万千商家帮你免费找货
0 人在求购买到急需产品
- 详细信息
- 技术资料
- 库存:
55
- 英文名:
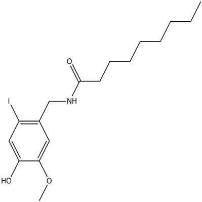
6-Iodonordihydrocapsaicin
- CAS号:
859171-97-4
- 供应商:
上海莼试
- 保存条件:
Store at RT
- 规格:
5mg 25mg
产品描述:
分子式:C17H26INO3

分子量:419.3
溶解度:<20.96mg/ml in ethanol; <41.93mg/ml in DMSO
储存条件:Store at RT
General tips:For obtaining a higher solubility , please warm the tube at 37 ℃ and shake it in the ultrasonic bath for a while.
Shipping Condition:Evaluation sample solution : ship with blue ice All other available size: ship with RT , or blue ice upon request
IC50: 10 nm against 100 nm capsaicinThe vanilloid TRPV1 receptor, also known as VR1 receptor, belongs to the large family of ‘transient receptor potential’ (TRP). TRPV1 functions as a molecular integrator of nociceptive stimuli, including heat, protons and plant toxins, and is most abundant in peripheral sensory fibers of the C and Ad type. 6-iodo-nordihydrocapsaicin is a potent TRPV1 antagonist.In vitro: Using human recombinant TRPV1, 6-Iodonordihydrocapsaicin (IC50=10 nm against 100 nm capsaicin) was about four times more potent than the prototypical TRPV1 antagonist, capsazepine [1].In vivo: 6-Iodonordihydrocapsaicin was tested against capsaicin also on native TRPV1 in: (i) rat dorsal root ganglion neurons in culture; (ii) guinea-pig urinary bladder; and (iii) guinea-pig bronchi. In all cases, except for the guineapig bronchi, the compound was significantly more potent than capsazepine as a TRPV1 antagonist [1].Clinical trial: Up to now, 6-Iodonordihydrocapsaicin is still in the preclinical development stage.
商品属性:
注意事项:
抗逆滴加序列
每次向板内滴加抗原时,移液器滴头要与平面45度悬空,不要触碰到孔内的液体,由后向前依次滴加(即浓度由低往高滴加)。
抗感染反应期
抗原抗体在室温20~25℃下,必须反应30min以上,若环境温度低于室温,可将微量反应板置于恒温培养箱中,使二者充分反应。
旅游温度
磷酸盐缓冲液的pH值要在高压灭菌后进行滴定,往往在高压后pH值会有所改变,所以高压后再调一次pH值更为准确。磷酸盐缓冲液一经使用保存期不要超过3周。当pH<5.8时,红细胞会产生自凝现象;当pH>7.8时,图形洗脱加快,易造成肉眼观察产生误差;p H=7.2时,红细胞沉降最充分,图形最清晰。
当滴注 1%红细胞悬液时,应经常摇晃红细胞悬液,使红细胞均匀地分布在磷酸缓冲液中,以防止红细胞下降。
反应时间及温度
加入鸡红血球之后,反应板在室温(20~25℃)静置30~40min,对照孔血球下沉于孔底,即可判定结果。若室温达不到实验要求,需相应调整反应时间。当环境温度低于4℃时,红细胞发生自凝;高于37℃时,会发生反应物分离和红细胞溶血。
公司正在出售的产品:
使用方法:
1.本蛋白酶抑制剂混合物为100×的储存液,使用时按照1:100的比例加入到裂解液中(例如,1ml裂解液中加入10μl蛋白酶抑制剂混合物),混匀后即可使用。根据需要,0.5M的EDTA也按照1:100的比例加入到裂解液中(如用于检测金属蛋白酶活性,则不宜添加EDTA)。含有蛋白酶抑制剂混合物的裂解液宜现用现配,不宜配制后冻存待后续使用。
2. 待所需的抑制剂添加完毕混匀后,就可以开始进行哺乳动物组织的裂解和蛋白提取。
分子式:C17H26INO3

分子量:419.3
溶解度:<20.96mg/ml in ethanol; <41.93mg/ml in DMSO
储存条件:Store at RT
General tips:For obtaining a higher solubility , please warm the tube at 37 ℃ and shake it in the ultrasonic bath for a while.
Shipping Condition:Evaluation sample solution : ship with blue ice All other available size: ship with RT , or blue ice upon request
IC50: 10 nm against 100 nm capsaicinThe vanilloid TRPV1 receptor, also known as VR1 receptor, belongs to the large family of ‘transient receptor potential’ (TRP). TRPV1 functions as a molecular integrator of nociceptive stimuli, including heat, protons and plant toxins, and is most abundant in peripheral sensory fibers of the C and Ad type. 6-iodo-nordihydrocapsaicin is a potent TRPV1 antagonist.In vitro: Using human recombinant TRPV1, 6-Iodonordihydrocapsaicin (IC50=10 nm against 100 nm capsaicin) was about four times more potent than the prototypical TRPV1 antagonist, capsazepine [1].In vivo: 6-Iodonordihydrocapsaicin was tested against capsaicin also on native TRPV1 in: (i) rat dorsal root ganglion neurons in culture; (ii) guinea-pig urinary bladder; and (iii) guinea-pig bronchi. In all cases, except for the guineapig bronchi, the compound was significantly more potent than capsazepine as a TRPV1 antagonist [1].Clinical trial: Up to now, 6-Iodonordihydrocapsaicin is still in the preclinical development stage.
商品属性:
| 货号 | CS-01Y74120 | 规格 | 5mg 25mg |
| CAS号 | 859171-97-4 | 分子量 | 419.3 |
| 含量 | >98.00% | 别名 | |
| 分子式 | C17H26INO3 | 化学名 | N-(4-hydroxy-2-iodo-5-methoxybenzyl)nonanamide |
| 产地 | 国产 | 用途 | 仅供科研研究实验 |
抗逆滴加序列
每次向板内滴加抗原时,移液器滴头要与平面45度悬空,不要触碰到孔内的液体,由后向前依次滴加(即浓度由低往高滴加)。
抗感染反应期
抗原抗体在室温20~25℃下,必须反应30min以上,若环境温度低于室温,可将微量反应板置于恒温培养箱中,使二者充分反应。
旅游温度
磷酸盐缓冲液的pH值要在高压灭菌后进行滴定,往往在高压后pH值会有所改变,所以高压后再调一次pH值更为准确。磷酸盐缓冲液一经使用保存期不要超过3周。当pH<5.8时,红细胞会产生自凝现象;当pH>7.8时,图形洗脱加快,易造成肉眼观察产生误差;p H=7.2时,红细胞沉降最充分,图形最清晰。
当滴注 1%红细胞悬液时,应经常摇晃红细胞悬液,使红细胞均匀地分布在磷酸缓冲液中,以防止红细胞下降。
反应时间及温度
加入鸡红血球之后,反应板在室温(20~25℃)静置30~40min,对照孔血球下沉于孔底,即可判定结果。若室温达不到实验要求,需相应调整反应时间。当环境温度低于4℃时,红细胞发生自凝;高于37℃时,会发生反应物分离和红细胞溶血。
公司正在出售的产品:
| Recombnant Human NFKBA, N-H | MRFAP1L1 Antibody Blocking Peptide |
| Recombinant Human Galectin 8 | Recombinant Exosome Component 2 (EXOSC2) |
| CHMP7 Antibody Blocking Peptide | Recombinant Iduronidase Alpha L (IDUa) |
| HGH1 Antibody Blocking Peptide | Recombinant Heparan Sulfate-6-O-Sulfotransferase 3 (HS6ST3) |
| phospho-c-Raf (Ser296) Antibody Blocking Peptide | Recombinant Isocitrate Dehydrogenase 2, mitochondrial (IDH2) |
| REG3A Antibody Blocking Peptide | Recombinant Heparan Sulfate-6-O-Sulfotransferase 2 (HS6ST2) |
| Phospho-NOS3 (Thr495) Antibody Blocking Peptide | Recombinant Heparan Sulfate-6-O-Sulfotransferase 1 (HS6ST1) |
| INHBB Antibody Blocking Peptide | 双特异性蛋白磷酸酶5封闭多肽 |
| Phospho-p63 (Ser395) Antibody Blocking Peptide | Recombinant IL2 Inducible T-Cell Kinase (ITK) |
| HDAC11 Antibody Blocking Peptide | Recombinant IL2 Inducible T-Cell Kinase (ITK) |
| FAM83F Antibody Blocking Peptide | Recombinant Leucine Rich Repeat Kinase 2 (LRRK2) |
| ZNF434/HCCS5 Antibody Blocking Peptide | Recombinant Mannosidase Alpha Class 2B Member 1 (MAN2B1) |
| HHLA1 Antibody Blocking Peptide | 6-IodonordihydrocapsaicinRecombinant Mannosidase Alpha Class 1A Member 1 (MAN1A1) |
| TRIM50 Antibody Blocking Peptide | Recombinant Malate Dehydrogenase 1 (MDH1) |
| Naca Antibody Blocking Peptide | Recombinant Malate Dehydrogenase 2 (MDH2) |
1.本蛋白酶抑制剂混合物为100×的储存液,使用时按照1:100的比例加入到裂解液中(例如,1ml裂解液中加入10μl蛋白酶抑制剂混合物),混匀后即可使用。根据需要,0.5M的EDTA也按照1:100的比例加入到裂解液中(如用于检测金属蛋白酶活性,则不宜添加EDTA)。含有蛋白酶抑制剂混合物的裂解液宜现用现配,不宜配制后冻存待后续使用。
2. 待所需的抑制剂添加完毕混匀后,就可以开始进行哺乳动物组织的裂解和蛋白提取。
风险提示:丁香通仅作为第三方平台,为商家信息发布提供平台空间。用户咨询产品时请注意保护个人信息及财产安全,合理判断,谨慎选购商品,商家和用户对交易行为负责。对于医疗器械类产品,请先查证核实企业经营资质和医疗器械产品注册证情况。
技术资料暂无技术资料 索取技术资料
6-Iodonordihydrocapsaicin
¥600 - 3200









