相关产品推荐更多 >
万千商家帮你免费找货
0 人在求购买到急需产品
- 详细信息
- 文献和实验
- 技术资料
- 库存:
54
- 英文名:
H-Arg-Gly-Asp-Cys-OH (trifluoroacetate salt)
- 供应商:
上海莼试
- 保存条件:
-20°C
- 规格:
10 mg 50 mg 100 mg

规格:10 mg 50 mg 100 mg
CAS:N/A
别名:N/A
化学名:N/A
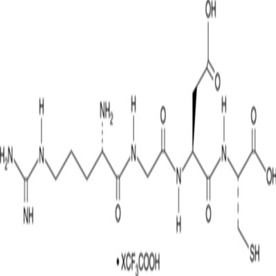
H-Arg-Gly-Asp-Cys-OH (trifluoroacetate salt)分子式:C15H27N7O7S·XCF3COOH

分子量:449.5
溶解度:Ethanol: 10 mg/ml,PBS (pH 7.2): 10 mg/ml
储存条件:-20°C
General tips:For obtaining a higher solubility , please warm the tube at 37 ℃ and shake it in the ultrasonic bath for a while.
Shipping Condition: Evaluation sample solution : ship with blue ice All other available size: ship with RT , or blue ice upon request
本产品仅供科学实验研究使用! 不能用于临床或动物诊断!
| 产品名称 | H-Arg-Gly-Asp-Cys-OH (trifluoroacetate salt) | 产品货号 | CS-01Y69037 |
| 规格 | 10 mg 50 mg 100 mg | CAS号 | N/A |
| 含量 | >95.00% | 分子式 | C15H27N7O7S·XCF3COOH |
| 分子量 | 449.5 | 用途 | 仅供科研研究使用 |

H-Arg-Gly-Asp-Cys-OH is a tetrapeptide that contains the arginine-glycine-aspartate (RGD) motif, a sequence that acts as a recognition site for various adhesion proteins.1 It inhibits the binding of fibrinogen to endothelial cells and ADP-stimulated platelets with IC50 values of 320 and 35 μM, respectively.2 Implantation of titanium rods coated with H-Arg-Gly-Asp-Cys-OH increases bone formation in rat femurs.3 H-Arg-Gly-Asp-Cys-OH has been conjugated to polyethylenimine to improve gene transfection efficiency.41.Park, H.S., Kim, C., and Kang, Y.K.Preferred conformations of RGDX tetrapeptides to inhibit the binding of fibrinogen to plateletsBiopolymers63(5)298-313(2002) 2.Tranqui, L., Andrieux, A., Hudry-Clergeon, G., et al.Differential structural requirements for fibrinogen binding to platelets and to endothelial cellsJ. Cell Biol.108(6)2519-2527(1989) 3.Ferris, D.M., Moodie, G.D., Dimond, P.M., et al.RGD-coated titanium implants stimulate increased bone formation in vivoBiomaterials20(23-24)2323-2331(1999) 4.Kunath, K., Merdan, T., Hegener, O., et al.Integrin targeting using RGD-PEI conjugates for in vitro gene transferJ. Gene Med.5(7)588-599(2003)
使用方法:

1. 常用筛选浓度
注意:用来筛选稳转株的工作浓度需要根据细胞类型,培养基,生长条件和细胞代谢率而变化,推荐使用浓度为50-1000μg/mL。对于第一次使用的实验体系建议通过建立杀灭曲线(kill curve),即剂量反应性曲线,来确定最佳筛选浓度。
一般而言,哺乳动物细胞50-500μg/mL;细菌/植物细胞20-200μg/mL;真菌300-1000μg/mL。
2. 杀灭曲线的建立
注意:为了筛选得到稳定表达目的蛋白的细胞株,需要确定能够杀死未转染宿主细胞的抗生素浓度,可通过建立杀灭曲线(剂量反应曲线)来实现,至少选择5个浓度。
1) 第一天:未转化的细胞按照20-25%的细胞密度铺在合适的培养板上,37℃,CO2培养过夜;注:对于需要更高密度来检测活力的细胞,可增加接种量。
2) 根据细胞类型,设定合适范围内的浓度梯度。以哺乳动物细胞为例,可设定50,100,250,500,750,1000μg/mL。先用去离子水或者PBS buffer按照1:10的比例将母液稀释到5 mg/ml,然后按照下表稀释到相应浓度的工作液。
3) 第二天:替换旧的培养基,换用新鲜配制的含有相应浓度药物的培养基。每个浓度做三个平行孔。
4) 接下来每3-4天更换新的含药物培养基。
5) 按照固定的周期(如每2天)进行活细胞计数来确定阻止未转染细胞生长的恰当浓度。选择在理想的天数(通常是7-10天)内能够杀死绝大多数细胞的浓度为稳定转染细胞筛选用的工作浓度。
3. 稳定转染细胞的筛选
1) 转染48h后,用含有适当浓度的潮霉素B筛选培养基来传代细胞(直接传代或者稀释后传代)。
注意:细胞处于活跃分裂状态时抗生素的杀伤。则当细胞过于稠密,其效率会降低。为了得到较好的筛选效果,最好将细胞稀释至丰度不超过25%
2) 每隔3-4天更换含有药物的筛选培养液。
3) 筛选7天后观察并评估细胞克隆(集落)的形成情况。集落的形成可能还需要一周或者更多的时间,这取决于宿主细胞类型,转染,以及筛选效果。
4) 挑取并转移5-10个抗性克隆于35mm细胞培养板,继续用含药物的筛选培养液维持培养7天。
5) 之后更换正常培养基培养即可。
蛋白酶抑制剂混合物实验步骤:

(1)实验开始前将RNA提取液于65℃水浴锅中预热,离心管中加入ME(巯基乙醇),(10mL加80ul,50mL中加入300ul)
(2)取约0.8g菌丝体(液体培养获得的菌丝用真空抽滤即可!固体培养就更好说了),在液氮中迅速磨成精细粉末,装入50mL离心管,按1g材料8mL的量加入预热的RNA提取液,颠倒混匀
(3)65℃水浴3-10 min,期间混匀2-3次
(4)加入等体积的酚(注意是酸酚pH4.5)::yi戊醇(25:24:1)抽提(10,000rpm,4℃,5 min)
(5)取上清,等体积的yi戊醇(24:1)抽提(10,000rpm,4℃,5 min)
(6)加入1/4V体积10M LiCl溶液,4℃放置6h以上(或过夜)
(7)10,000rpm,4℃离心20min
(8)弃上清,用500ul SSTE溶解沉淀
(9)酚::yi戊醇(25:24:1)抽提两次,:yi戊醇(24:1)抽提1次(10,000rpm,4℃,5min)
(10)加2V体积的无水乙醇,在-70℃冰箱沉淀30min以上
(11)12,000rpm,4℃离心20 min
(12)弃上清.沉淀用70%酒精漂洗一次,干燥
(13)加200ul的DEPC处理水溶解
(14)用非变性琼脂糖凝胶电泳和紫外分光光度计扫描检测RNA的质量(在抽提过程中,若蛋白质含量或其它的杂质还较多,可以增加抽提次数)
公司正在出售的产品:

| Recombnant Human HDHD2 proten ,N- H Tag | CPEB1 Antbody Blockng Peptde |
| MDK Antbody Blockng Peptde | GOL2蛋白封闭多肽 |
| C2orf56 Antbody Blockng Peptde | 谷胱甘肽转移酶α1封闭多肽 |
| CEP131 Antbody Blockng Peptde | 血小板反应结构域蛋白7A封闭多肽 |
| ADGRD1 Antbody Blockng Peptde | 细胞外基质蛋白FREM1封闭多肽 |
| PNLPRP2 Antbody Blockng Peptde | 促卵泡刺激素受体封闭多肽 |
| NME1 Antbody Blockng Peptde | 三磷酸腺苷结合盒亚家族G1封闭多肽 |
| PTX-1 Antbody Blockng Peptde | 蛋白酶体β亚基11封闭多肽 |
| TF1 gamma/Trm33 Antbody Blockng Peptde | 4号染色体开放阅读框40封闭多肽 |
| NEL2 Antbody Blockng Peptde | 核小体组装蛋白1样蛋白5封闭多肽 |
| KRV-VP1/2(vral proten 1 /2) Antbody Blockng Peptde | 骨形态发生蛋白6封闭多肽 |
| Claudn 14 Antbody Blockng Peptde | 细胞周期蛋白N端结构域蛋白1封闭多肽 |
| B Antbody Blockng Peptde | H-Arg-Gly-Asp-Cys-OH (trifluoroacetate salt)铁螯合酶封闭多肽 |
| D8 Antbody Blockng Peptde | G蛋白偶联嘌呤受体p2y12封闭多肽 |
| 整合素α7封闭多肽 | 线粒体融合蛋白1封闭多肽 |
风险提示:丁香通仅作为第三方平台,为商家信息发布提供平台空间。用户咨询产品时请注意保护个人信息及财产安全,合理判断,谨慎选购商品,商家和用户对交易行为负责。对于医疗器械类产品,请先查证核实企业经营资质和医疗器械产品注册证情况。
文献和实验at lower salt concentrations, whereas many primer pairs producing short amplification products worked better at higher salt concentrations. This is illustrated in the three figures below in which there is a realtive shift in the intensity of the products
The presence of a redundant lipolytic system of bile salt-activated lipase (BAL) and pancreatic lipase results in the concerted action of these lipolytic enzymes during intestinal dietary fat digestion processes (1 ). Because of its wide
盐腺 salt gland ( 1)为海产软骨鱼类、爬行类和鸟类的 NaCl分泌腺,在软骨鱼类有开口于直肠的直肠腺,在爬行类和鸟类有,开口于鼻腔的鼻腺,龟的开口于眼窝的泪腺,已变为盐腺。盐腺的分泌液主要含 NaCl,排出比海水浓度还要大的溶液。分泌细胞中有大量的线粒体,与哺乳类的肾小管细胞的构造非常相似。 Na- K- ATP 酶活性高。用海水养鸭时,其盐腺可发达增大数倍。 ( 2)指树苗(主要是叶)向表面分泌盐类的构造。亦称钙腺。盐腺的构造因种属而异
技术资料暂无技术资料 索取技术资料









