相关产品推荐更多 >
万千商家帮你免费找货
0 人在求购买到急需产品
- 详细信息
- 技术资料
- 库存:
44
- 英文名:
CAY10448
- CAS号:
1177195-52-6
- 供应商:
上海莼试
- 保存条件:
Store at -20°C
- 规格:
1mg 5mg 10mg 50mg
使用方法:
1.本蛋白酶抑制剂混合物为100×的储存液,使用时按照1:100的比例加入到裂解液中(例如,1ml裂解液中加入10μl蛋白酶抑制剂混合物),混匀后即可使用。根据需要,0.5M的EDTA也按照1:100的比例加入到裂解液中(如用于检测金属蛋白酶活性,则不宜添加EDTA)。含有蛋白酶抑制剂混合物的裂解液宜现用现配,不宜配制后冻存待后续使用。
2. 待所需的抑制剂添加完毕混匀后,就可以开始进行哺乳动物组织的裂解和蛋白提取。
商品属性:
产品描述:
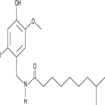
分子式:C18H28INO3

分子量:433.3
溶解度:DMF: 30 mg/ml,DMSO: 30 mg/ml,Ethanol: 30 mg/ml,Ethanol:PBS (pH 7.2)(1:2): .25 mg/ml
储存条件:Store at -20°C
General tips:For obtaining a higher solubility , please warm the tube at 37 ℃ and shake it in the ultrasonic bath for a while.
Shipping Condition:Evaluation sample solution : ship with blue ice All other available size: ship with RT , or blue ice upon request
Capsaicin is the primary active component of the heat and pain-eliciting lipid soluble fraction of the Capsicum pepper. Capsaicin signals are transduced by a heat-activated ion channel, the vanilloid receptor 1 (VR1), or transient receptor potential vanilloid 1 (TRPV1). CAY10448 is an iodinated nonivamide, a potent capsaicin receptor antagonist with an IC50 value of approximately 10 nM.
注意事项:
抗逆滴加序列
每次向板内滴加抗原时,移液器滴头要与平面45度悬空,不要触碰到孔内的液体,由后向前依次滴加(即浓度由低往高滴加)。
抗感染反应期
抗原抗体在室温20~25℃下,必须反应30min以上,若环境温度低于室温,可将微量反应板置于恒温培养箱中,使二者充分反应。
旅游温度
磷酸盐缓冲液的pH值要在高压灭菌后进行滴定,往往在高压后pH值会有所改变,所以高压后再调一次pH值更为准确。磷酸盐缓冲液一经使用保存期不要超过3周。当pH<5.8时,红细胞会产生自凝现象;当pH>7.8时,图形洗脱加快,易造成肉眼观察产生误差;p H=7.2时,红细胞沉降最充分,图形最清晰。
当滴注 1%红细胞悬液时,应经常摇晃红细胞悬液,使红细胞均匀地分布在磷酸缓冲液中,以防止红细胞下降。
反应时间及温度
加入鸡红血球之后,反应板在室温(20~25℃)静置30~40min,对照孔血球下沉于孔底,即可判定结果。若室温达不到实验要求,需相应调整反应时间。当环境温度低于4℃时,红细胞发生自凝;高于37℃时,会发生反应物分离和红细胞溶血。
公司正在出售的产品:
1.本蛋白酶抑制剂混合物为100×的储存液,使用时按照1:100的比例加入到裂解液中(例如,1ml裂解液中加入10μl蛋白酶抑制剂混合物),混匀后即可使用。根据需要,0.5M的EDTA也按照1:100的比例加入到裂解液中(如用于检测金属蛋白酶活性,则不宜添加EDTA)。含有蛋白酶抑制剂混合物的裂解液宜现用现配,不宜配制后冻存待后续使用。
2. 待所需的抑制剂添加完毕混匀后,就可以开始进行哺乳动物组织的裂解和蛋白提取。
商品属性:
| 货号 | CS-01Y74606 | 规格 | 1mg 5mg 10mg 50mg |
| CAS号 | 1177195-52-6 | 分子量 | 433.3 |
| 含量 | >98.00% | 别名 | N/A |
| 分子式 | C18H28INO3 | 化学名 | N/A |
| 产地 | 国产 | 用途 | 仅供科研研究实验 |
分子式:C18H28INO3

分子量:433.3
溶解度:DMF: 30 mg/ml,DMSO: 30 mg/ml,Ethanol: 30 mg/ml,Ethanol:PBS (pH 7.2)(1:2): .25 mg/ml
储存条件:Store at -20°C
General tips:For obtaining a higher solubility , please warm the tube at 37 ℃ and shake it in the ultrasonic bath for a while.
Shipping Condition:Evaluation sample solution : ship with blue ice All other available size: ship with RT , or blue ice upon request
Capsaicin is the primary active component of the heat and pain-eliciting lipid soluble fraction of the Capsicum pepper. Capsaicin signals are transduced by a heat-activated ion channel, the vanilloid receptor 1 (VR1), or transient receptor potential vanilloid 1 (TRPV1). CAY10448 is an iodinated nonivamide, a potent capsaicin receptor antagonist with an IC50 value of approximately 10 nM.
注意事项:
抗逆滴加序列
每次向板内滴加抗原时,移液器滴头要与平面45度悬空,不要触碰到孔内的液体,由后向前依次滴加(即浓度由低往高滴加)。
抗感染反应期
抗原抗体在室温20~25℃下,必须反应30min以上,若环境温度低于室温,可将微量反应板置于恒温培养箱中,使二者充分反应。
旅游温度
磷酸盐缓冲液的pH值要在高压灭菌后进行滴定,往往在高压后pH值会有所改变,所以高压后再调一次pH值更为准确。磷酸盐缓冲液一经使用保存期不要超过3周。当pH<5.8时,红细胞会产生自凝现象;当pH>7.8时,图形洗脱加快,易造成肉眼观察产生误差;p H=7.2时,红细胞沉降最充分,图形最清晰。
当滴注 1%红细胞悬液时,应经常摇晃红细胞悬液,使红细胞均匀地分布在磷酸缓冲液中,以防止红细胞下降。
反应时间及温度
加入鸡红血球之后,反应板在室温(20~25℃)静置30~40min,对照孔血球下沉于孔底,即可判定结果。若室温达不到实验要求,需相应调整反应时间。当环境温度低于4℃时,红细胞发生自凝;高于37℃时,会发生反应物分离和红细胞溶血。
公司正在出售的产品:
| Recombnant Human CDK2AP2 proten ,C- H Tag | JAGN1 Antibody Blocking Peptide |
| Recombinant Human PGD | Recombinant Human Rims2 protein |
| Bovine Fibrinogen (from plasma) | Recombinant Agrobacterium sp. aroA/EPSPS protein ,No Tag |
| Melamine/BSA | Recombinant Human CD62P/SELP, C-His |
| FKBP3 Antibody Blocking Peptide | Recombinant Human CASP1 protein ,N- His Tag |
| KLK14 Antibody Blocking Peptide | Recombinant Human COL2A1, N-His |
| SLC16A11 Antibody Blocking Peptide | Recombinant Human Protocadherin-1/PCDH1 protein ,C- His Tag |
| RPLP0 Antibody Blocking Peptide | 人类乳头状瘤31 E7封闭多肽 |
| SCN10A Antibody Blocking Peptide | Recombinant Human ALDH7A1, N-His |
| ARFRP1 Antibody Blocking Peptide | Recombinant Human ATP2C2, N-GST |
| MFN2 Antibody Blocking Peptide | Recombinant Staphyloccus aureus walK protein,N-His Tag |
| MAP1A/Mtap1a Antibody Blocking Peptide | Recombinant Listeria monocytogenes serovar 1/2a lmo1642 protein,C-His Tag |
| CARF Antibody Blocking Peptide | CAY10448Recombinant Human LCN2 protein ,C- His Tag |
| IQSEC2 Antibody Blocking Peptide | Recombinant Human IGFBP2, N-His |
| GDF-8 Antibody Blocking Peptide | Recombinant Human SLC17A5, N-His |
风险提示:丁香通仅作为第三方平台,为商家信息发布提供平台空间。用户咨询产品时请注意保护个人信息及财产安全,合理判断,谨慎选购商品,商家和用户对交易行为负责。对于医疗器械类产品,请先查证核实企业经营资质和医疗器械产品注册证情况。
技术资料暂无技术资料 索取技术资料
CAY10448
¥600 - 3200








