万千商家帮你免费找货
0 人在求购买到急需产品
- 详细信息
- 技术资料
- 库存:
37
- 英文名:
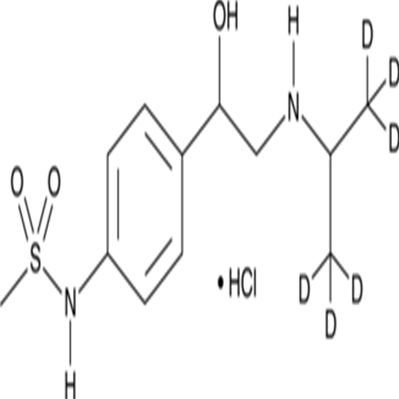
Sotalol-d6 (hydrochloride)
- CAS号:
1246820-85-8
- 供应商:
上海莼试
- 保存条件:
Store at -20°C
- 规格:
1mg
产品描述:
分子式:C12H14D6N2O3S.HCl

分子量:314.9
溶解度:DMSO: soluble,Methanol: soluble,Water: soluble
储存条件:Store at -20°C
General tips:For obtaining a higher solubility , please warm the tube at 37 ℃ and shake it in the ultrasonic bath for a while.
Shipping Condition:Evaluation sample solution : ship with blue ice All other available size: ship with RT , or blue ice upon request
Sotalol-d6 is intended for use as an internal standard for the quantification of sotalol by GC- or LC-MS. Sotalol is a non-selective antagonist of β-adrenergic receptors (ARs) that inhibits β1-, β2-, and β3-ARs with IC50 values ranging from 0.1 to 8.9 μM.1,2,3 Through its effects on β2-ARs, sotalol also blocks outward potassium currents in myocardium, exhibiting Class III antiarrhythmic actions.4,5|1. Tsuchihashi, H., Nakashima, Y., Kinami, J., et al. Characteristics of 125I-iodocyanopindolol binding to β-adrenergic and serotonin-1B receptors of rat brain: Selectivity of β-adrenergic agents. Jpn. J. Pharmacol. 52(2), 195-200 (1990).|2. Lis, R., Morgan, T.K., Jr., Marisca, A.J., et al. Synthesis of novel (aryloxy) propanolamines and related compounds possessing both class II and class III antiarrhythmic activity. J. Med. Chem 33(10), 2883-2891 (1990).|3. Baker, J.G. The selectivity of β-adrenoceptor antagonists at the human β1, β2 and β3 adrenoceptors. Br. J. Pharmacol. 144(3), 317-322 (2005).|4. Campbell, T.J., and Williams, K.M. Therapeutic drug monitoring: Antiarrhythmic drugs. Br. J. Clin. Pharmacol. 52, 307-319 (1998).|5. Khairy, P., and Nattel, S. New insights into the mechanisms and management of atrial fibrillation. Can. Med. Assoc. .J. 167(9), 1012-1020 (2002).
商品属性:
注意事项:
抗逆滴加序列
每次向板内滴加抗原时,移液器滴头要与平面45度悬空,不要触碰到孔内的液体,由后向前依次滴加(即浓度由低往高滴加)。
抗感染反应期
抗原抗体在室温20~25℃下,必须反应30min以上,若环境温度低于室温,可将微量反应板置于恒温培养箱中,使二者充分反应。
旅游温度
磷酸盐缓冲液的pH值要在高压灭菌后进行滴定,往往在高压后pH值会有所改变,所以高压后再调一次pH值更为准确。磷酸盐缓冲液一经使用保存期不要超过3周。当pH<5.8时,红细胞会产生自凝现象;当pH>7.8时,图形洗脱加快,易造成肉眼观察产生误差;p H=7.2时,红细胞沉降最充分,图形最清晰。
当滴注 1%红细胞悬液时,应经常摇晃红细胞悬液,使红细胞均匀地分布在磷酸缓冲液中,以防止红细胞下降。
反应时间及温度
加入鸡红血球之后,反应板在室温(20~25℃)静置30~40min,对照孔血球下沉于孔底,即可判定结果。若室温达不到实验要求,需相应调整反应时间。当环境温度低于4℃时,红细胞发生自凝;高于37℃时,会发生反应物分离和红细胞溶血。
公司正在出售的产品:
使用方法:
1.本蛋白酶抑制剂混合物为100×的储存液,使用时按照1:100的比例加入到裂解液中(例如,1ml裂解液中加入10μl蛋白酶抑制剂混合物),混匀后即可使用。根据需要,0.5M的EDTA也按照1:100的比例加入到裂解液中(如用于检测金属蛋白酶活性,则不宜添加EDTA)。含有蛋白酶抑制剂混合物的裂解液宜现用现配,不宜配制后冻存待后续使用。
2. 待所需的抑制剂添加完毕混匀后,就可以开始进行哺乳动物组织的裂解和蛋白提取。
分子式:C12H14D6N2O3S.HCl

分子量:314.9
溶解度:DMSO: soluble,Methanol: soluble,Water: soluble
储存条件:Store at -20°C
General tips:For obtaining a higher solubility , please warm the tube at 37 ℃ and shake it in the ultrasonic bath for a while.
Shipping Condition:Evaluation sample solution : ship with blue ice All other available size: ship with RT , or blue ice upon request
Sotalol-d6 is intended for use as an internal standard for the quantification of sotalol by GC- or LC-MS. Sotalol is a non-selective antagonist of β-adrenergic receptors (ARs) that inhibits β1-, β2-, and β3-ARs with IC50 values ranging from 0.1 to 8.9 μM.1,2,3 Through its effects on β2-ARs, sotalol also blocks outward potassium currents in myocardium, exhibiting Class III antiarrhythmic actions.4,5|1. Tsuchihashi, H., Nakashima, Y., Kinami, J., et al. Characteristics of 125I-iodocyanopindolol binding to β-adrenergic and serotonin-1B receptors of rat brain: Selectivity of β-adrenergic agents. Jpn. J. Pharmacol. 52(2), 195-200 (1990).|2. Lis, R., Morgan, T.K., Jr., Marisca, A.J., et al. Synthesis of novel (aryloxy) propanolamines and related compounds possessing both class II and class III antiarrhythmic activity. J. Med. Chem 33(10), 2883-2891 (1990).|3. Baker, J.G. The selectivity of β-adrenoceptor antagonists at the human β1, β2 and β3 adrenoceptors. Br. J. Pharmacol. 144(3), 317-322 (2005).|4. Campbell, T.J., and Williams, K.M. Therapeutic drug monitoring: Antiarrhythmic drugs. Br. J. Clin. Pharmacol. 52, 307-319 (1998).|5. Khairy, P., and Nattel, S. New insights into the mechanisms and management of atrial fibrillation. Can. Med. Assoc. .J. 167(9), 1012-1020 (2002).
商品属性:
| 货号 | CS-01Y75372 | 规格 | 1mg |
| CAS号 | 1246820-85-8 | 分子量 | 314.9 |
| 含量 | >99.00% | 别名 | N/A |
| 分子式 | C12H14D6N2O3S.HCl | 化学名 | N/A |
| 产地 | 国产 | 用途 | 仅供科研研究实验 |
抗逆滴加序列
每次向板内滴加抗原时,移液器滴头要与平面45度悬空,不要触碰到孔内的液体,由后向前依次滴加(即浓度由低往高滴加)。
抗感染反应期
抗原抗体在室温20~25℃下,必须反应30min以上,若环境温度低于室温,可将微量反应板置于恒温培养箱中,使二者充分反应。
旅游温度
磷酸盐缓冲液的pH值要在高压灭菌后进行滴定,往往在高压后pH值会有所改变,所以高压后再调一次pH值更为准确。磷酸盐缓冲液一经使用保存期不要超过3周。当pH<5.8时,红细胞会产生自凝现象;当pH>7.8时,图形洗脱加快,易造成肉眼观察产生误差;p H=7.2时,红细胞沉降最充分,图形最清晰。
当滴注 1%红细胞悬液时,应经常摇晃红细胞悬液,使红细胞均匀地分布在磷酸缓冲液中,以防止红细胞下降。
反应时间及温度
加入鸡红血球之后,反应板在室温(20~25℃)静置30~40min,对照孔血球下沉于孔底,即可判定结果。若室温达不到实验要求,需相应调整反应时间。当环境温度低于4℃时,红细胞发生自凝;高于37℃时,会发生反应物分离和红细胞溶血。
公司正在出售的产品:
| Recombnant Human FP1, N-GT | SH3BGR Antibody Blocking Peptide |
| Recombinant Human Prostaglandin D Synthase hematopoietic | Recombinant Human SELENOW, N-His |
| PCV2 cap (1-42) Peptide | Recombinant Human IL6ST protein |
| Phospho-FLT3 (Tyr969) Antibody Blocking Peptide | Recombinant Human COL6A3, N-His |
| GRAMD1C Antibody Blocking Peptide | Recombinant Human ROR1 protein |
| Caspase-9 subunit p35 Antibody Blocking Peptide | Recombinant Human FCGR3A protein |
| ABCD3 Antibody Blocking Peptide | Recombinant Human MT2A protein |
| CPOX Antibody Blocking Peptide | G蛋白偶联受体146封闭多肽 |
| Alginic acid conjugated BSA | Recombinant Human ADAM9 protein |
| Recombinant SARS-Cov-2 Spike RBD protein (Y453F), His | Recombinant Human KTN1, N-His |
| CR2 Antibody Blocking Peptide | Recombinant Infectious bronchitis spike glycoprotein protein,C-His Tag |
| CPSF4L Antibody Blocking Peptide | Recombinant Human TAGLN protein |
| RAB40C Antibody Blocking Peptide | Sotalol-d6 (hydrochloride)Recombinant Human CD85k/LILRB4/ILT3, C-His |
| Lysosomal acid lipase Antibody Blocking Peptide | Recombinant Human NDNF, N-GST |
| PROZ Antibody Blocking Peptide | Recombinant Human KLKB1 protein ,C- His Tag |
1.本蛋白酶抑制剂混合物为100×的储存液,使用时按照1:100的比例加入到裂解液中(例如,1ml裂解液中加入10μl蛋白酶抑制剂混合物),混匀后即可使用。根据需要,0.5M的EDTA也按照1:100的比例加入到裂解液中(如用于检测金属蛋白酶活性,则不宜添加EDTA)。含有蛋白酶抑制剂混合物的裂解液宜现用现配,不宜配制后冻存待后续使用。
2. 待所需的抑制剂添加完毕混匀后,就可以开始进行哺乳动物组织的裂解和蛋白提取。
风险提示:丁香通仅作为第三方平台,为商家信息发布提供平台空间。用户咨询产品时请注意保护个人信息及财产安全,合理判断,谨慎选购商品,商家和用户对交易行为负责。对于医疗器械类产品,请先查证核实企业经营资质和医疗器械产品注册证情况。
技术资料暂无技术资料 索取技术资料
Sotalol-d6 (hydrochloride)
¥600 - 3200








