万千商家帮你免费找货
0 人在求购买到急需产品
- 详细信息
- 文献和实验
- 技术资料
- 库存:
43
- 英文名:
UBP 301
- CAS号:
569371-10-4
- 供应商:
上海莼试
- 保存条件:
Store at -20°C
- 规格:
1mg 5mg 10mg
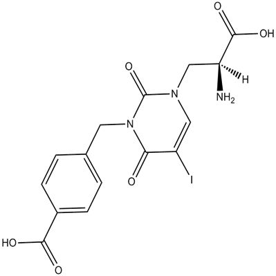
| 产品名称 | UBP 301 | 产品货号 | CS-01Y75230 |
| 规格 | 1mg 5mg 10mg | CAS号 | 569371-10-4 |
| 含量 | >98.00% | 分子式 | C15H14IN3O6 |
| 分子量 | 459.2 | 用途 | 仅供科研研究使用 |

规格:1mg 5mg 10mg
CAS:569371-10-4
别名:
化学名:(S)-4-((3-(2-amino-2-carboxyethyl)-5-iodo-2,6-dioxo-2,3-dihydropyrimidin-1(6H)-yl)methyl)benzoic acid
分子式:C15H14IN3O6

分子量:459.2
溶解度:DMSO: 0.5 mg/ml (w/ gentle warming)
储存条件:Store at -20°C
General tips:For obtaining a higher solubility , please warm the tube at 37 ℃ and shake it in the ultrasonic bath for a while.
Shipping Condition: Evaluation sample solution : ship with blue ice All other available size: ship with RT , or blue ice upon request
使用方法:

1. 常用筛选浓度
注意:用来筛选稳转株的工作浓度需要根据细胞类型,培养基,生长条件和细胞代谢率而变化,推荐使用浓度为50-1000μg/mL。对于第一次使用的实验体系建议通过建立杀灭曲线(kill curve),即剂量反应性曲线,来确定最佳筛选浓度。
一般而言,哺乳动物细胞50-500μg/mL;细菌/植物细胞20-200μg/mL;真菌300-1000μg/mL。
2. 杀灭曲线的建立
注意:为了筛选得到稳定表达目的蛋白的细胞株,需要确定能够杀死未转染宿主细胞的抗生素浓度,可通过建立杀灭曲线(剂量反应曲线)来实现,至少选择5个浓度。
1) 第一天:未转化的细胞按照20-25%的细胞密度铺在合适的培养板上,37℃,CO2培养过夜;注:对于需要更高密度来检测活力的细胞,可增加接种量。
2) 根据细胞类型,设定合适范围内的浓度梯度。以哺乳动物细胞为例,可设定50,100,250,500,750,1000μg/mL。先用去离子水或者PBS buffer按照1:10的比例将母液稀释到5 mg/ml,然后按照下表稀释到相应浓度的工作液。
3) 第二天:替换旧的培养基,换用新鲜配制的含有相应浓度药物的培养基。每个浓度做三个平行孔。
4) 接下来每3-4天更换新的含药物培养基。
5) 按照固定的周期(如每2天)进行活细胞计数来确定阻止未转染细胞生长的恰当浓度。选择在理想的天数(通常是7-10天)内能够杀死绝大多数细胞的浓度为稳定转染细胞筛选用的工作浓度。
3. 稳定转染细胞的筛选
1) 转染48h后,用含有适当浓度的潮霉素B筛选培养基来传代细胞(直接传代或者稀释后传代)。
注意:细胞处于活跃分裂状态时抗生素的杀伤。则当细胞过于稠密,其效率会降低。为了得到较好的筛选效果,最好将细胞稀释至丰度不超过25%
2) 每隔3-4天更换含有药物的筛选培养液。
3) 筛选7天后观察并评估细胞克隆(集落)的形成情况。集落的形成可能还需要一周或者更多的时间,这取决于宿主细胞类型,转染,以及筛选效果。
4) 挑取并转移5-10个抗性克隆于35mm细胞培养板,继续用含药物的筛选培养液维持培养7天。
5) 之后更换正常培养基培养即可。
蛋白酶抑制剂混合物实验步骤:

(1)UBP 301实验开始前将RNA提取液于65℃水浴锅中预热,离心管中加入ME(巯基乙醇),(10mL加80ul,50mL中加入300ul)
(2)取约0.8g菌丝体(液体培养获得的菌丝用真空抽滤即可!固体培养就更好说了),在液氮中迅速磨成精细粉末,装入50mL离心管,按1g材料8mL的量加入预热的RNA提取液,颠倒混匀
(3)65℃水浴3-10 min,期间混匀2-3次
(4)加入等体积的酚(注意是酸酚pH4.5)::yi戊醇(25:24:1)抽提(10,000rpm,4℃,5 min)
(5)取上清,等体积的yi戊醇(24:1)抽提(10,000rpm,4℃,5 min)
(6)加入1/4V体积10M LiCl溶液,4℃放置6h以上(或过夜)
(7)10,000rpm,4℃离心20min
(8)弃上清,用500ul SSTE溶解沉淀
(9)酚::yi戊醇(25:24:1)抽提两次,:yi戊醇(24:1)抽提1次(10,000rpm,4℃,5min)
(10)加2V体积的无水乙醇,在-70℃冰箱沉淀30min以上
(11)12,000rpm,4℃离心20 min
(12)弃上清.沉淀用70%酒精漂洗一次,干燥
(13)加200ul的DEPC处理水溶解
(14)用非变性琼脂糖凝胶电泳和紫外分光光度计扫描检测RNA的质量(在抽提过程中,若蛋白质含量或其它的杂质还较多,可以增加抽提次数)
公司正在出售的产品:

| Recombnant Human MLN, C-H | GPCR GPR126 Antibody Blocking Peptide |
| Recombinant Human OTUD6B | Recombinant SA/Streptavidin Protein, N-His |
| MAK3/C14orf35 Antibody Blocking Peptide | Recombinant Human SDF2 protein |
| TKTL1 Antibody Blocking Peptide | Recombinant Human ALOX5 protein,Fc Tag |
| Phospho-PTK2 (Tyr861) Antibody Blocking Peptide | Recombinant Brassica napus Acetolactate synthase 3, chloroplastic protein ,C-His Tag |
| MOBK1B/C2orf6 Antibody Blocking Peptide | Recombinant Human NPM1, N-His |
| echidnotoxin Antibody Blocking Peptide | Recombinant Human ADD3, N-His |
| KHSRP Antibody Blocking Peptide | 核仁磷酸蛋白2封闭多肽 |
| STON1 Antibody Blocking Peptide | Recombinant Human SAA4, N-GST |
| NuMA Antibody Blocking Peptide | Recombinant Human ERBB3/HER3, C-Fc |
| UBA2 Antibody Blocking Peptide | Recombinant Human CST6, N-His |
| RAB32 Antibody Blocking Peptide | Recombinant Human KLK6, N-His |
| NMU Antibody Blocking Peptide | UBP 301Recombinant Human PLA2G4A protein |
| HECTD4 Antibody Blocking Peptide | Recombinant Human ADH1A, N-His |
| PCDHB6 Antibody Blocking Peptide | Recombinant Human NCOA3 protein |
风险提示:丁香通仅作为第三方平台,为商家信息发布提供平台空间。用户咨询产品时请注意保护个人信息及财产安全,合理判断,谨慎选购商品,商家和用户对交易行为负责。对于医疗器械类产品,请先查证核实企业经营资质和医疗器械产品注册证情况。
文献和实验网络 幽门螺杆菌阳性十二指肠溃疡301例的治疗 十二指肠球部溃疡(duaodenal Ulcer DU)是临床常见病,目前的研究证实,人群中的幽门螺杆菌(Helicobacter pylori,Hp)感染与DU密切相关,作者旨在通过药物治疗的临床病例,探讨一种适合临床应用的根除Hp的治疗方法。 1 对象和方法 1.1 对象
gcccggaagc ccatttccat catcgacctc atcgtggttg tagcctctat ggttgtcctc241 tgtgtgggtt ccaaagggca agtgttcgcc acatcagcta tcaggggtat ccgcttcctt301 caaatcctgc ggatgctgca tgttgatcgc cagggaggta cctggaggct cctgggctct361 gtattcttca ttcaccgcca ggagctgatc accaccctgt
的 Tau 蛋白单体并不自然存在于正常神经细胞中,并且 Tau 蛋白比较分散的位于轴突当中,浓度较低,不利于快速聚集形成纤维缠结。有多方研究表明,突变的 Tau 蛋白 PFFs 催化聚集过程要比野生型 Tau 快很多,而突变型全长 Tau PFFs 的催化聚集能力又比截短的 Tau PFFs 要有效一点。为了克服 Tau 蛋白聚集沉积过程慢的难题,StressMarq 推出四种活性 Tau 蛋白,可以加速 Tau 纤维缠结的形成。其中 P301S 是指在外显子 10 上发生的突变,该突变型 Tau
技术资料暂无技术资料 索取技术资料









