相关产品推荐更多 >
万千商家帮你免费找货
0 人在求购买到急需产品
- 详细信息
- 技术资料
- 库存:
44
- 英文名:
Sporogen-AO 1
- CAS号:
88418-12-6
- 供应商:
上海莼试
- 保存条件:
Store at -20°C
- 规格:
1 mg
商品属性:
产品描述:
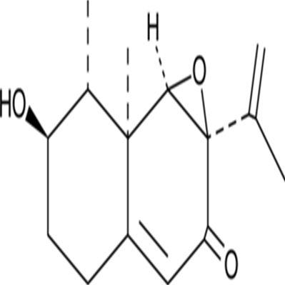
分子式:C15H20O3

分子量:248.3
溶解度:Dichloromethane: soluble,DMSO: soluble,Ethanol: soluble,Methanol: soluble
储存条件:Store at -20°C
General tips:For obtaining a higher solubility , please warm the tube at 37 ℃ and shake it in the ultrasonic bath for a while.
Shipping Condition:Evaluation sample solution : ship with blue ice All other available size: ship with RT , or blue ice upon request
Sporogen-AO 1 is a fungal metabolite originally isolated from A. oryzae that has diverse biological activities.1,2,3,4,5 It inhibits HIV-1 Tat transactivation in a cell-based assay with an IC50 value of 15.8 μM.4 Sporogen-AO 1 is cytotoxic to HeLa, KB, and NCI H187 cancer cells (IC50s = 8.3, 9, and 5.1 μM, respectively).2,5 It is active against C. albicans (MIC = 4 mM).31.Tanaka, S., Wada, K., Marumo, S., et al.Structure of sporogen-ao 1, a sporogenic substance of Aspergillu oryzaeTetrahedron Lett.25(51)5907-5910(1984) 2.Motohashi, K., Hashimoto, J., Inaba, S., et al.New sesquiterpenes, JBIR-27 and -28, isolated from a tunicate-derived fungus, Penicillium sp. SS080624SCf1J. Antibiot. (Tokyo)62(5)247-250(2009) 3.Yurchenko, A., Smetanina, O.F., Kalinovsky, A., et al.Biologically active metabolites of the facultative marine fungus Penicillium citrinumChem. Nat. Compd.48(6)996-998(2013) 4.Jayasuriya, H., Zink, D.L., Polishook, J.D., et al.Identification of diverse microbial metabolites as potent inhibitors of HIV-1 Tat transactivationChem. Biodivers.2(1)112-122(2005) 5.Tansakul, C., Rukachaisirikul, V., Chalothorn, T., et al.Synthesis and cytotoxicity against KB and NCI-H187 cell lines of sporogen AO-1 analoguesPhytochem. Lett.22128-132(2017)
注意事项:
抗逆滴加序列
每次向板内滴加抗原时,移液器滴头要与平面45度悬空,不要触碰到孔内的液体,由后向前依次滴加(即浓度由低往高滴加)。
抗感染反应期
抗原抗体在室温20~25℃下,必须反应30min以上,若环境温度低于室温,可将微量反应板置于恒温培养箱中,使二者充分反应。
旅游温度
磷酸盐缓冲液的pH值要在高压灭菌后进行滴定,往往在高压后pH值会有所改变,所以高压后再调一次pH值更为准确。磷酸盐缓冲液一经使用保存期不要超过3周。当pH<5.8时,红细胞会产生自凝现象;当pH>7.8时,图形洗脱加快,易造成肉眼观察产生误差;p H=7.2时,红细胞沉降最充分,图形最清晰。
当滴注 1%红细胞悬液时,应经常摇晃红细胞悬液,使红细胞均匀地分布在磷酸缓冲液中,以防止红细胞下降。
反应时间及温度
加入鸡红血球之后,反应板在室温(20~25℃)静置30~40min,对照孔血球下沉于孔底,即可判定结果。若室温达不到实验要求,需相应调整反应时间。当环境温度低于4℃时,红细胞发生自凝;高于37℃时,会发生反应物分离和红细胞溶血。
使用方法:
1.本蛋白酶抑制剂混合物为100×的储存液,使用时按照1:100的比例加入到裂解液中(例如,1ml裂解液中加入10μl蛋白酶抑制剂混合物),混匀后即可使用。根据需要,0.5M的EDTA也按照1:100的比例加入到裂解液中(如用于检测金属蛋白酶活性,则不宜添加EDTA)。含有蛋白酶抑制剂混合物的裂解液宜现用现配,不宜配制后冻存待后续使用。
2. 待所需的抑制剂添加完毕混匀后,就可以开始进行哺乳动物组织的裂解和蛋白提取。
公司正在出售的产品:
| 货号 | CS-01Y66682 | 规格 | 1 mg |
| CAS号 | 88418-12-6 | 分子量 | 248.3 |
| 含量 | >70.00% | 别名 | N/A |
| 分子式 | C15H20O3 | 化学名 | N/A |
| 产地 | 国产 | 用途 | 仅供科研研究实验 |
分子式:C15H20O3

分子量:248.3
溶解度:Dichloromethane: soluble,DMSO: soluble,Ethanol: soluble,Methanol: soluble
储存条件:Store at -20°C
General tips:For obtaining a higher solubility , please warm the tube at 37 ℃ and shake it in the ultrasonic bath for a while.
Shipping Condition:Evaluation sample solution : ship with blue ice All other available size: ship with RT , or blue ice upon request
Sporogen-AO 1 is a fungal metabolite originally isolated from A. oryzae that has diverse biological activities.1,2,3,4,5 It inhibits HIV-1 Tat transactivation in a cell-based assay with an IC50 value of 15.8 μM.4 Sporogen-AO 1 is cytotoxic to HeLa, KB, and NCI H187 cancer cells (IC50s = 8.3, 9, and 5.1 μM, respectively).2,5 It is active against C. albicans (MIC = 4 mM).31.Tanaka, S., Wada, K., Marumo, S., et al.Structure of sporogen-ao 1, a sporogenic substance of Aspergillu oryzaeTetrahedron Lett.25(51)5907-5910(1984) 2.Motohashi, K., Hashimoto, J., Inaba, S., et al.New sesquiterpenes, JBIR-27 and -28, isolated from a tunicate-derived fungus, Penicillium sp. SS080624SCf1J. Antibiot. (Tokyo)62(5)247-250(2009) 3.Yurchenko, A., Smetanina, O.F., Kalinovsky, A., et al.Biologically active metabolites of the facultative marine fungus Penicillium citrinumChem. Nat. Compd.48(6)996-998(2013) 4.Jayasuriya, H., Zink, D.L., Polishook, J.D., et al.Identification of diverse microbial metabolites as potent inhibitors of HIV-1 Tat transactivationChem. Biodivers.2(1)112-122(2005) 5.Tansakul, C., Rukachaisirikul, V., Chalothorn, T., et al.Synthesis and cytotoxicity against KB and NCI-H187 cell lines of sporogen AO-1 analoguesPhytochem. Lett.22128-132(2017)
注意事项:
抗逆滴加序列
每次向板内滴加抗原时,移液器滴头要与平面45度悬空,不要触碰到孔内的液体,由后向前依次滴加(即浓度由低往高滴加)。
抗感染反应期
抗原抗体在室温20~25℃下,必须反应30min以上,若环境温度低于室温,可将微量反应板置于恒温培养箱中,使二者充分反应。
旅游温度
磷酸盐缓冲液的pH值要在高压灭菌后进行滴定,往往在高压后pH值会有所改变,所以高压后再调一次pH值更为准确。磷酸盐缓冲液一经使用保存期不要超过3周。当pH<5.8时,红细胞会产生自凝现象;当pH>7.8时,图形洗脱加快,易造成肉眼观察产生误差;p H=7.2时,红细胞沉降最充分,图形最清晰。
当滴注 1%红细胞悬液时,应经常摇晃红细胞悬液,使红细胞均匀地分布在磷酸缓冲液中,以防止红细胞下降。
反应时间及温度
加入鸡红血球之后,反应板在室温(20~25℃)静置30~40min,对照孔血球下沉于孔底,即可判定结果。若室温达不到实验要求,需相应调整反应时间。当环境温度低于4℃时,红细胞发生自凝;高于37℃时,会发生反应物分离和红细胞溶血。
使用方法:
1.本蛋白酶抑制剂混合物为100×的储存液,使用时按照1:100的比例加入到裂解液中(例如,1ml裂解液中加入10μl蛋白酶抑制剂混合物),混匀后即可使用。根据需要,0.5M的EDTA也按照1:100的比例加入到裂解液中(如用于检测金属蛋白酶活性,则不宜添加EDTA)。含有蛋白酶抑制剂混合物的裂解液宜现用现配,不宜配制后冻存待后续使用。
2. 待所需的抑制剂添加完毕混匀后,就可以开始进行哺乳动物组织的裂解和蛋白提取。
公司正在出售的产品:
| Recombnant Human CNN2 proten | 核组装因子1核糖核蛋白封闭多肽 |
| 转录调节因子DACH2封闭多肽 | FAM167A Antibody Blocking Peptide |
| 宿主细胞因子2封闭多肽 | Recombinant EYFP protein, His |
| p40蛋白封闭多肽 | CCL26 Antibody Blocking Peptide |
| 磷酸化神经生长相关蛋白43封闭多肽 | PJA1 Antibody Blocking Peptide |
| 重组HHV-8 K3蛋白 | IGF2-AS Antibody Blocking Peptide |
| 锚定蛋白样蛋白1封闭多肽 | SGSH Antibody Blocking Peptide |
| 信号转导蛋白9复合体7b封闭多肽 | 细胞骨架衔接蛋白BN3封闭多肽 |
| FAM167A蛋白封闭多肽 | COPS7B Antibody Blocking Peptide |
| 重组增强型黄色荧光蛋白 | ASZ1 Antibody Blocking Peptide |
| 环指蛋白70封闭多肽 | Recombinant HHV-8 K3 protein |
| 趋化因子26/嗜酸粒细胞趋化蛋白3封闭多肽 | Phospho-GAP43 (Ser41) Antibody Blocking Peptide |
| IGF2基因的互补基因1蛋白封闭多肽 | Sporogen-AO 1RABEPK Antibody Blocking Peptide |
| 磺氨基葡糖硫酸胺酶封闭多肽 | HCFC2 Antibody Blocking Peptide |
| NAF1 Antibody Blocking Peptide | DACH2 Antibody Blocking Peptide |
风险提示:丁香通仅作为第三方平台,为商家信息发布提供平台空间。用户咨询产品时请注意保护个人信息及财产安全,合理判断,谨慎选购商品,商家和用户对交易行为负责。对于医疗器械类产品,请先查证核实企业经营资质和医疗器械产品注册证情况。
技术资料暂无技术资料 索取技术资料
Sporogen-AO 1
¥600 - 3200








