IEDD Antibody Blocking Peptide |
| 脂肪酸去饱和酶6封闭多肽 | ACAA1 Antibody Blocking Peptide |
| SOD1 Antibody Blocking Peptide | C17orf77 Antibody Blocking Peptide |
风险提示:丁香通仅作为第三方平台,为商家信息发布提供平台空间。用户咨询产品时请注意保护个人信息及财产安全,合理判断,谨慎选购商品,商家和用户对交易行为负责。对于医疗器械类产品,请先查证核实企业经营资质和医疗器械产品注册证情况。
技术资料暂无技术资料 索取技术资料
Terpendole I
¥600 - 3200








