相关产品推荐更多 >
万千商家帮你免费找货
0 人在求购买到急需产品
- 详细信息
- 文献和实验
- 技术资料
- 库存:
30
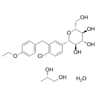
- 英文名:
Dapagliflozin ((2S)-1,2-propanediol, hydrate)
- CAS号:
960404-48-2
- 供应商:
上海莼试
- 保存条件:
Store at -20°C
- 规格:
5mg 10mg 50mg 100mg 200mg 500mg
分子式:C24H35ClO9

分子量:502.98
溶解度:DMSO: ≥ 100 mg/mL (198.82 mM)
储存条件:Store at -20°C
General tips:For obtaining a higher solubility , please warm the tube at 37 ℃ and shake it in the ultrasonic bath for a while.
Shipping Condition:Evaluation sample solution : ship with blue ice All other available size: ship with RT , or blue ice upon request
Dapagliflozin ((2S)-1,2-propanediol, hydrate) is the S-enantiomer of Dapagliflozin 1,2-propanediol, hydrate. Dapagliflozin ((2S)-1,2-propanediol, hydrate), a new type of drug used to treat diabetes mellitus (DM), is a competitive sodium/glucose cotransporter 2 (SGLT2) inhibitor, which results in excretion of glucose into the urine[1].Dapagliflozin ((2S)-1,2-propanediol, hydrate) induces HIF1 expression and attenuates renal IR injury[2].Dapagliflozin ((2S)-1,2-propanediol, hydrate) (0-10 μM; 24 hours) significantly increases the cell survival in hypoxic HK2 cell in a dose-dependent manner[2].Dapagliflozin ((2S)-1,2-propanediol, hydrate) (0-10 μM; 2 hours) increases the HIF1 expression, increases AMPK and EKR phosphorylation in hypoxic HK2 cells, but shows no effect on the phosphorylation of AMPK and ERK in normoxic HK2 cells[2]. Cell Viability Assay[1] Cell Line: Hypoxic HK2 cell
商品属性:
| 货号 | CS-01Y68084 | 规格 | 5mg 10mg 50mg 100mg 200mg 500mg |
| CAS号 | 960404-48-2 | 分子量 | 502.98 |
| 含量 | >98.00% | 别名 | N/A |
| 分子式 | C24H35ClO9 | 化学名 | N/A |
| 产地 | 国产 | 用途 | 仅供科研研究实验 |
抗逆滴加序列
每次向板内滴加抗原时,移液器滴头要与平面45度悬空,不要触碰到孔内的液体,由后向前依次滴加(即浓度由低往高滴加)。
抗感染反应期
抗原抗体在室温20~25℃下,必须反应30min以上,若环境温度低于室温,可将微量反应板置于恒温培养箱中,使二者充分反应。
旅游温度
磷酸盐缓冲液的pH值要在高压灭菌后进行滴定,往往在高压后pH值会有所改变,所以高压后再调一次pH值更为准确。磷酸盐缓冲液一经使用保存期不要超过3周。当pH<5.8时,红细胞会产生自凝现象;当pH>7.8时,图形洗脱加快,易造成肉眼观察产生误差;p H=7.2时,红细胞沉降最充分,图形最清晰。
当滴注 1%红细胞悬液时,应经常摇晃红细胞悬液,使红细胞均匀地分布在磷酸缓冲液中,以防止红细胞下降。
反应时间及温度
加入鸡红血球之后,反应板在室温(20~25℃)静置30~40min,对照孔血球下沉于孔底,即可判定结果。若室温达不到实验要求,需相应调整反应时间。当环境温度低于4℃时,红细胞发生自凝;高于37℃时,会发生反应物分离和红细胞溶血。
公司正在出售的产品:
| Recombnant Human JAM-A proten ,C- H Tag | Recombnant human nuln |
| HMGXB3 Antbody Blockng Peptde | 细胞骨架相关蛋白封闭多肽 |
| Recombnant PRRV N proten, N-H | 主导控制样蛋白3封闭多肽 |
| NEDL2 Antbody Blockng Peptde | 肿瘤转移抑制基因1封闭多肽 |
| Hapn Antbody Blockng Peptde | 锌指蛋白136封闭多肽 |
| L12R1 Antbody Blockng Peptde | 趋化样因子受体1封闭多肽 |
| TAT3 Antbody Blockng Peptde | 膜相关环指蛋白1封闭多肽 |
| Myc tag Antbody Blockng Peptde | 氯离子通道调节蛋白1A封闭多肽 |
| COX6B2 Antbody Blockng Peptde | 低密度脂蛋白受体相关蛋白5封闭多肽 |
| MH alpha Antbody Blockng Peptde | 桩蛋白封闭多肽 |
| MARCH6 Antbody Blockng Peptde | 重组人核基质蛋白22 |
| CCDC88B Antbody Blockng Peptde | 核RNA结合蛋白P54封闭多肽 |
| DOK4 Antbody Blockng Peptde | Dapagliflozin ((2S)-1,2-propanediol, hydrate)HD13蛋白封闭多肽 |
| NR1/RDGBA3 Antbody Blockng Peptde | 副肿瘤性神经元抗原/副肿瘤抗原Ma2封闭多肽 |
| 类固醇受体激活蛋白2封闭多肽 | EB核抗原1结合蛋白2封闭多肽 |
1.本蛋白酶抑制剂混合物为100×的储存液,使用时按照1:100的比例加入到裂解液中(例如,1ml裂解液中加入10μl蛋白酶抑制剂混合物),混匀后即可使用。根据需要,0.5M的EDTA也按照1:100的比例加入到裂解液中(如用于检测金属蛋白酶活性,则不宜添加EDTA)。含有蛋白酶抑制剂混合物的裂解液宜现用现配,不宜配制后冻存待后续使用。
2. 待所需的抑制剂添加完毕混匀后,就可以开始进行哺乳动物组织的裂解和蛋白提取。
风险提示:丁香通仅作为第三方平台,为商家信息发布提供平台空间。用户咨询产品时请注意保护个人信息及财产安全,合理判断,谨慎选购商品,商家和用户对交易行为负责。对于医疗器械类产品,请先查证核实企业经营资质和医疗器械产品注册证情况。
文献和实验制法 A液:布氏杆菌肉汤 970mL 无水磷酸氢二钠 1.18g 无水磷酸二氢钾 0.23g 琼脂 2g 加热溶解,高压灭菌,121℃ 15min。加入B液10%硫酸亚铁(含7H2O),C液10%偏亚硫酸氢钠,D液10%丙酮酸钠。 上述B、C、D溶液均新鲜配制,用除菌滤膜过滤。将此除菌溶液各1mL混合后再入A液中,无菌调pH到7.3,无菌分装,每管3mL,塞紧备用
成份: 蛋白胨 10克 胱氨酸 0.1克 硫酸钠 0.1克 水 1000毫升 PH7.0-7.4 ,115℃高压灭菌20分钟. 滤纸剪成0.5-1CM宽,用5%-10%的醋酸铅浸透,烘干,置平皿备用.
, such as prostaglandins, thromboxane, and leukotrienes. During the last decade, several mammalian PLA2s have been shown to play a role in the mobilization of AA from phospholipids. At least ten different PLA2 types have been described (1 ,2 ). In general, these consist
技术资料暂无技术资料 索取技术资料









