相关产品推荐更多 >
万千商家帮你免费找货
0 人在求购买到急需产品
- 详细信息
- 技术资料
- 库存:
60
- 英文名:
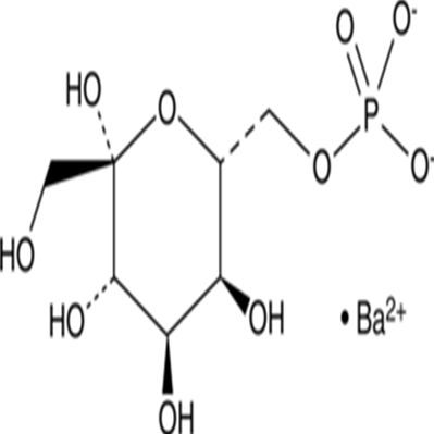
D-Sedoheptulose-7-phosphate (barium salt)
- CAS号:
17187-72-3
- 供应商:
上海莼试
- 保存条件:
Store at -20°C
- 规格:
1mg 5mg 10mg
产品描述:
分子式:C7H13O10P•Ba

分子量:425.5
溶解度:PBS (pH 7.2): 50 mg/ml
储存条件:Store at -20°C
General tips:For obtaining a higher solubility , please warm the tube at 37 ℃ and shake it in the ultrasonic bath for a while.
Shipping Condition:Evaluation sample solution : ship with blue ice All other available size: ship with RT , or blue ice upon request
D-Sedoheptulose-7-phosphate is an intermediate in the pentose phosphate pathway. [1] [2] In this pathway, transaldolase catalyzes the transfer of a three carbon dihydroxyAcetoe moiety from D-sedoheptulose-7-phosphate to glyceraldehyde-3-phosphate to generate D-fructose-6-phosphate . D-Sedoheptulose-7-phosphate is also an intermediate in carbon fixation in photosynthetic organisms, as well as in the biosynthesis of lipopolysaccharide, amino acids, secondary metabolites, and antibiotics. [3]
商品属性:
注意事项:
抗逆滴加序列
每次向板内滴加抗原时,移液器滴头要与平面45度悬空,不要触碰到孔内的液体,由后向前依次滴加(即浓度由低往高滴加)。
抗感染反应期
抗原抗体在室温20~25℃下,必须反应30min以上,若环境温度低于室温,可将微量反应板置于恒温培养箱中,使二者充分反应。
旅游温度
磷酸盐缓冲液的pH值要在高压灭菌后进行滴定,往往在高压后pH值会有所改变,所以高压后再调一次pH值更为准确。磷酸盐缓冲液一经使用保存期不要超过3周。当pH<5.8时,红细胞会产生自凝现象;当pH>7.8时,图形洗脱加快,易造成肉眼观察产生误差;p H=7.2时,红细胞沉降最充分,图形最清晰。
当滴注 1%红细胞悬液时,应经常摇晃红细胞悬液,使红细胞均匀地分布在磷酸缓冲液中,以防止红细胞下降。
反应时间及温度
加入鸡红血球之后,反应板在室温(20~25℃)静置30~40min,对照孔血球下沉于孔底,即可判定结果。若室温达不到实验要求,需相应调整反应时间。当环境温度低于4℃时,红细胞发生自凝;高于37℃时,会发生反应物分离和红细胞溶血。
公司正在出售的产品:
使用方法:
1.本蛋白酶抑制剂混合物为100×的储存液,使用时按照1:100的比例加入到裂解液中(例如,1ml裂解液中加入10μl蛋白酶抑制剂混合物),混匀后即可使用。根据需要,0.5M的EDTA也按照1:100的比例加入到裂解液中(如用于检测金属蛋白酶活性,则不宜添加EDTA)。含有蛋白酶抑制剂混合物的裂解液宜现用现配,不宜配制后冻存待后续使用。
2. 待所需的抑制剂添加完毕混匀后,就可以开始进行哺乳动物组织的裂解和蛋白提取。
分子式:C7H13O10P•Ba

分子量:425.5
溶解度:PBS (pH 7.2): 50 mg/ml
储存条件:Store at -20°C
General tips:For obtaining a higher solubility , please warm the tube at 37 ℃ and shake it in the ultrasonic bath for a while.
Shipping Condition:Evaluation sample solution : ship with blue ice All other available size: ship with RT , or blue ice upon request
D-Sedoheptulose-7-phosphate is an intermediate in the pentose phosphate pathway. [1] [2] In this pathway, transaldolase catalyzes the transfer of a three carbon dihydroxyAcetoe moiety from D-sedoheptulose-7-phosphate to glyceraldehyde-3-phosphate to generate D-fructose-6-phosphate . D-Sedoheptulose-7-phosphate is also an intermediate in carbon fixation in photosynthetic organisms, as well as in the biosynthesis of lipopolysaccharide, amino acids, secondary metabolites, and antibiotics. [3]
商品属性:
| 货号 | CS-01Y68147 | 规格 | 1mg 5mg 10mg |
| CAS号 | 17187-72-3 | 分子量 | 425.5 |
| 含量 | >95.00% | 别名 | N/A |
| 分子式 | C7H13O10P•Ba | 化学名 | 7-(dihydrogen phosphate), sedoheptulose, monobarium salt |
| 产地 | 国产 | 用途 | 仅供科研研究实验 |
抗逆滴加序列
每次向板内滴加抗原时,移液器滴头要与平面45度悬空,不要触碰到孔内的液体,由后向前依次滴加(即浓度由低往高滴加)。
抗感染反应期
抗原抗体在室温20~25℃下,必须反应30min以上,若环境温度低于室温,可将微量反应板置于恒温培养箱中,使二者充分反应。
旅游温度
磷酸盐缓冲液的pH值要在高压灭菌后进行滴定,往往在高压后pH值会有所改变,所以高压后再调一次pH值更为准确。磷酸盐缓冲液一经使用保存期不要超过3周。当pH<5.8时,红细胞会产生自凝现象;当pH>7.8时,图形洗脱加快,易造成肉眼观察产生误差;p H=7.2时,红细胞沉降最充分,图形最清晰。
当滴注 1%红细胞悬液时,应经常摇晃红细胞悬液,使红细胞均匀地分布在磷酸缓冲液中,以防止红细胞下降。
反应时间及温度
加入鸡红血球之后,反应板在室温(20~25℃)静置30~40min,对照孔血球下沉于孔底,即可判定结果。若室温达不到实验要求,需相应调整反应时间。当环境温度低于4℃时,红细胞发生自凝;高于37℃时,会发生反应物分离和红细胞溶血。
公司正在出售的产品:
| Recombnant Human KF11 proten ,N- H Tag | Hp104 Antbody Blockng Peptde |
| HO-2 Antbody Blockng Peptde | 胞外超氧化物歧化酶(OD3)真核蛋白 |
| DDX59 Antbody Blockng Peptde | 血浆谷胱甘肽过氧化物酶(GPX3)真核蛋白 |
| RECK Antbody Blockng Peptde | 葡萄糖-6-磷酸酶催化亚基(G6PC)真核蛋白 |
| ZNF232 Antbody Blockng Peptde | 多聚ADP核糖甘油水解酶(PARG)真核蛋白 |
| DHX29 Antbody Blockng Peptde | 抗凝血酶(AT)真核蛋白 |
| CCDC38 Antbody Blockng Peptde | 肽酰甘氨酸α酰胺化单加氧酶(PAM)真核蛋白 |
| Human gG FC fragment | 钙调蛋白OCM2封闭多肽 |
| TA1R2 Antbody Blockng Peptde | 解整合素金属蛋白酶10(ADAM10)真核蛋白 |
| C6orf222 Antbody Blockng Peptde | 中性粒细胞弹性蛋白酶(NE)真核蛋白 |
| PCDHGB1 Antbody Blockng Peptde | 基质金属蛋白酶2(MMP2)真核蛋白 |
| LX1A Antbody Blockng Peptde | 嗜酸性粒细胞过氧化物酶(EPX)真核蛋白 |
| BB9 Antbody Blockng Peptde | D-Sedoheptulose-7-phosphate (barium salt)前胶原赖氨酸-1,2-酮戊二酸-5-双加氧酶1(PLOD1)真核蛋白 |
| ATG18/WP1 Antbody Blockng Peptde | 二胺氧化酶(ABP1)真核蛋白 |
| 激肽释放酶9(KLK9)真核蛋白 | 基质金属蛋白酶13(MMP13)真核蛋白 |
1.本蛋白酶抑制剂混合物为100×的储存液,使用时按照1:100的比例加入到裂解液中(例如,1ml裂解液中加入10μl蛋白酶抑制剂混合物),混匀后即可使用。根据需要,0.5M的EDTA也按照1:100的比例加入到裂解液中(如用于检测金属蛋白酶活性,则不宜添加EDTA)。含有蛋白酶抑制剂混合物的裂解液宜现用现配,不宜配制后冻存待后续使用。
2. 待所需的抑制剂添加完毕混匀后,就可以开始进行哺乳动物组织的裂解和蛋白提取。
风险提示:丁香通仅作为第三方平台,为商家信息发布提供平台空间。用户咨询产品时请注意保护个人信息及财产安全,合理判断,谨慎选购商品,商家和用户对交易行为负责。对于医疗器械类产品,请先查证核实企业经营资质和医疗器械产品注册证情况。
技术资料暂无技术资料 索取技术资料
D-Sedoheptulose-7-phosphate (barium salt)
¥600 - 3200








