相关产品推荐更多 >
万千商家帮你免费找货
0 人在求购买到急需产品
- 详细信息
- 文献和实验
- 技术资料
- 库存:
33
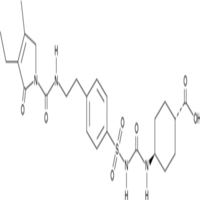
- 英文名:
trans-carboxy Glimepiride
- CAS号:
1217739-04-2
- 供应商:
上海莼试
- 保存条件:
-20°C
- 规格:
1 mg
1.本蛋白酶抑制剂混合物为100×的储存液,使用时按照1:100的比例加入到裂解液中(例如,1ml裂解液中加入10μl蛋白酶抑制剂混合物),混匀后即可使用。根据需要,0.5M的EDTA也按照1:100的比例加入到裂解液中(如用于检测金属蛋白酶活性,则不宜添加EDTA)。含有蛋白酶抑制剂混合物的裂解液宜现用现配,不宜配制后冻存待后续使用。
2. 待所需的抑制剂添加完毕混匀后,就可以开始进行哺乳动物组织的裂解和蛋白提取。
商品属性:
| 货号 | CS-01Y68999 | 规格 | 1 mg |
| CAS号 | 1217739-04-2 | 分子量 | 520.6 |
| 含量 | >95.00% | 别名 | N/A |
| 分子式 | C24H32N4O7S | 化学名 | N/A |
| 产地 | 国产 | 用途 | 仅供科研研究实验 |
分子式:C24H32N4O7S

分子量:520.6
溶解度:DMSO: slightly soluble,Ethyl Acetate: heated, sonicated
储存条件:-20°C
General tips:For obtaining a higher solubility , please warm the tube at 37 ℃ and shake it in the ultrasonic bath for a while.
Shipping Condition:Evaluation sample solution : ship with blue ice All other available size: ship with RT , or blue ice upon request
trans-carboxy Glimepiride is a metabolite of the sulfonylurea glimepiride .1 It is formed from glimepiride in a two-step process mediated by the cytochrome P450 (CYP) isoform CYP2C9 and cytosolic enzymes.1.Noh, K., Kim, E., Jeong, T.C., et al.Simultaneous determination of glimepiride and its metabolites in human plasma by liquid chromatography coupled to a tandem mass spectrometryArch. Pharm. Res.34(12)2073-2078(2011)
注意事项:
抗逆滴加序列
每次向板内滴加抗原时,移液器滴头要与平面45度悬空,不要触碰到孔内的液体,由后向前依次滴加(即浓度由低往高滴加)。
抗感染反应期
抗原抗体在室温20~25℃下,必须反应30min以上,若环境温度低于室温,可将微量反应板置于恒温培养箱中,使二者充分反应。
旅游温度
磷酸盐缓冲液的pH值要在高压灭菌后进行滴定,往往在高压后pH值会有所改变,所以高压后再调一次pH值更为准确。磷酸盐缓冲液一经使用保存期不要超过3周。当pH<5.8时,红细胞会产生自凝现象;当pH>7.8时,图形洗脱加快,易造成肉眼观察产生误差;p H=7.2时,红细胞沉降最充分,图形最清晰。
当滴注 1%红细胞悬液时,应经常摇晃红细胞悬液,使红细胞均匀地分布在磷酸缓冲液中,以防止红细胞下降。
反应时间及温度
加入鸡红血球之后,反应板在室温(20~25℃)静置30~40min,对照孔血球下沉于孔底,即可判定结果。若室温达不到实验要求,需相应调整反应时间。当环境温度低于4℃时,红细胞发生自凝;高于37℃时,会发生反应物分离和红细胞溶血。
公司正在出售的产品:
| Recombnant Human HCFC1, N-H | CCDC7 Antbody Blockng Peptde |
| Vlln Antbody Blockng Peptde | 组织相容性抗原DQA1/DQA2封闭多肽 |
| Nano-Tag15 Peptde | 丝束蛋白T Platn封闭多肽 |
| Phopho-DOK2 (Tyr142) Antbody Blockng Peptde | 蛋白激酶A锚定蛋白95封闭多肽 |
| phopho-DAXX (er517) Antbody Blockng Peptde | 富含亮氨酸胶质瘤失活蛋白1封闭多肽 |
| CDCP1 Antbody Blockng Peptde | 唾液酸结合免疫球蛋白样凝集素9封闭多肽 |
| PGA Antbody Blockng Peptde | 生殖细胞增殖相关蛋白NANO1封闭多肽 |
| ECHDC1 Antbody Blockng Peptde | 磷酸化内收蛋白gamma封闭多肽 |
| NRXN3 Antbody Blockng Peptde | 核糖体蛋白L15封闭多肽 |
| ADAM18 Antbody Blockng Peptde | 黑色素亲和素封闭多肽 |
| PTGR2 Antbody Blockng Peptde | LC19A2封闭多肽 |
| MPD1 Antbody Blockng Peptde | CCZ1蛋白封闭多肽 |
| Recombnant moue GUK1 proten, H | trans-carboxy Glimepiride视黄醇结合蛋白封闭多肽 |
| THBD Antbody Blockng Peptde | 9号染色体开放阅读框91封闭多肽 |
| EBV核蛋白2/EBNA2封闭多肽 | 突触融合蛋白结合蛋白5封闭多肽 |
风险提示:丁香通仅作为第三方平台,为商家信息发布提供平台空间。用户咨询产品时请注意保护个人信息及财产安全,合理判断,谨慎选购商品,商家和用户对交易行为负责。对于医疗器械类产品,请先查证核实企业经营资质和医疗器械产品注册证情况。
文献和实验Measuring APP Carboxy-Terminal Fragments
The accumulation of the amyloid-β (Aβ) peptide in the form of insoluble fibrillar deposits and soluble oligomeric aggregates is widely believed to play a causal role in Alzheimer’s disease (AD). Proteolytic cleavage of APP by the β-site APP
羧末端分析 carboxy-terminal analysis
指位于多肽链的羧末端氨基酸残基的分析。化学方法有肼解法( hydrazinolysis)与氚标记法。当用羧肽酶作用时,因为可能从羧末端以某种程度切断组成多肽链的氨基酸,而顺序地游离出氨基酸,所以通过此分析可了解羧末端附近的氨基酸排列顺序。
RNA Trans-Splicing for Genodermatoses
Spliceosome-mediated RNA trans -splicing (SMaRT) is a tool that facilitates the recombination of two distinct pre-mRNA molecules. Its application for gene therapeutic purposes has been hindered by laborious procedures to identify gene
技术资料暂无技术资料 索取技术资料








