相关产品推荐更多 >
万千商家帮你免费找货
0 人在求购买到急需产品
- 详细信息
- 文献和实验
- 技术资料
- 库存:
43
- 英文名:
Metolazone-d7
- 供应商:
上海莼试
- 保存条件:
-20°C
- 规格:
500 μg 1 mg 5 mg
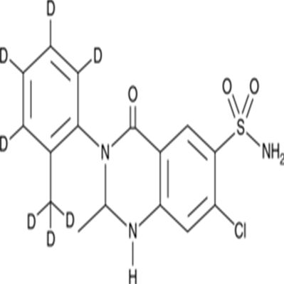
| 产品名称 | Metolazone-d7 | 产品货号 | CS-01Y69193 |
| 规格 | 500 μg 1 mg 5 mg | CAS号 | N/A |
| 含量 | >99.00% | 分子式 | C16H9D7ClN3O3S |
| 分子量 | 372.9 | 用途 | 仅供科研研究使用 |

Metolazone-d7规格:500 μg 1 mg 5 mg
CAS:N/A
别名:N/A
化学名:N/A
分子式:C16H9D7ClN3O3S

分子量:372.9
溶解度:DMSO: soluble,Methanol: soluble
储存条件:-20°C
General tips:For obtaining a higher solubility , please warm the tube at 37 ℃ and shake it in the ultrasonic bath for a while.
Shipping Condition: Evaluation sample solution : ship with blue ice All other available size: ship with RT , or blue ice upon request
产品描述:

Metolazone-d7 is intended for use as an internal standard for the quantification of metolazone by GC- or LC-MS. Metolazone is a thiazide-like diuretic.1,2 It inhibits the Na+/Cl- cotransporter (IC50 = 0.3 μM for the rat transporter) and human carbonic anhydrase VII (CAVII), CAXII, and CAXIII (Kis = 2.1, 5.4, and 15 nM, respectively). Metolazone (0.3 and 1 mg/kg) induces fluid loss and enhances captopril-induced decreases in blood pressure in spontaneously hypertensive rats.3 Formulations containing metolazone have been used in the treatment of high blood pressure.1.Moreno, E., Cristóbal, P.S., Rivera, M., et al.Affinity-defining domains in the Na-Cl cotransporter: A different location for C- and thiazide bindingJ. Biol. Chem.281(25)17266-17275(2006) 2.Temperini, C., Cecchi, A., Scozzafava, A., et al.Carbonic anhydrase inhibitors. Interaction of indapamide and related diuretics with 12 mammalian isozymes and X-ray crystallographic studies for the indapamide-isozyme II adductBioorg. Med. Chem. Lett.18(8)2567-2573(2008) 3.Chiu, P.J.S., Vemulapalli, S., and Barnett, A.Acute blood pressure and urinary responses to single dose combinations of captopril and diuretics in conscious spontaneously hypertensive ratsJ. Pharm. Pharmacol.37(2)105-109(1985
使用方法:

1. 常用筛选浓度
注意:用来筛选稳转株的工作浓度需要根据细胞类型,培养基,生长条件和细胞代谢率而变化,推荐使用浓度为50-1000μg/mL。对于第一次使用的实验体系建议通过建立杀灭曲线(kill curve),即剂量反应性曲线,来确定最佳筛选浓度。
一般而言,哺乳动物细胞50-500μg/mL;细菌/植物细胞20-200μg/mL;真菌300-1000μg/mL。
2. 杀灭曲线的建立
注意:为了筛选得到稳定表达目的蛋白的细胞株,需要确定能够杀死未转染宿主细胞的抗生素浓度,可通过建立杀灭曲线(剂量反应曲线)来实现,至少选择5个浓度。
1) 第一天:未转化的细胞按照20-25%的细胞密度铺在合适的培养板上,37℃,CO2培养过夜;注:对于需要更高密度来检测活力的细胞,可增加接种量。
2) 根据细胞类型,设定合适范围内的浓度梯度。以哺乳动物细胞为例,可设定50,100,250,500,750,1000μg/mL。先用去离子水或者PBS buffer按照1:10的比例将母液稀释到5 mg/ml,然后按照下表稀释到相应浓度的工作液。
3) 第二天:替换旧的培养基,换用新鲜配制的含有相应浓度药物的培养基。每个浓度做三个平行孔。
4) 接下来每3-4天更换新的含药物培养基。
5) 按照固定的周期(如每2天)进行活细胞计数来确定阻止未转染细胞生长的恰当浓度。选择在理想的天数(通常是7-10天)内能够杀死绝大多数细胞的浓度为稳定转染细胞筛选用的工作浓度。
3. 稳定转染细胞的筛选
1) 转染48h后,用含有适当浓度的潮霉素B筛选培养基来传代细胞(直接传代或者稀释后传代)。
注意:细胞处于活跃分裂状态时抗生素的杀伤。则当细胞过于稠密,其效率会降低。为了得到较好的筛选效果,最好将细胞稀释至丰度不超过25%
2) 每隔3-4天更换含有药物的筛选培养液。
3) 筛选7天后观察并评估细胞克隆(集落)的形成情况。集落的形成可能还需要一周或者更多的时间,这取决于宿主细胞类型,转染,以及筛选效果。
4) 挑取并转移5-10个抗性克隆于35mm细胞培养板,继续用含药物的筛选培养液维持培养7天。
5) 之后更换正常培养基培养即可。
公司正在出售的产品:

| Recombnant Human HMT2, N-H | C7ORF43 Antbody Blockng Peptde |
| RO Antbody Blockng Peptde | Ra相关蛋白RAB-12封闭多肽 |
| Aldolae C Antbody Blockng Peptde | 高尔基复合体CFR1封闭多肽 |
| NRG1/HRG beta 1 Antbody Blockng Peptde | γ干扰素诱导单核细胞因子封闭多肽 |
| MAGEA5 Antbody Blockng Peptde | 磷酸化蛋白质酪氨酸激酶JAK-1封闭多肽 |
| CD274 Antbody Blockng Peptde | 细胞凋亡敏感性基因封闭多肽 |
| ABCC13 Antbody Blockng Peptde | FAM107B蛋白封闭多肽 |
| phopho-MAP4(er941) Antbody Blockng Peptde | CD83封闭多肽 |
| LC4A4 Antbody Blockng Peptde | 磺酰脲类药物受体1封闭多肽 |
| EPG5 Antbody Blockng Peptde | 白细胞介素-7受体a封闭多肽 |
| OBPL2 Antbody Blockng Peptde | 磷酸化KLF5封闭多肽 |
| E2F7 Antbody Blockng Peptde | 重组人微管相关蛋白Tau-4 |
| Phopho-Zyxn (er142/er143) Antbody Blockng Peptde | Metolazone-d7雄激素受体相互作用蛋白4封闭多肽 |
| phopho-ER2 (er87) Antbody Blockng Peptde | 长寿相关基因lA4封闭多肽 |
| 血管紧张素原封闭多肽 | 转运蛋白EC31B封闭多肽 |
蛋白酶抑制剂混合物实验步骤:

(1)实验开始前将RNA提取液于65℃水浴锅中预热,离心管中加入ME(巯基乙醇),(10mL加80ul,50mL中加入300ul)
(2)取约0.8g菌丝体(液体培养获得的菌丝用真空抽滤即可!固体培养就更好说了),在液氮中迅速磨成精细粉末,装入50mL离心管,按1g材料8mL的量加入预热的RNA提取液,颠倒混匀
(3)65℃水浴3-10 min,期间混匀2-3次
(4)加入等体积的酚(注意是酸酚pH4.5)::yi戊醇(25:24:1)抽提(10,000rpm,4℃,5 min)
(5)取上清,等体积的yi戊醇(24:1)抽提(10,000rpm,4℃,5 min)
(6)加入1/4V体积10M LiCl溶液,4℃放置6h以上(或过夜)
(7)10,000rpm,4℃离心20min
(8)弃上清,用500ul SSTE溶解沉淀
(9)酚::yi戊醇(25:24:1)抽提两次,:yi戊醇(24:1)抽提1次(10,000rpm,4℃,5min)
(10)加2V体积的无水乙醇,在-70℃冰箱沉淀30min以上
(11)12,000rpm,4℃离心20 min
(12)弃上清.沉淀用70%酒精漂洗一次,干燥
(13)加200ul的DEPC处理水溶解
(14)用非变性琼脂糖凝胶电泳和紫外分光光度计扫描检测RNA的质量(在抽提过程中,若蛋白质含量或其它的杂质还较多,可以增加抽提次数)
风险提示:丁香通仅作为第三方平台,为商家信息发布提供平台空间。用户咨询产品时请注意保护个人信息及财产安全,合理判断,谨慎选购商品,商家和用户对交易行为负责。对于医疗器械类产品,请先查证核实企业经营资质和医疗器械产品注册证情况。
文献和实验觉得蛋白组学是未来科研的重要领域,所以关注了一下,请各位战友补充啊!! :I:I:I:I:P:P:P:P 蛋白组学概述 http://www.dxy.cn/bbs/thread/840484 http://www.dxy.cn/bbs/post/view?bid=65&id=2168890&sty=3&keywords=%B5%B0%B0%D7%D6%CA%D7%E9 http://www.dxy.cn/bbs/post/view?bid=65&id=2051771&sty
资料太多,时间有限,只整理了这些,才知道分子生物学何其博大精深。 第一次整理,经验不足。 申请加分。;) 分子生物学理论和书 http://www.dxy.cn/bbs/post/view?bid=64&id=1205089&sty=3&keywords=%B7%D6%D7%D3%C9%FA%CE%EF%D1%A7 http://www.dxy.cn/bbs/post/view?bid=105&id=552642&sty=3&keywords=%B7%D6%D7%D3%C9%FA
下面是本论坛的关于蛋白质纯化的文章,整理如下: 蛋白质复性后进一步纯化时,加入氯化钠即会出现沉淀,怎么办? http://www.dxy.cn/bbs/actions/archive/post/136508_0.html 蛋白质纯化方案 http://www.dxy.cn/bbs/post/view?bid=65&id=1100586&sty=3&keywords=%B5%B0%B0%D7%D6%CA+%B4%BF%BB%AF 蛋白质纯化、HPLC制备 http://www.dxy
技术资料暂无技术资料 索取技术资料








