相关产品推荐更多 >
万千商家帮你免费找货
0 人在求购买到急需产品
- 详细信息
- 技术资料
- 库存:
21
- 英文名:
Thielavin A
- CAS号:
71950-66-8
- 供应商:
上海莼试
- 保存条件:
Store at -20°C
- 规格:
500μg 2.5mg
商品属性:
产品描述:
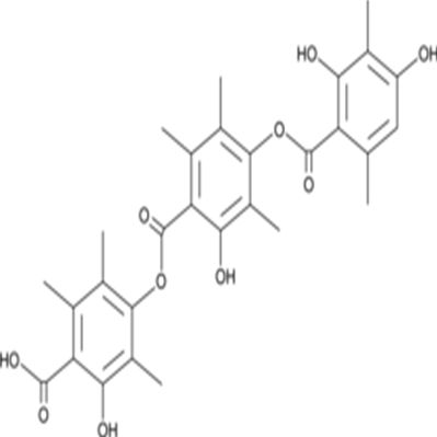
分子式:C29H30O10

分子量:538.5
溶解度:Soluble in DMSO
储存条件:Store at -20°C
General tips:For obtaining a higher solubility , please warm the tube at 37 ℃ and shake it in the ultrasonic bath for a while.
Shipping Condition:Evaluation sample solution : ship with blue ice All other available size: ship with RT , or blue ice upon request
Thielavin A is a fungal metabolite originally isolated from T. terricola that is related to thielavin B . Thielavin A inhibits COX, blocking both the conversion of arachidonic acid to prostaglandin H2 and the conversion of PGH2 to PGE2 . Thielavin A also inhibits glucose-6-phosphatase in rat liver microsomes (IC50 = 4.6 μM). It is a non-competitive inhibitor of α-glucosidase from S. cerevisiae (IC50 = 23.8 μM; Ki = 27.8 μM).
注意事项:
抗逆滴加序列
每次向板内滴加抗原时,移液器滴头要与平面45度悬空,不要触碰到孔内的液体,由后向前依次滴加(即浓度由低往高滴加)。
抗感染反应期
抗原抗体在室温20~25℃下,必须反应30min以上,若环境温度低于室温,可将微量反应板置于恒温培养箱中,使二者充分反应。
旅游温度
磷酸盐缓冲液的pH值要在高压灭菌后进行滴定,往往在高压后pH值会有所改变,所以高压后再调一次pH值更为准确。磷酸盐缓冲液一经使用保存期不要超过3周。当pH<5.8时,红细胞会产生自凝现象;当pH>7.8时,图形洗脱加快,易造成肉眼观察产生误差;p H=7.2时,红细胞沉降最充分,图形最清晰。
当滴注 1%红细胞悬液时,应经常摇晃红细胞悬液,使红细胞均匀地分布在磷酸缓冲液中,以防止红细胞下降。
反应时间及温度
加入鸡红血球之后,反应板在室温(20~25℃)静置30~40min,对照孔血球下沉于孔底,即可判定结果。若室温达不到实验要求,需相应调整反应时间。当环境温度低于4℃时,红细胞发生自凝;高于37℃时,会发生反应物分离和红细胞溶血。
使用方法:
1.本蛋白酶抑制剂混合物为100×的储存液,使用时按照1:100的比例加入到裂解液中(例如,1ml裂解液中加入10μl蛋白酶抑制剂混合物),混匀后即可使用。根据需要,0.5M的EDTA也按照1:100的比例加入到裂解液中(如用于检测金属蛋白酶活性,则不宜添加EDTA)。含有蛋白酶抑制剂混合物的裂解液宜现用现配,不宜配制后冻存待后续使用。
2. 待所需的抑制剂添加完毕混匀后,就可以开始进行哺乳动物组织的裂解和蛋白提取。
公司正在出售的产品:
| 货号 | CS-01Y69027 | 规格 | 500μg 2.5mg |
| CAS号 | 71950-66-8 | 分子量 | 538.5 |
| 含量 | >95.00% | 别名 | N/A |
| 分子式 | C29H30O10 | 化学名 | N/A |
| 产地 | 国产 | 用途 | 仅供科研研究实验 |
分子式:C29H30O10

分子量:538.5
溶解度:Soluble in DMSO
储存条件:Store at -20°C
General tips:For obtaining a higher solubility , please warm the tube at 37 ℃ and shake it in the ultrasonic bath for a while.
Shipping Condition:Evaluation sample solution : ship with blue ice All other available size: ship with RT , or blue ice upon request
Thielavin A is a fungal metabolite originally isolated from T. terricola that is related to thielavin B . Thielavin A inhibits COX, blocking both the conversion of arachidonic acid to prostaglandin H2 and the conversion of PGH2 to PGE2 . Thielavin A also inhibits glucose-6-phosphatase in rat liver microsomes (IC50 = 4.6 μM). It is a non-competitive inhibitor of α-glucosidase from S. cerevisiae (IC50 = 23.8 μM; Ki = 27.8 μM).
注意事项:
抗逆滴加序列
每次向板内滴加抗原时,移液器滴头要与平面45度悬空,不要触碰到孔内的液体,由后向前依次滴加(即浓度由低往高滴加)。
抗感染反应期
抗原抗体在室温20~25℃下,必须反应30min以上,若环境温度低于室温,可将微量反应板置于恒温培养箱中,使二者充分反应。
旅游温度
磷酸盐缓冲液的pH值要在高压灭菌后进行滴定,往往在高压后pH值会有所改变,所以高压后再调一次pH值更为准确。磷酸盐缓冲液一经使用保存期不要超过3周。当pH<5.8时,红细胞会产生自凝现象;当pH>7.8时,图形洗脱加快,易造成肉眼观察产生误差;p H=7.2时,红细胞沉降最充分,图形最清晰。
当滴注 1%红细胞悬液时,应经常摇晃红细胞悬液,使红细胞均匀地分布在磷酸缓冲液中,以防止红细胞下降。
反应时间及温度
加入鸡红血球之后,反应板在室温(20~25℃)静置30~40min,对照孔血球下沉于孔底,即可判定结果。若室温达不到实验要求,需相应调整反应时间。当环境温度低于4℃时,红细胞发生自凝;高于37℃时,会发生反应物分离和红细胞溶血。
使用方法:
1.本蛋白酶抑制剂混合物为100×的储存液,使用时按照1:100的比例加入到裂解液中(例如,1ml裂解液中加入10μl蛋白酶抑制剂混合物),混匀后即可使用。根据需要,0.5M的EDTA也按照1:100的比例加入到裂解液中(如用于检测金属蛋白酶活性,则不宜添加EDTA)。含有蛋白酶抑制剂混合物的裂解液宜现用现配,不宜配制后冻存待后续使用。
2. 待所需的抑制剂添加完毕混匀后,就可以开始进行哺乳动物组织的裂解和蛋白提取。
公司正在出售的产品:
| Recombnant Moue CCL3/MP-1a proten ,N- H Tag | Recombnant Moue L-7 |
| Recombnant Moue L-9 | FAM200A蛋白封闭多肽 |
| Recombnant Moue Kallkren 14 | 半乳糖凝集素14封闭多肽 |
| Recombnant Moue Kallkren 8 | 白细胞介素29封闭多肽 |
| Recombnant Moue KGF | 线粒体琥珀酸脱氢酶D封闭多肽 |
| Recombnant Moue Lactate Dehydrogenae B | 谷氨酸受体NMDAζ2封闭多肽 |
| Recombnant Moue Leguman | 磷酸化Rho相关蛋白激酶2封闭多肽 |
| Recombnant Moue LF | 磷酸化视网膜母细胞瘤相关蛋白1封闭多肽 |
| Recombnant Moue Lpocaln-2 | 磷酸化淋巴细胞特异性蛋白酪氨酸激酶封闭多肽 |
| Recombnant Moue lver FABP | GATA结合蛋白1伴侣蛋白封闭多肽 |
| Recombnant Moue LRPAP1 | 增食欲素A/欲激素A封闭多肽 |
| Recombnant Moue LTA | 神经前体细胞发育下调蛋白4封闭多肽 |
| Recombnant Moue LXN | Thielavin A磷酸化核因子κB抑制蛋白α封闭多肽体 |
| Recombnant Moue LY6E | 亲和素 |
| 组蛋白去乙酰化酶3封闭多肽 | 细胞角蛋白74封闭多肽 |
风险提示:丁香通仅作为第三方平台,为商家信息发布提供平台空间。用户咨询产品时请注意保护个人信息及财产安全,合理判断,谨慎选购商品,商家和用户对交易行为负责。对于医疗器械类产品,请先查证核实企业经营资质和医疗器械产品注册证情况。
技术资料暂无技术资料 索取技术资料
Thielavin A
¥600 - 3200








