相关产品推荐更多 >
万千商家帮你免费找货
0 人在求购买到急需产品
- 详细信息
- 技术资料
- 库存:
23
- 英文名:
RN-9893 (hydrochloride)
- CAS号:
2109450-40-8
- 供应商:
上海莼试
- 保存条件:
Store at -20°C
- 规格:
1mg 5mg
产品描述:
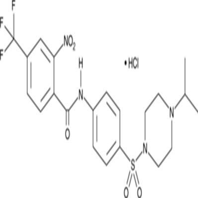
分子式:C21H23F3N4O5S.HCl

分子量:537
溶解度:Soluble in DMSO
储存条件:Store at -20°C
General tips:For obtaining a higher solubility , please warm the tube at 37 ℃ and shake it in the ultrasonic bath for a while.
Shipping Condition:Evaluation sample solution : ship with blue ice All other available size: ship with RT , or blue ice upon request
RN-9893 is an antagonist of transient receptor potential vanilloid 4 (TRPV4; IC50s = 0.42 and 0.66 μM, respectively, for the human and rat receptors).1 It is selective for TRPV4 over TRPV1, TRPV3, and TRPM8 (IC50s = 10, >30, and 30 μM, respectively). RN-9893 reduces rat TRPV4 activity induced by 4α-phorbol 12,13-didecanoate or hypotonicity (IC50s = 0.57 and 2.1 μM, respectively, in cell free assays).|1. Wei, Z.L., Nguyen, M.T., O'Mahony, D.J., et al. Identification of orally-bioavailable antagonists of the TRPV4 ion-channel. Bioorg. Med. Chem. Lett. 25(18), 4011-4015 (2015).
商品属性:
注意事项:
抗逆滴加序列
每次向板内滴加抗原时,移液器滴头要与平面45度悬空,不要触碰到孔内的液体,由后向前依次滴加(即浓度由低往高滴加)。
抗感染反应期
抗原抗体在室温20~25℃下,必须反应30min以上,若环境温度低于室温,可将微量反应板置于恒温培养箱中,使二者充分反应。
旅游温度
磷酸盐缓冲液的pH值要在高压灭菌后进行滴定,往往在高压后pH值会有所改变,所以高压后再调一次pH值更为准确。磷酸盐缓冲液一经使用保存期不要超过3周。当pH<5.8时,红细胞会产生自凝现象;当pH>7.8时,图形洗脱加快,易造成肉眼观察产生误差;p H=7.2时,红细胞沉降最充分,图形最清晰。
当滴注 1%红细胞悬液时,应经常摇晃红细胞悬液,使红细胞均匀地分布在磷酸缓冲液中,以防止红细胞下降。
反应时间及温度
加入鸡红血球之后,反应板在室温(20~25℃)静置30~40min,对照孔血球下沉于孔底,即可判定结果。若室温达不到实验要求,需相应调整反应时间。当环境温度低于4℃时,红细胞发生自凝;高于37℃时,会发生反应物分离和红细胞溶血。
公司正在出售的产品:
使用方法:
1.本蛋白酶抑制剂混合物为100×的储存液,使用时按照1:100的比例加入到裂解液中(例如,1ml裂解液中加入10μl蛋白酶抑制剂混合物),混匀后即可使用。根据需要,0.5M的EDTA也按照1:100的比例加入到裂解液中(如用于检测金属蛋白酶活性,则不宜添加EDTA)。含有蛋白酶抑制剂混合物的裂解液宜现用现配,不宜配制后冻存待后续使用。
2. 待所需的抑制剂添加完毕混匀后,就可以开始进行哺乳动物组织的裂解和蛋白提取。
分子式:C21H23F3N4O5S.HCl

分子量:537
溶解度:Soluble in DMSO
储存条件:Store at -20°C
General tips:For obtaining a higher solubility , please warm the tube at 37 ℃ and shake it in the ultrasonic bath for a while.
Shipping Condition:Evaluation sample solution : ship with blue ice All other available size: ship with RT , or blue ice upon request
RN-9893 is an antagonist of transient receptor potential vanilloid 4 (TRPV4; IC50s = 0.42 and 0.66 μM, respectively, for the human and rat receptors).1 It is selective for TRPV4 over TRPV1, TRPV3, and TRPM8 (IC50s = 10, >30, and 30 μM, respectively). RN-9893 reduces rat TRPV4 activity induced by 4α-phorbol 12,13-didecanoate or hypotonicity (IC50s = 0.57 and 2.1 μM, respectively, in cell free assays).|1. Wei, Z.L., Nguyen, M.T., O'Mahony, D.J., et al. Identification of orally-bioavailable antagonists of the TRPV4 ion-channel. Bioorg. Med. Chem. Lett. 25(18), 4011-4015 (2015).
商品属性:
| 货号 | CS-01Y75069 | 规格 | 1mg 5mg |
| CAS号 | 2109450-40-8 | 分子量 | 537 |
| 含量 | >98.00% | 别名 | N/A |
| 分子式 | C21H23F3N4O5S.HCl | 化学名 | N/A |
| 产地 | 国产 | 用途 | 仅供科研研究实验 |
抗逆滴加序列
每次向板内滴加抗原时,移液器滴头要与平面45度悬空,不要触碰到孔内的液体,由后向前依次滴加(即浓度由低往高滴加)。
抗感染反应期
抗原抗体在室温20~25℃下,必须反应30min以上,若环境温度低于室温,可将微量反应板置于恒温培养箱中,使二者充分反应。
旅游温度
磷酸盐缓冲液的pH值要在高压灭菌后进行滴定,往往在高压后pH值会有所改变,所以高压后再调一次pH值更为准确。磷酸盐缓冲液一经使用保存期不要超过3周。当pH<5.8时,红细胞会产生自凝现象;当pH>7.8时,图形洗脱加快,易造成肉眼观察产生误差;p H=7.2时,红细胞沉降最充分,图形最清晰。
当滴注 1%红细胞悬液时,应经常摇晃红细胞悬液,使红细胞均匀地分布在磷酸缓冲液中,以防止红细胞下降。
反应时间及温度
加入鸡红血球之后,反应板在室温(20~25℃)静置30~40min,对照孔血球下沉于孔底,即可判定结果。若室温达不到实验要求,需相应调整反应时间。当环境温度低于4℃时,红细胞发生自凝;高于37℃时,会发生反应物分离和红细胞溶血。
公司正在出售的产品:
| Recombnant Hydra attenuata P5 proten ,N- H Tag | 神经视网膜特定亮氨酸拉链蛋白封闭多肽 |
| 微小染色体维持缺陷蛋白8封闭多肽 | P4HTM Antibody Blocking Peptide |
| FUT11蛋白封闭多肽 | FJX1 Antibody Blocking Peptide |
| 磷酸化雌激素受体ER alpha 封闭多肽 | HOXA3 Antibody Blocking Peptide |
| 重组人IL-13蛋白 | IMMT Antibody Blocking Peptide |
| DNAJC4蛋白封闭多肽 | PKD2 Antibody Blocking Peptide |
| 巨噬细胞炎症因子1α封闭多肽 | SDF4 Antibody Blocking Peptide |
| 磷酸化死亡相关蛋白激酶1封闭多肽 | 磷酸化受体酪氨酸激酶封闭多肽 |
| 缺氧诱导因子脯氨酰4羟化酶封闭多肽 | phospho-DAP Kinase 1 (Ser308) Antibody Blocking Peptide |
| 四连接同源蛋白FJX1封闭多肽 | CCL3 Antibody Blocking Peptide |
| 线粒体内膜蛋白封闭多肽 | DNAJC4 Antibody Blocking Peptide |
| 同源盒基因HOXA3蛋白封闭多肽 | Recombinant human IL-13 protein, N-His-Avi (HEK293) |
| 多囊肾蛋白2封闭多肽 | RN-9893 (hydrochloride)phospho-ESR1 (p-Ser167) Antibody Blocking Peptide |
| 基质细胞衍生因子4封闭多肽(钙结合蛋白) | FUT11 Antibody Blocking Peptide |
| NRL Antibody Blocking Peptide | MCM8 Antibody Blocking Peptide |
1.本蛋白酶抑制剂混合物为100×的储存液,使用时按照1:100的比例加入到裂解液中(例如,1ml裂解液中加入10μl蛋白酶抑制剂混合物),混匀后即可使用。根据需要,0.5M的EDTA也按照1:100的比例加入到裂解液中(如用于检测金属蛋白酶活性,则不宜添加EDTA)。含有蛋白酶抑制剂混合物的裂解液宜现用现配,不宜配制后冻存待后续使用。
2. 待所需的抑制剂添加完毕混匀后,就可以开始进行哺乳动物组织的裂解和蛋白提取。
风险提示:丁香通仅作为第三方平台,为商家信息发布提供平台空间。用户咨询产品时请注意保护个人信息及财产安全,合理判断,谨慎选购商品,商家和用户对交易行为负责。对于医疗器械类产品,请先查证核实企业经营资质和医疗器械产品注册证情况。
技术资料暂无技术资料 索取技术资料
RN-9893 (hydrochloride)
¥600 - 3200








