相关产品推荐更多 >
万千商家帮你免费找货
0 人在求购买到急需产品
- 详细信息
- 技术资料
- 库存:
35
- 英文名:
Nocardamine
- CAS号:
26605-16-3
- 供应商:
上海莼试
- 保存条件:
Store at -20°C
- 规格:
1 mg
使用方法:
1.本蛋白酶抑制剂混合物为100×的储存液,使用时按照1:100的比例加入到裂解液中(例如,1ml裂解液中加入10μl蛋白酶抑制剂混合物),混匀后即可使用。根据需要,0.5M的EDTA也按照1:100的比例加入到裂解液中(如用于检测金属蛋白酶活性,则不宜添加EDTA)。含有蛋白酶抑制剂混合物的裂解液宜现用现配,不宜配制后冻存待后续使用。
2. 待所需的抑制剂添加完毕混匀后,就可以开始进行哺乳动物组织的裂解和蛋白提取。
商品属性:
产品描述:
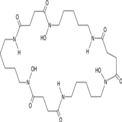
分子式:C27H48N6O9

分子量:600.7
溶解度:Dichloromethane: soluble,DMSO: soluble,Ethanol: soluble,Methanol: soluble
储存条件:Store at -20°C
General tips:For obtaining a higher solubility , please warm the tube at 37 ℃ and shake it in the ultrasonic bath for a while.
Shipping Condition:Evaluation sample solution : ship with blue ice All other available size: ship with RT , or blue ice upon request
Nocardamine is a ferrioxamine siderophore that has been found in Streptomyces and has diverse biological activities.1,2,3,4 It chelates iron in a chrome azurol S assay (IC50 = 9.9 μM).1 Nocardamine inhibits M. smegmatis and M. bovis biofilm formation (MIC = 10 μM for both), an effect that can be reversed by iron.2 It is cytotoxic to T47D, SK-MEL-5, SK-MEL-28, and RPMI-7951 cancer cells (IC50s = 6, 18, 12, and 14 μM, respectively).3 Nocardamine also induces morphological changes in BM-N4 insect cells.41.Lopez, J.A.V., Nogawa, T., Futamura, Y., et al.Nocardamin glucuronide, a new member of the ferrioxamine siderophores isolated from the ascamycin-producing strain Streptomyces sp. 80H647J. Antibiot. (Tokyo)72(12)991-995(2019) 2.Ishida, S., Arai, M., Niikawa, H., et al.Inhibitory effect of cyclic trihydroxamate siderophore, desferrioxamine E, on the biofilm formation of Mycobacterium speciesBiol. Pharm. Bull.34(6)917-920(2011) 3.Kalinovskaya, N.I., Romaneko, L.A., Irisawa, T., et al.Marine isolate Citricoccus sp. KMM 3890 as a source of a cyclic siderophore nocardamine with antitumor activityMicrobiol. Res.166(8)654-661(2011) 4.Matsubara, K., Sakuda, S., Tanaka, M., et al.Morphological changes in insect BM-N4 cells induced by nocardamineBiosci. Biotechnol. Biochem.62(10)2049-2051(1998)
注意事项:
抗逆滴加序列
每次向板内滴加抗原时,移液器滴头要与平面45度悬空,不要触碰到孔内的液体,由后向前依次滴加(即浓度由低往高滴加)。
抗感染反应期
抗原抗体在室温20~25℃下,必须反应30min以上,若环境温度低于室温,可将微量反应板置于恒温培养箱中,使二者充分反应。
旅游温度
磷酸盐缓冲液的pH值要在高压灭菌后进行滴定,往往在高压后pH值会有所改变,所以高压后再调一次pH值更为准确。磷酸盐缓冲液一经使用保存期不要超过3周。当pH<5.8时,红细胞会产生自凝现象;当pH>7.8时,图形洗脱加快,易造成肉眼观察产生误差;p H=7.2时,红细胞沉降最充分,图形最清晰。
当滴注 1%红细胞悬液时,应经常摇晃红细胞悬液,使红细胞均匀地分布在磷酸缓冲液中,以防止红细胞下降。
反应时间及温度
加入鸡红血球之后,反应板在室温(20~25℃)静置30~40min,对照孔血球下沉于孔底,即可判定结果。若室温达不到实验要求,需相应调整反应时间。当环境温度低于4℃时,红细胞发生自凝;高于37℃时,会发生反应物分离和红细胞溶血。
公司正在出售的产品:
1.本蛋白酶抑制剂混合物为100×的储存液,使用时按照1:100的比例加入到裂解液中(例如,1ml裂解液中加入10μl蛋白酶抑制剂混合物),混匀后即可使用。根据需要,0.5M的EDTA也按照1:100的比例加入到裂解液中(如用于检测金属蛋白酶活性,则不宜添加EDTA)。含有蛋白酶抑制剂混合物的裂解液宜现用现配,不宜配制后冻存待后续使用。
2. 待所需的抑制剂添加完毕混匀后,就可以开始进行哺乳动物组织的裂解和蛋白提取。
商品属性:
| 货号 | CS-01Y66679 | 规格 | 1 mg |
| CAS号 | 26605-16-3 | 分子量 | 600.7 |
| 含量 | >70.00% | 别名 | N/A |
| 分子式 | C27H48N6O9 | 化学名 | N/A |
| 产地 | 国产 | 用途 | 仅供科研研究实验 |
分子式:C27H48N6O9

分子量:600.7
溶解度:Dichloromethane: soluble,DMSO: soluble,Ethanol: soluble,Methanol: soluble
储存条件:Store at -20°C
General tips:For obtaining a higher solubility , please warm the tube at 37 ℃ and shake it in the ultrasonic bath for a while.
Shipping Condition:Evaluation sample solution : ship with blue ice All other available size: ship with RT , or blue ice upon request
Nocardamine is a ferrioxamine siderophore that has been found in Streptomyces and has diverse biological activities.1,2,3,4 It chelates iron in a chrome azurol S assay (IC50 = 9.9 μM).1 Nocardamine inhibits M. smegmatis and M. bovis biofilm formation (MIC = 10 μM for both), an effect that can be reversed by iron.2 It is cytotoxic to T47D, SK-MEL-5, SK-MEL-28, and RPMI-7951 cancer cells (IC50s = 6, 18, 12, and 14 μM, respectively).3 Nocardamine also induces morphological changes in BM-N4 insect cells.41.Lopez, J.A.V., Nogawa, T., Futamura, Y., et al.Nocardamin glucuronide, a new member of the ferrioxamine siderophores isolated from the ascamycin-producing strain Streptomyces sp. 80H647J. Antibiot. (Tokyo)72(12)991-995(2019) 2.Ishida, S., Arai, M., Niikawa, H., et al.Inhibitory effect of cyclic trihydroxamate siderophore, desferrioxamine E, on the biofilm formation of Mycobacterium speciesBiol. Pharm. Bull.34(6)917-920(2011) 3.Kalinovskaya, N.I., Romaneko, L.A., Irisawa, T., et al.Marine isolate Citricoccus sp. KMM 3890 as a source of a cyclic siderophore nocardamine with antitumor activityMicrobiol. Res.166(8)654-661(2011) 4.Matsubara, K., Sakuda, S., Tanaka, M., et al.Morphological changes in insect BM-N4 cells induced by nocardamineBiosci. Biotechnol. Biochem.62(10)2049-2051(1998)
注意事项:
抗逆滴加序列
每次向板内滴加抗原时,移液器滴头要与平面45度悬空,不要触碰到孔内的液体,由后向前依次滴加(即浓度由低往高滴加)。
抗感染反应期
抗原抗体在室温20~25℃下,必须反应30min以上,若环境温度低于室温,可将微量反应板置于恒温培养箱中,使二者充分反应。
旅游温度
磷酸盐缓冲液的pH值要在高压灭菌后进行滴定,往往在高压后pH值会有所改变,所以高压后再调一次pH值更为准确。磷酸盐缓冲液一经使用保存期不要超过3周。当pH<5.8时,红细胞会产生自凝现象;当pH>7.8时,图形洗脱加快,易造成肉眼观察产生误差;p H=7.2时,红细胞沉降最充分,图形最清晰。
当滴注 1%红细胞悬液时,应经常摇晃红细胞悬液,使红细胞均匀地分布在磷酸缓冲液中,以防止红细胞下降。
反应时间及温度
加入鸡红血球之后,反应板在室温(20~25℃)静置30~40min,对照孔血球下沉于孔底,即可判定结果。若室温达不到实验要求,需相应调整反应时间。当环境温度低于4℃时,红细胞发生自凝;高于37℃时,会发生反应物分离和红细胞溶血。
公司正在出售的产品:
| Recombnant Human L12B/L-12 p40/NKF2, C-Flag | 肽脱甲酰基酶PDF封闭多肽 |
| 磷酸化细胞分裂相关蛋白CSTF64封闭多肽 | SMYD1 Antibody Blocking Peptide |
| 肌动蛋白相关蛋白2/3亚型2封闭多肽 | MRPL41 Antibody Blocking Peptide |
| 钾/钠超极化激活环核苷酸门控通道蛋白2封闭多肽 | FBLIM1 Antibody Blocking Peptide |
| 精神分裂症与犰狳重复基因封闭多肽 | BZW2 Antibody Blocking Peptide |
| 碳酸氢钠协同转运蛋白6-A14封闭多肽 | SLC10A5 Antibody Blocking Peptide |
| 热休克蛋白70蛋白4样蛋白封闭多肽 | MBTD1 Antibody Blocking Peptide |
| 葡萄糖转运蛋白2封闭多肽 | 淋巴细胞趋化因子封闭多肽 |
| SMYD1蛋白封闭多肽 | GLUT2 Antibody Blocking Peptide |
| 线粒体核糖体蛋白L41封闭多肽 | HSPA4L Antibody Blocking Peptide |
| BZW2蛋白封闭多肽 | SLC6A14 Antibody Blocking Peptide |
| FBLIM1蛋白封闭多肽 | ARVCF Antibody Blocking Peptide |
| 溶质载体家族10成员5封闭多肽 | NocardamineHCN2 Antibody Blocking Peptide |
| MBTD1蛋白封闭多肽 | ARPC2 Antibody Blocking Peptide |
| PDF1A Antibody Blocking Peptide | phospho-CSTF2 (Ser83) Antibody Blocking Peptide |
风险提示:丁香通仅作为第三方平台,为商家信息发布提供平台空间。用户咨询产品时请注意保护个人信息及财产安全,合理判断,谨慎选购商品,商家和用户对交易行为负责。对于医疗器械类产品,请先查证核实企业经营资质和医疗器械产品注册证情况。
技术资料暂无技术资料 索取技术资料
Nocardamine
¥600 - 3200








