相关产品推荐更多 >
万千商家帮你免费找货
0 人在求购买到急需产品
- 详细信息
- 技术资料
- 库存:
28
- 英文名:
L-R4W2
- CAS号:
206350-79-0
- 供应商:
上海莼试
- 保存条件:
Desiccate at -20°C
- 规格:
1mg
产品描述:
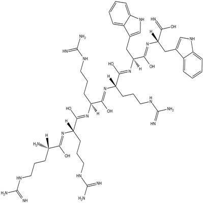
分子式:C46H71N21O6

分子量:1014.2
溶解度:Soluble to 1 mg/ml in H2O
储存条件:Desiccate at -20°C
General tips:For obtaining a higher solubility , please warm the tube at 37 ℃ and shake it in the ultrasonic bath for a while.
Shipping Condition:Evaluation sample solution : ship with blue ice All other available size: ship with RT , or blue ice upon request
商品属性:
注意事项:
抗逆滴加序列
每次向板内滴加抗原时,移液器滴头要与平面45度悬空,不要触碰到孔内的液体,由后向前依次滴加(即浓度由低往高滴加)。
抗感染反应期
抗原抗体在室温20~25℃下,必须反应30min以上,若环境温度低于室温,可将微量反应板置于恒温培养箱中,使二者充分反应。
旅游温度
磷酸盐缓冲液的pH值要在高压灭菌后进行滴定,往往在高压后pH值会有所改变,所以高压后再调一次pH值更为准确。磷酸盐缓冲液一经使用保存期不要超过3周。当pH<5.8时,红细胞会产生自凝现象;当pH>7.8时,图形洗脱加快,易造成肉眼观察产生误差;p H=7.2时,红细胞沉降最充分,图形最清晰。
当滴注 1%红细胞悬液时,应经常摇晃红细胞悬液,使红细胞均匀地分布在磷酸缓冲液中,以防止红细胞下降。
反应时间及温度
加入鸡红血球之后,反应板在室温(20~25℃)静置30~40min,对照孔血球下沉于孔底,即可判定结果。若室温达不到实验要求,需相应调整反应时间。当环境温度低于4℃时,红细胞发生自凝;高于37℃时,会发生反应物分离和红细胞溶血。
公司正在出售的产品:
使用方法:
1.本蛋白酶抑制剂混合物为100×的储存液,使用时按照1:100的比例加入到裂解液中(例如,1ml裂解液中加入10μl蛋白酶抑制剂混合物),混匀后即可使用。根据需要,0.5M的EDTA也按照1:100的比例加入到裂解液中(如用于检测金属蛋白酶活性,则不宜添加EDTA)。含有蛋白酶抑制剂混合物的裂解液宜现用现配,不宜配制后冻存待后续使用。
2. 待所需的抑制剂添加完毕混匀后,就可以开始进行哺乳动物组织的裂解和蛋白提取。
分子式:C46H71N21O6

分子量:1014.2
溶解度:Soluble to 1 mg/ml in H2O
储存条件:Desiccate at -20°C
General tips:For obtaining a higher solubility , please warm the tube at 37 ℃ and shake it in the ultrasonic bath for a while.
Shipping Condition:Evaluation sample solution : ship with blue ice All other available size: ship with RT , or blue ice upon request
商品属性:
| 货号 | CS-01Y74062 | 规格 | 1mg |
| CAS号 | 206350-79-0 | 分子量 | 1014.2 |
| 含量 | >98.00% | 别名 | |
| 分子式 | C46H71N21O6 | 化学名 | (S,Z)-2-amino-N-((6S,7Z,9S,10Z,12S,13Z,15S,16Z,18S)-15,18-bis((1H-indol-3-yl)methyl)-1-amino-9,12-bis(3-guanidinopropyl)-7,10,13,16,19-pentahydroxy-1,19-diimino-2,8,11,14,17-pentaazanonadeca-7,10,13,16-tetraen-6-yl)-5-guanidinopentanimidic acid |
| 产地 | 国产 | 用途 | 仅供科研研究实验 |
抗逆滴加序列
每次向板内滴加抗原时,移液器滴头要与平面45度悬空,不要触碰到孔内的液体,由后向前依次滴加(即浓度由低往高滴加)。
抗感染反应期
抗原抗体在室温20~25℃下,必须反应30min以上,若环境温度低于室温,可将微量反应板置于恒温培养箱中,使二者充分反应。
旅游温度
磷酸盐缓冲液的pH值要在高压灭菌后进行滴定,往往在高压后pH值会有所改变,所以高压后再调一次pH值更为准确。磷酸盐缓冲液一经使用保存期不要超过3周。当pH<5.8时,红细胞会产生自凝现象;当pH>7.8时,图形洗脱加快,易造成肉眼观察产生误差;p H=7.2时,红细胞沉降最充分,图形最清晰。
当滴注 1%红细胞悬液时,应经常摇晃红细胞悬液,使红细胞均匀地分布在磷酸缓冲液中,以防止红细胞下降。
反应时间及温度
加入鸡红血球之后,反应板在室温(20~25℃)静置30~40min,对照孔血球下沉于孔底,即可判定结果。若室温达不到实验要求,需相应调整反应时间。当环境温度低于4℃时,红细胞发生自凝;高于37℃时,会发生反应物分离和红细胞溶血。
公司正在出售的产品:
| Recombnant Human DAO proten , N- H Tag | 磷酸化肿瘤血管内皮标志物8封闭多肽 |
| CD43封闭多肽 | Phospho-Bad (Ser118) hu Antibody Blocking Peptide |
| mRNA cap甲基转移酶封闭多肽 | RANBP6 Antibody Blocking Peptide |
| FbxL7蛋白封闭多肽 | GRK1 Antibody Blocking Peptide |
| 促微管蛋白聚合蛋白家族成员2封闭多肽 | CD209b Antibody Blocking Peptide |
| γ谷氨酰转移酶封闭多肽 | DENND5A Antibody Blocking Peptide |
| B7H6蛋白封闭多肽 | MEPCE Antibody Blocking Peptide |
| 9号染色体开放阅读框62封闭多肽 | 20号染色体开放阅读框11封闭多肽 |
| 磷酸化相关死亡促进因子封闭多肽 | C9orf62 Antibody Blocking Peptide |
| RAN结合蛋白6封闭多肽 | NCR3LG1 Antibody Blocking Peptide |
| CD209b封闭多肽 | GGT1 Antibody Blocking Peptide |
| G蛋白偶合受体激酶1封闭多肽 | TP2 Antibody Blocking Peptide |
| DENND5A蛋白封闭多肽 | L-R4W2FbxL7 Antibody Blocking Peptide |
| MEPCE蛋白封闭多肽 | RNMT Antibody Blocking Peptide |
| phospho-ANTXR1 (Tyr382) Antibody Blocking Peptide | SPN Antibody Blocking Peptide |
1.本蛋白酶抑制剂混合物为100×的储存液,使用时按照1:100的比例加入到裂解液中(例如,1ml裂解液中加入10μl蛋白酶抑制剂混合物),混匀后即可使用。根据需要,0.5M的EDTA也按照1:100的比例加入到裂解液中(如用于检测金属蛋白酶活性,则不宜添加EDTA)。含有蛋白酶抑制剂混合物的裂解液宜现用现配,不宜配制后冻存待后续使用。
2. 待所需的抑制剂添加完毕混匀后,就可以开始进行哺乳动物组织的裂解和蛋白提取。
风险提示:丁香通仅作为第三方平台,为商家信息发布提供平台空间。用户咨询产品时请注意保护个人信息及财产安全,合理判断,谨慎选购商品,商家和用户对交易行为负责。对于医疗器械类产品,请先查证核实企业经营资质和医疗器械产品注册证情况。
技术资料暂无技术资料 索取技术资料
L-R4W2
¥600 - 3200








