万千商家帮你免费找货
0 人在求购买到急需产品
- 详细信息
- 文献和实验
- 技术资料
- 库存:
53
- 英文名:
Naspm trihydrochloride
- CAS号:
1049731-36-3
- 供应商:
上海莼试
- 保存条件:
Store at -20°C
- 规格:
10mg
商品属性:
产品描述:
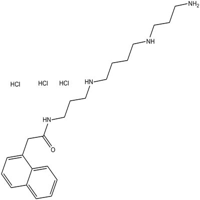
分子式:C22H34N4O.3HCl

分子量:479.91
溶解度:DMSO: 1.7 mg/mL,PBS (pH 7.2): 10 mg/mL
储存条件:Store at -20°C
General tips:For obtaining a higher solubility , please warm the tube at 37 ℃ and shake it in the ultrasonic bath for a while.
Shipping Condition:Evaluation sample solution : ship with blue ice All other available size: ship with RT , or blue ice upon request
Naspm trihydrochloride (1-Naphthylacetyl spermine trihydrochloride), a synthetic analogue of Joro spider toxin, is a calcium permeable AMPA (CP-AMPA) receptors antagonist.NASPM selectively suppresses the inwardly rectifying and Ca2+-permeable AMPA receptors expressed in type II neurons. It has no effect on AMPA receptors in type I neurons. At -60 mV, NASPM suppresses AMPA receptors in type II neurons with an IC50 value of 0.33 µM. The blocking effect of NASPM on the Ca2+-permeable AMPA receptors is use and voltage-dependent[1].
注意事项:
抗逆滴加序列
每次向板内滴加抗原时,移液器滴头要与平面45度悬空,不要触碰到孔内的液体,由后向前依次滴加(即浓度由低往高滴加)。
抗感染反应期
抗原抗体在室温20~25℃下,必须反应30min以上,若环境温度低于室温,可将微量反应板置于恒温培养箱中,使二者充分反应。
旅游温度
磷酸盐缓冲液的pH值要在高压灭菌后进行滴定,往往在高压后pH值会有所改变,所以高压后再调一次pH值更为准确。磷酸盐缓冲液一经使用保存期不要超过3周。当pH<5.8时,红细胞会产生自凝现象;当pH>7.8时,图形洗脱加快,易造成肉眼观察产生误差;p H=7.2时,红细胞沉降最充分,图形最清晰。
当滴注 1%红细胞悬液时,应经常摇晃红细胞悬液,使红细胞均匀地分布在磷酸缓冲液中,以防止红细胞下降。
反应时间及温度
加入鸡红血球之后,反应板在室温(20~25℃)静置30~40min,对照孔血球下沉于孔底,即可判定结果。若室温达不到实验要求,需相应调整反应时间。当环境温度低于4℃时,红细胞发生自凝;高于37℃时,会发生反应物分离和红细胞溶血。
使用方法:
1.本蛋白酶抑制剂混合物为100×的储存液,使用时按照1:100的比例加入到裂解液中(例如,1ml裂解液中加入10μl蛋白酶抑制剂混合物),混匀后即可使用。根据需要,0.5M的EDTA也按照1:100的比例加入到裂解液中(如用于检测金属蛋白酶活性,则不宜添加EDTA)。含有蛋白酶抑制剂混合物的裂解液宜现用现配,不宜配制后冻存待后续使用。
2. 待所需的抑制剂添加完毕混匀后,就可以开始进行哺乳动物组织的裂解和蛋白提取。
公司正在出售的产品:
| 货号 | CS-01Y74069 | 规格 | 10mg |
| CAS号 | 1049731-36-3 | 分子量 | 479.91 |
| 含量 | >98.00% | 别名 | |
| 分子式 | C22H34N4O.3HCl | 化学名 | N-(3-((4-((3-aminopropyl)amino)butyl)amino)propyl)-2-(naphthalen-1-yl)acetamide trihydrochloride |
| 产地 | 国产 | 用途 | 仅供科研研究实验 |
分子式:C22H34N4O.3HCl

分子量:479.91
溶解度:DMSO: 1.7 mg/mL,PBS (pH 7.2): 10 mg/mL
储存条件:Store at -20°C
General tips:For obtaining a higher solubility , please warm the tube at 37 ℃ and shake it in the ultrasonic bath for a while.
Shipping Condition:Evaluation sample solution : ship with blue ice All other available size: ship with RT , or blue ice upon request
Naspm trihydrochloride (1-Naphthylacetyl spermine trihydrochloride), a synthetic analogue of Joro spider toxin, is a calcium permeable AMPA (CP-AMPA) receptors antagonist.NASPM selectively suppresses the inwardly rectifying and Ca2+-permeable AMPA receptors expressed in type II neurons. It has no effect on AMPA receptors in type I neurons. At -60 mV, NASPM suppresses AMPA receptors in type II neurons with an IC50 value of 0.33 µM. The blocking effect of NASPM on the Ca2+-permeable AMPA receptors is use and voltage-dependent[1].
注意事项:
抗逆滴加序列
每次向板内滴加抗原时,移液器滴头要与平面45度悬空,不要触碰到孔内的液体,由后向前依次滴加(即浓度由低往高滴加)。
抗感染反应期
抗原抗体在室温20~25℃下,必须反应30min以上,若环境温度低于室温,可将微量反应板置于恒温培养箱中,使二者充分反应。
旅游温度
磷酸盐缓冲液的pH值要在高压灭菌后进行滴定,往往在高压后pH值会有所改变,所以高压后再调一次pH值更为准确。磷酸盐缓冲液一经使用保存期不要超过3周。当pH<5.8时,红细胞会产生自凝现象;当pH>7.8时,图形洗脱加快,易造成肉眼观察产生误差;p H=7.2时,红细胞沉降最充分,图形最清晰。
当滴注 1%红细胞悬液时,应经常摇晃红细胞悬液,使红细胞均匀地分布在磷酸缓冲液中,以防止红细胞下降。
反应时间及温度
加入鸡红血球之后,反应板在室温(20~25℃)静置30~40min,对照孔血球下沉于孔底,即可判定结果。若室温达不到实验要求,需相应调整反应时间。当环境温度低于4℃时,红细胞发生自凝;高于37℃时,会发生反应物分离和红细胞溶血。
使用方法:
1.本蛋白酶抑制剂混合物为100×的储存液,使用时按照1:100的比例加入到裂解液中(例如,1ml裂解液中加入10μl蛋白酶抑制剂混合物),混匀后即可使用。根据需要,0.5M的EDTA也按照1:100的比例加入到裂解液中(如用于检测金属蛋白酶活性,则不宜添加EDTA)。含有蛋白酶抑制剂混合物的裂解液宜现用现配,不宜配制后冻存待后续使用。
2. 待所需的抑制剂添加完毕混匀后,就可以开始进行哺乳动物组织的裂解和蛋白提取。
公司正在出售的产品:
| Recombnant Human DDAH2 proten | DUT Antibody Blocking Peptide |
| Recombinant Human PRPSAP2 | Recombinant Human GLIPR1 protein ,C- His Tag |
| PREX1 Antibody Blocking Peptide | Recombinant Human Annexin A1 protein ,No Tag |
| CBP Tag Peptide | Recombinant HIV-2 env/Env polyprotein/gp36, N-His |
| OPRK1 Antibody Blocking Peptide | Recombinant Human TMEM173 protein , N- His Tag |
| CEP70 Antibody Blocking Peptide | Recombinant Human TNFRSF10B protein |
| ZNF763 Antibody Blocking Peptide | Recombinant Human BTC protein , N- His Tag |
| MRP-L9 Antibody Blocking Peptide | alpha 1肾上能受体B封闭多肽 |
| PLAT Antibody Blocking Peptide | Recombinant Human CD94/KLRD1, N-His |
| COBL Antibody Blocking Peptide | Recombinant Human PKP2 protein |
| PXDC1 Antibody Blocking Peptide | Recombinant Human CFI protein |
| CDK5 Antibody Blocking Peptide | Recombinant Human RARB protein |
| PACSIN3 Antibody Blocking Peptide | Naspm trihydrochlorideRecombinant Human PTH protein ,C- His Tag |
| KCNMB4 Antibody Blocking Peptide | Recombinant Human MMP9, N-His |
| CXCL16 Antibody Blocking Peptide | Recombinant Human BCAT1, N-His |
风险提示:丁香通仅作为第三方平台,为商家信息发布提供平台空间。用户咨询产品时请注意保护个人信息及财产安全,合理判断,谨慎选购商品,商家和用户对交易行为负责。对于医疗器械类产品,请先查证核实企业经营资质和医疗器械产品注册证情况。
文献和实验相关实验
常用化学试剂分子量 Molecular Weights of Commonly Used Chemicals
EDTA, disodium salt 372.24 Sodium Phosphate, dibasic 142.0 Ficoll type 400 400,000 Spermidine, trihydrochloride 254.6 Glucose 180.2
技术资料暂无技术资料 索取技术资料
Naspm trihydrochloride
¥600 - 3200









