相关产品推荐更多 >
万千商家帮你免费找货
0 人在求购买到急需产品
- 详细信息
- 技术资料
- 库存:
29
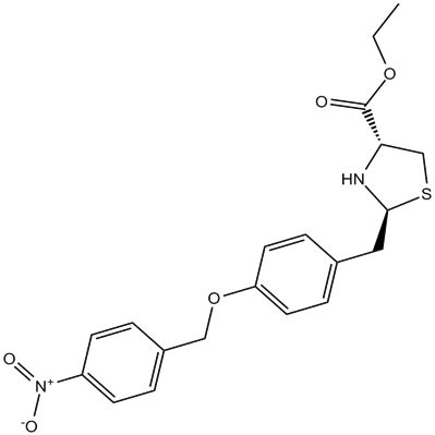
- 英文名:
SN-6
- CAS号:
415697-08-4
- 供应商:
上海莼试
- 保存条件:
Store at -20°C
- 规格:
50mg
商品属性:
产品描述:
分子式:C20H22N2O5S

分子量:402.16
溶解度:Soluble in DMSO
储存条件:Store at -20°C
General tips:For obtaining a higher solubility , please warm the tube at 37 ℃ and shake it in the ultrasonic bath for a while.
Shipping Condition:Evaluation sample solution : ship with blue ice All other available size: ship with RT , or blue ice upon request
SN 6 is a selective Na+/Ca2+ exchanger (NCX) inhibitor, and inhibits 45Ca2+ uptake by NCX1, NCX2, and NCX3, with IC50s of 2.9, 16, and 8.6 μM, respectively.SN 6 is a selective Na+/Ca2+ exchanger inhibitor, which inhibits the initial rate of 45Ca2+ uptake into NCX1, NCX2, and NCX3 transfectants with IC50 values of 2.9 ± 0.12, 16 ± 1.1, and 8.6 ± 0.27 μM. SN 6 (up to 30 μM) also less potently inhibits muscarinic acetylcholine receptor, with a higher IC50 of 18 μM. SN 6 (0.3-30 μM) completely inhibits the initial rate of Na+i-dependent 45Ca2+ uptake into Na+-loaded sarcolemmal vesicles in a dose dependent manner (IC50, 5.3 ± 0.37 μM). SN 6 (0.3-10 μM) dose-dependently protects against the hypoxia/reoxygenation-induced LDH release in parental LLC-PK1 cells and NCX1 transfectants but not in K229Q transfectants[1]. SN 6 (1-30 μM) suppresses the bidirectional outward and inward INCX in a concentration-dependent manner, with IC50 values of 2.3 μM and 1.9 μM, respectively. SN 6 also inhibits bidirectional current (INCX) in a [Na+]i concentration-dependent manner, with IC50 values of 3.4 μM, 2.3 μM, and 1.1 μM at 10 mM, 20 mM, and 30 mM [Na+]i, respectively[2]. SN 6 inhibits hypoxia/reoxygenation-induced LDH release with an IC50 value of 0.63 ± 0.15 μM in NCX1 transfectants[3].
注意事项:
抗逆滴加序列
每次向板内滴加抗原时,移液器滴头要与平面45度悬空,不要触碰到孔内的液体,由后向前依次滴加(即浓度由低往高滴加)。
抗感染反应期
抗原抗体在室温20~25℃下,必须反应30min以上,若环境温度低于室温,可将微量反应板置于恒温培养箱中,使二者充分反应。
旅游温度
磷酸盐缓冲液的pH值要在高压灭菌后进行滴定,往往在高压后pH值会有所改变,所以高压后再调一次pH值更为准确。磷酸盐缓冲液一经使用保存期不要超过3周。当pH<5.8时,红细胞会产生自凝现象;当pH>7.8时,图形洗脱加快,易造成肉眼观察产生误差;p H=7.2时,红细胞沉降最充分,图形最清晰。
当滴注 1%红细胞悬液时,应经常摇晃红细胞悬液,使红细胞均匀地分布在磷酸缓冲液中,以防止红细胞下降。
反应时间及温度
加入鸡红血球之后,反应板在室温(20~25℃)静置30~40min,对照孔血球下沉于孔底,即可判定结果。若室温达不到实验要求,需相应调整反应时间。当环境温度低于4℃时,红细胞发生自凝;高于37℃时,会发生反应物分离和红细胞溶血。
使用方法:
1.本蛋白酶抑制剂混合物为100×的储存液,使用时按照1:100的比例加入到裂解液中(例如,1ml裂解液中加入10μl蛋白酶抑制剂混合物),混匀后即可使用。根据需要,0.5M的EDTA也按照1:100的比例加入到裂解液中(如用于检测金属蛋白酶活性,则不宜添加EDTA)。含有蛋白酶抑制剂混合物的裂解液宜现用现配,不宜配制后冻存待后续使用。
2. 待所需的抑制剂添加完毕混匀后,就可以开始进行哺乳动物组织的裂解和蛋白提取。
公司正在出售的产品:
| 货号 | CS-01Y75004 | 规格 | 50mg |
| CAS号 | 415697-08-4 | 分子量 | 402.16 |
| 含量 | >98.00% | 别名 | |
| 分子式 | C20H22N2O5S | 化学名 | (2S,4R)-ethyl 2-(4-((4-nitrobenzyl)oxy)benzyl)thiazolidine-4-carboxylate |
| 产地 | 国产 | 用途 | 仅供科研研究实验 |
分子式:C20H22N2O5S

分子量:402.16
溶解度:Soluble in DMSO
储存条件:Store at -20°C
General tips:For obtaining a higher solubility , please warm the tube at 37 ℃ and shake it in the ultrasonic bath for a while.
Shipping Condition:Evaluation sample solution : ship with blue ice All other available size: ship with RT , or blue ice upon request
SN 6 is a selective Na+/Ca2+ exchanger (NCX) inhibitor, and inhibits 45Ca2+ uptake by NCX1, NCX2, and NCX3, with IC50s of 2.9, 16, and 8.6 μM, respectively.SN 6 is a selective Na+/Ca2+ exchanger inhibitor, which inhibits the initial rate of 45Ca2+ uptake into NCX1, NCX2, and NCX3 transfectants with IC50 values of 2.9 ± 0.12, 16 ± 1.1, and 8.6 ± 0.27 μM. SN 6 (up to 30 μM) also less potently inhibits muscarinic acetylcholine receptor, with a higher IC50 of 18 μM. SN 6 (0.3-30 μM) completely inhibits the initial rate of Na+i-dependent 45Ca2+ uptake into Na+-loaded sarcolemmal vesicles in a dose dependent manner (IC50, 5.3 ± 0.37 μM). SN 6 (0.3-10 μM) dose-dependently protects against the hypoxia/reoxygenation-induced LDH release in parental LLC-PK1 cells and NCX1 transfectants but not in K229Q transfectants[1]. SN 6 (1-30 μM) suppresses the bidirectional outward and inward INCX in a concentration-dependent manner, with IC50 values of 2.3 μM and 1.9 μM, respectively. SN 6 also inhibits bidirectional current (INCX) in a [Na+]i concentration-dependent manner, with IC50 values of 3.4 μM, 2.3 μM, and 1.1 μM at 10 mM, 20 mM, and 30 mM [Na+]i, respectively[2]. SN 6 inhibits hypoxia/reoxygenation-induced LDH release with an IC50 value of 0.63 ± 0.15 μM in NCX1 transfectants[3].
注意事项:
抗逆滴加序列
每次向板内滴加抗原时,移液器滴头要与平面45度悬空,不要触碰到孔内的液体,由后向前依次滴加(即浓度由低往高滴加)。
抗感染反应期
抗原抗体在室温20~25℃下,必须反应30min以上,若环境温度低于室温,可将微量反应板置于恒温培养箱中,使二者充分反应。
旅游温度
磷酸盐缓冲液的pH值要在高压灭菌后进行滴定,往往在高压后pH值会有所改变,所以高压后再调一次pH值更为准确。磷酸盐缓冲液一经使用保存期不要超过3周。当pH<5.8时,红细胞会产生自凝现象;当pH>7.8时,图形洗脱加快,易造成肉眼观察产生误差;p H=7.2时,红细胞沉降最充分,图形最清晰。
当滴注 1%红细胞悬液时,应经常摇晃红细胞悬液,使红细胞均匀地分布在磷酸缓冲液中,以防止红细胞下降。
反应时间及温度
加入鸡红血球之后,反应板在室温(20~25℃)静置30~40min,对照孔血球下沉于孔底,即可判定结果。若室温达不到实验要求,需相应调整反应时间。当环境温度低于4℃时,红细胞发生自凝;高于37℃时,会发生反应物分离和红细胞溶血。
使用方法:
1.本蛋白酶抑制剂混合物为100×的储存液,使用时按照1:100的比例加入到裂解液中(例如,1ml裂解液中加入10μl蛋白酶抑制剂混合物),混匀后即可使用。根据需要,0.5M的EDTA也按照1:100的比例加入到裂解液中(如用于检测金属蛋白酶活性,则不宜添加EDTA)。含有蛋白酶抑制剂混合物的裂解液宜现用现配,不宜配制后冻存待后续使用。
2. 待所需的抑制剂添加完毕混匀后,就可以开始进行哺乳动物组织的裂解和蛋白提取。
公司正在出售的产品:
| Recombnant Arabdop thalana At2g04570 proten,C-H Tag | PDCD2 Antibody Blocking Peptide |
| Recombinant Human HSP10 | Recombinant Human NFYA protein ,No Tag |
| CHST5 Antibody Blocking Peptide | Recombinant Human EPHB1 protein ,C- Fc Tag |
| PEX5 Antibody Blocking Peptide | Recombinant Human IL22 protein |
| SLC5A6 Antibody Blocking Peptide | Recombinant Human IL28B/IL28C/IFNL3, N-His |
| PDE5A Antibody Blocking Peptide | Recombinant Human PRND protein ,C- His Tag |
| EphA3 Antibody Blocking Peptide | Recombinant Human ASGPR1 protein ,C- His Tag |
| TGFBR1 Antibody Blocking Peptide | PRDM锌指转录因子PRDM13封闭多肽 |
| UXT/Ubiquitously expressed transcript Antibody Blocking Peptide | Recombinant Human S100A8/S100A9 Heterodimer protein ,C- His Tag |
| GABA/BSA | Recombinant Human CCL3/MIP-1-alpha, N-GST |
| KLF11 Antibody Blocking Peptide | Recombinant Human NUP85, N-His |
| SLC7A5 Antibody Blocking Peptide | Recombinant Human HCFC1, N-His |
| EFHD2 Antibody Blocking Peptide | SN-6Recombinant Human ANGPTL1, N-His |
| RHOJ Antibody Blocking Peptide | Recombinant Human NovoNectin protein ,No Tag |
| FAM13C1 Antibody Blocking Peptide | Recombinant Human CASP4, N-His |
风险提示:丁香通仅作为第三方平台,为商家信息发布提供平台空间。用户咨询产品时请注意保护个人信息及财产安全,合理判断,谨慎选购商品,商家和用户对交易行为负责。对于医疗器械类产品,请先查证核实企业经营资质和医疗器械产品注册证情况。
技术资料暂无技术资料 索取技术资料
SN-6
¥600 - 3200








