相关产品推荐更多 >
万千商家帮你免费找货
0 人在求购买到急需产品
- 详细信息
- 文献和实验
- 技术资料
- 库存:
32
- 英文名:
Fenspiride-d5
- CAS号:
1246911-67-0
- 供应商:
上海莼试
- 保存条件:
-20°C
- 规格:
1mg 5mg

规格:1mg 5mg
CAS:1246911-67-0
别名:N/A
化学名:N/A
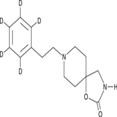
Fenspiride-d5分子式:C15H15D5N2O2

分子量:265.4
溶解度:DMSO: soluble,Methanol: soluble
储存条件:-20°C
General tips:For obtaining a higher solubility , please warm the tube at 37 ℃ and shake it in the ultrasonic bath for a while.
Shipping Condition: Evaluation sample solution : ship with blue ice All other available size: ship with RT , or blue ice upon request
本产品仅供科学实验研究使用! 不能用于临床或动物诊断!
| 产品名称 | Fenspiride-d5 | 产品货号 | CS-01Y69158 |
| 规格 | 1mg 5mg | CAS号 | 1246911-67-0 |
| 含量 | >99.00% | 分子式 | C15H15D5N2O2 |
| 分子量 | 265.4 | 用途 | 仅供科研研究使用 |

Fenspiride-d5 is intended for use as an internal standard for the quantification of fenspiride by GC- or LC-MS. Fenspiride is an antagonist of histamine H1 receptors and a non-steroidal anti-inflammatory drug (NSAID).1,2 It inhibits histamine-induced contraction of isolated guinea pig trachea but not histamine-induced inotropy of isolated guinea pig heart. It also inhibits phosphodiesterase 4 (PDE4), PDE5, and PDE3 (IC50s = 69, ~158, and 363 μM, respectively, in isolated human bronchi derived from patients with lung cancer).3 It is selective for these phosphodiesterases over PDE1 and PDE2, where it provides less than 25% inhibition. Fenspiride potentiates the airway relaxant effects of isoproterenol and sodium nitroprusside indicating an effect on cAMP and cGMP phosphodiesterases, respectively. Aerosolized fenspiride (1 mg/ml) reverses bronchoconstriction induced by capsaicin and, when used at aerosolized concentrations ranging from 1-10 mg/ml, reduces cough induced by citric acid in a guinea pig model of cough.2
使用方法:

1. 常用筛选浓度
注意:用来筛选稳转株的工作浓度需要根据细胞类型,培养基,生长条件和细胞代谢率而变化,推荐使用浓度为50-1000μg/mL。对于第一次使用的实验体系建议通过建立杀灭曲线(kill curve),即剂量反应性曲线,来确定最佳筛选浓度。
一般而言,哺乳动物细胞50-500μg/mL;细菌/植物细胞20-200μg/mL;真菌300-1000μg/mL。
2. 杀灭曲线的建立
注意:为了筛选得到稳定表达目的蛋白的细胞株,需要确定能够杀死未转染宿主细胞的抗生素浓度,可通过建立杀灭曲线(剂量反应曲线)来实现,至少选择5个浓度。
1) 第一天:未转化的细胞按照20-25%的细胞密度铺在合适的培养板上,37℃,CO2培养过夜;注:对于需要更高密度来检测活力的细胞,可增加接种量。
2) 根据细胞类型,设定合适范围内的浓度梯度。以哺乳动物细胞为例,可设定50,100,250,500,750,1000μg/mL。先用去离子水或者PBS buffer按照1:10的比例将母液稀释到5 mg/ml,然后按照下表稀释到相应浓度的工作液。
3) 第二天:替换旧的培养基,换用新鲜配制的含有相应浓度药物的培养基。每个浓度做三个平行孔。
4) 接下来每3-4天更换新的含药物培养基。
5) 按照固定的周期(如每2天)进行活细胞计数来确定阻止未转染细胞生长的恰当浓度。选择在理想的天数(通常是7-10天)内能够杀死绝大多数细胞的浓度为稳定转染细胞筛选用的工作浓度。
3. 稳定转染细胞的筛选
1) 转染48h后,用含有适当浓度的潮霉素B筛选培养基来传代细胞(直接传代或者稀释后传代)。
注意:细胞处于活跃分裂状态时抗生素的杀伤。则当细胞过于稠密,其效率会降低。为了得到较好的筛选效果,最好将细胞稀释至丰度不超过25%
2) 每隔3-4天更换含有药物的筛选培养液。
3) 筛选7天后观察并评估细胞克隆(集落)的形成情况。集落的形成可能还需要一周或者更多的时间,这取决于宿主细胞类型,转染,以及筛选效果。
4) 挑取并转移5-10个抗性克隆于35mm细胞培养板,继续用含药物的筛选培养液维持培养7天。
5) 之后更换正常培养基培养即可。
蛋白酶抑制剂混合物实验步骤:

(1)实验开始前将RNA提取液于65℃水浴锅中预热,离心管中加入ME(巯基乙醇),(10mL加80ul,50mL中加入300ul)
(2)取约0.8g菌丝体(液体培养获得的菌丝用真空抽滤即可!固体培养就更好说了),在液氮中迅速磨成精细粉末,装入50mL离心管,按1g材料8mL的量加入预热的RNA提取液,颠倒混匀
(3)65℃水浴3-10 min,期间混匀2-3次
(4)加入等体积的酚(注意是酸酚pH4.5)::yi戊醇(25:24:1)抽提(10,000rpm,4℃,5 min)
(5)取上清,等体积的yi戊醇(24:1)抽提(10,000rpm,4℃,5 min)
(6)加入1/4V体积10M LiCl溶液,4℃放置6h以上(或过夜)
(7)10,000rpm,4℃离心20min
(8)弃上清,用500ul SSTE溶解沉淀
(9)酚::yi戊醇(25:24:1)抽提两次,:yi戊醇(24:1)抽提1次(10,000rpm,4℃,5min)
(10)加2V体积的无水乙醇,在-70℃冰箱沉淀30min以上
(11)12,000rpm,4℃离心20 min
(12)弃上清.沉淀用70%酒精漂洗一次,干燥
(13)加200ul的DEPC处理水溶解
(14)用非变性琼脂糖凝胶电泳和紫外分光光度计扫描检测RNA的质量(在抽提过程中,若蛋白质含量或其它的杂质还较多,可以增加抽提次数)
公司正在出售的产品:

| Recombnant Moue Fetun A/AHG proten ,C- H Tag | CA12 Antbody Blockng Peptde |
| ERN1 Antbody Blockng Peptde | 活化半胱胺酸蛋白酶蛋白-2封闭多肽 |
| Glycophorn A Antbody Blockng Peptde | 磷酸化细胞周期检测点激酶1封闭多肽 |
| MKLP1 Antbody Blockng Peptde | 环腺苷酸应答元件结合蛋白H封闭多肽 |
| PRDM1 Antbody Blockng Peptde | 富含亮氨酸重复结构域蛋白9封闭多肽 |
| F27L2 Antbody Blockng Peptde | 热休克蛋白27相关蛋白1封闭多肽 |
| DP1 Antbody Blockng Peptde | 脑源性免疫球蛋白超家族蛋白3封闭多肽 |
| PDYN Antbody Blockng Peptde | 同源盒蛋白C11封闭多肽 |
| FTPA1 Antbody Blockng Peptde | 肠道特异性凝血酶PL1封闭多肽 |
| PEG10 Antbody Blockng Peptde | 嗜酸性粒细胞颗粒关键碱性蛋白封闭多肽 |
| phopho-RAD9A (Tyr28) Antbody Blockng Peptde | MAP激酶相互作用丝氨酸/苏氨酸激酶1封闭多肽 |
| CYP2B6 Antbody Blockng Peptde | B淋巴细胞粘附分子CD22封闭多肽 |
| CEP164 Antbody Blockng Peptde | Fenspiride-d5DNAJC25蛋白封闭多肽 |
| MBOAT2 Antbody Blockng Peptde | ZCAN4蛋白封闭多肽 |
| 白介素22受体封闭多肽 | 磷酸化细胞凋亡信号调节激酶1封闭多肽 |
风险提示:丁香通仅作为第三方平台,为商家信息发布提供平台空间。用户咨询产品时请注意保护个人信息及财产安全,合理判断,谨慎选购商品,商家和用户对交易行为负责。对于医疗器械类产品,请先查证核实企业经营资质和医疗器械产品注册证情况。
文献和实验In mammals, dopamine G protein-coupled receptors (GPCR) are segregated into two categories: D1-like (D1R and D5R) and D2-like (D2Rshort , D2Rlong , D3R, and D4R) subtypes. D1R and D5R are primarily coupled to stimulatory heterotrimeric GTP
Sci Adv: 最新突破,南开大学邵一鸣教授团队发现两种HIV-1广谱中和抗体
the V3 glycan supersite 的研究工作, 报道了其分离自 HIV-1 感染患者的可有效中和 HIV-1 的两种 bNAbs(438-B11 和 438-D5), 为艾滋病疫苗研发提供了重要基础。 研究团队首先从编号为 CBJC438 的来自中国的一名艾滋病患者体内成功分离了 438-B11、438-D5 两种 bNAbs。 编号 CBJC438 的患者 HIV-1 病毒载量 2005 年至 2012 年从 18,700 拷贝 / 毫升增加到 225,000 拷贝 / 毫升。于 2008
您好,这是我们的解决方案和与FISH的比较,您可以参考看看 CST公司开发了全新的高特异、高灵敏的针对ALK、ROS1融合蛋白的XP® 兔单克隆抗体和兔单克隆抗体【4,5】(见表1)。正是基于这种适于IHC检测的ALK融合蛋白抗体(克隆号D5F3,货号#3633),结合IHC技术比FISH更加简单实用和成熟普及,罗氏集团成员Ventana公司已于2012年初,与CST达成合作协议,共同开发了用于临床诊断ALK融合蛋白的IHC诊断试剂盒,为非小细胞
技术资料暂无技术资料 索取技术资料









