相关产品推荐更多 >
万千商家帮你免费找货
0 人在求购买到急需产品
- 详细信息
- 文献和实验
- 技术资料
- 库存:
59
- 英文名:
GW 6471
- CAS号:
880635-03-0
- 供应商:
上海莼试
- 保存条件:
Store at -20°C
- 规格:
5mg 10mg 50mg 100mg
| 货号 | CS-01Y68590 | 规格 | 5mg 10mg 50mg 100mg |
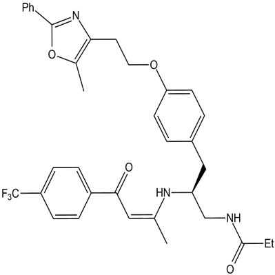
| CAS号 | 880635-03-0 | 分子量 | 619.67 |
| 含量 | >98.00% | 别名 | N/A |
| 分子式 | C35H36F3N3O4 | 化学名 | (S,Z)-N-(3-(4-(2-(5-methyl-2-phenyloxazol-4-yl)ethoxy)phenyl)-2-((4-oxo-4-(4-(trifluoromethyl)phenyl)but-2-en-2-yl)amino)propyl)propionamide |
| 产地 | 国产 | 用途 | 仅供科研研究实验 |
分子式:C35H36F3N3O4

分子量:619.67
溶解度:DMF: 20 mg/ml,DMF:PBS(pH7.2) (1:2): 0.33 mg/ml,DMSO: 11 mg/ml,Ethanol: 10 mg/ml
储存条件:Store at -20°C
General tips:For obtaining a higher solubility , please warm the tube at 37 ℃ and shake it in the ultrasonic bath for a while.
Shipping Condition:Evaluation sample solution : ship with blue ice All other available size: ship with RT , or blue ice upon request
GW 6471 is a potent PPARα antagonist.In a cell-based reporter assay, GW 6471 completely inhibits GW409544-induced activation of PPARα with an IC50 of 0.24 μM[1]. The functional role of PPARα is evaluated on renal cell carcinoma (RCC) cell viability by MTT assay. Both Caki-1 (VHL wild type) and 786-O (VHL mutated) cells are incubated separately with a specific PPARα agonist, WY14,643, or a specific PPARα antagonist, GW 6471 at concentrations from 12.5 to 100 μM for 72 hours, and cell viability is assessed. While WY14,643 either has no affect on, or slightly increased, cell viability, GW 6471 significantly and dose-dependently inhibits cell viability (up to approximately 80%) in both cell lines[2].To test the antitumor activity of PPARα antagonism in vivo, a subcutaneous xenograft mouse model is used. Caki-1 cells are implanted subcutaneously in nude (Nu/Nu) mice. After tumor masses reach ~5 mm in diameter, GW 6471 is administrated intraperitoneally every other day for 4 wk at a dose (20 mg/kg mouse body wt) that is described to be effective in an in vivo dose-response study and confirmed here to be efficacious. There are significant differences in tumor growth between vehicle- and GW 6471-treated animals. No toxicity is orved at the doses of GW 6471 based on weights of the animals, and laboratory values, including kidney and liver function tests, are not adversely affected. To demonstrate on-target effects of GW 6471, c-Myc levels are evaluated in the tumors, which show significant decreases in the GW 6471-treated animals[3].
注意事项:
抗逆滴加序列
每次向板内滴加抗原时,移液器滴头要与平面45度悬空,不要触碰到孔内的液体,由后向前依次滴加(即浓度由低往高滴加)。
抗感染反应期
抗原抗体在室温20~25℃下,必须反应30min以上,若环境温度低于室温,可将微量反应板置于恒温培养箱中,使二者充分反应。
旅游温度
磷酸盐缓冲液的pH值要在高压灭菌后进行滴定,往往在高压后pH值会有所改变,所以高压后再调一次pH值更为准确。磷酸盐缓冲液一经使用保存期不要超过3周。当pH<5.8时,红细胞会产生自凝现象;当pH>7.8时,图形洗脱加快,易造成肉眼观察产生误差;p H=7.2时,红细胞沉降最充分,图形最清晰。
当滴注 1%红细胞悬液时,应经常摇晃红细胞悬液,使红细胞均匀地分布在磷酸缓冲液中,以防止红细胞下降。
反应时间及温度
加入鸡红血球之后,反应板在室温(20~25℃)静置30~40min,对照孔血球下沉于孔底,即可判定结果。若室温达不到实验要求,需相应调整反应时间。当环境温度低于4℃时,红细胞发生自凝;高于37℃时,会发生反应物分离和红细胞溶血。
使用方法:
1.本蛋白酶抑制剂混合物为100×的储存液,使用时按照1:100的比例加入到裂解液中(例如,1ml裂解液中加入10μl蛋白酶抑制剂混合物),混匀后即可使用。根据需要,0.5M的EDTA也按照1:100的比例加入到裂解液中(如用于检测金属蛋白酶活性,则不宜添加EDTA)。含有蛋白酶抑制剂混合物的裂解液宜现用现配,不宜配制后冻存待后续使用。
2. 待所需的抑制剂添加完毕混匀后,就可以开始进行哺乳动物组织的裂解和蛋白提取。
公司正在出售的产品:
| Recombnant Human MAPKAPK3, N-H | Recombnant Fatty Acd Hydroxylae (FAAH) |
| Recombnant oleucyl tRNA ynthetae 2, Mtochondral (AR2) | 自然杀伤细胞凝集素样受体3(Ly 49c)封闭多肽 |
| Recombnant Htdyl tRNA ynthetae 2, Mtochondral (HAR2) | ra基因相关蛋白Rab30封闭多肽 |
| Recombnant Proten Argnne Methyltranferae 1 (PRMT1) | GDNF家族受体α4封闭多肽 GDNFRα4 |
| Recombnant Hydroxyacylglutathone Hydrolae (HAGH) | 芳香烃受体封闭多肽 |
| Recombnant Acyl Coenzyme A ynthetae Long Chan Famly, Member 3 (ACL3) | 胶质瘤发病相关蛋白1封闭多肽 |
| Recombnant Proteaome ubunt Beta Type 4 (PMb4) | 分泌性蛋白RPO1封闭多肽 |
| Recombnant Phophatdc Acd Phophatae Type 2C (AP2C) | 葡萄糖醛酸差向异构酶封闭多肽 |
| Recombnant Tet pecfc Knae 2 (TEK2) | 溶血磷脂酰基转移酶5封闭多肽 |
| Recombnant Aparagnyl tRNA ynthetae 2, Mtochondral (NAR2) | Kelch样蛋白15封闭多肽 |
| Recombnant Eterae D (ED) | 磷酸化KB抑制蛋白激酶γ封闭多肽 |
| Recombnant N-Acetylneuramnc Acd Phophatae (NANP) | 调节因子X相关锚蛋白RFXANK封闭多肽 |
| Recombnant Acyl Coenzyme A ynthetae hort Chan Famly, Member 1 (AC1) | GW 6471线粒体核糖体蛋白L51封闭多肽 |
| Recombnant Exotoe 2 (EXT2) | α酪蛋白封闭多肽 |
| 细胞分裂周期蛋白14B封闭多肽 | FAM212B蛋白封闭多肽 |
风险提示:丁香通仅作为第三方平台,为商家信息发布提供平台空间。用户咨询产品时请注意保护个人信息及财产安全,合理判断,谨慎选购商品,商家和用户对交易行为负责。对于医疗器械类产品,请先查证核实企业经营资质和医疗器械产品注册证情况。
文献和实验magichunter 我在文献中查到,PPARr拮抗剂GW9662可以抑制药物的抗炎作用,前提是药物是通过激活PPARr来实现其抗炎作用的。即炎症细胞中的炎症因子(如:NO)升高,加入抗炎药物后,NO水平降低,当同时给予GW9662和该抗炎药物时,该药物的抗炎作用被抑制,NO水平再次升高。以上是文献的报道,但是我在实验时发现,加入了抗炎药物+GW9662后,NO的水平不但没有升高,反而降低了(与单独抗炎药物组相比),不知这是怎么回事? chp
. A new drug candidate belonging to the family of the peroxisome proliferator-activated receptor-delta agonists termed GW1516 (also referred to as GW501516) has been prohibited by the World Anti-Doping Agency in 2009
有一种胖,反而有利于心血管健康!「肥胖悖论」新证据,源于脂肪
-HFD 喂养的 adipo-FtMT 小鼠心脏组织的蛋白质羰基化水平显著升高,且线粒体 H2O2 产生水平较对照小鼠显著增加。研究者根据这些数据提出大胆假设,即体内存在一种内分泌机制将促氧化信号从脂肪细胞传递到心肌。接下来,研究者通过纳米粒子追踪分析测量,发现食用 dox-HFD 3 周的 Adipo-FtMT 小鼠的循环 sEV 水平显著升高。进一步,利用中性鞘磷脂酶抑制剂 GW4869 阻断外泌体的产生,实验结果表明 dox-HFD 喂食 4 小时后,GW4869 完全阻止了 adipo
技术资料暂无技术资料 索取技术资料








