相关产品推荐更多 >
万千商家帮你免费找货
0 人在求购买到急需产品
- 详细信息
- 技术资料
- 库存:
49
- 英文名:
Isoforskolin
- CAS号:
64657-21-2
- 保质期:
2年
- 供应商:
上海联祖
- 保存条件:
4℃冷藏、密封、避光
- 规格:
20mg/支
绝对定量的标准品如何制作?
绝对定量是指在实时荧光定量 PCR 实验中,对已知量的样本进行连续稀释后扩增,生成标准曲线。然后通过与此曲线比较,定量未知样本,绝对定量可测定靶点的实际拷贝数。
包括以下三个步骤:
(1) 将标准品稀释成不同浓度,作为模板进行扩增;
(2) 以标准品拷贝数的对数值为横坐标,以测得的Ct值为纵坐标绘制标准曲线;
(3) 根据未知样品的Ct值,即可在标准曲线中获得样品的拷贝数。
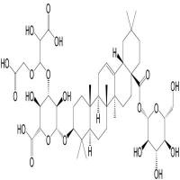
分子结构:
外观:白色晶体
提取来源: 鄂尔多斯半日花(Helianthemumordosicum)
用途:用于含量测定/鉴定/药理实验等。
纯度:HPLC≥98%
分析方法: HPLC-DAD or/and HPLC-ELSD
鉴定方法: 质谱(Mass), 核磁(NMR)
贮存条件:4℃冷藏、密封、避光
有效期:2年
供货能力:大量现货
DNA标准品-
纯化的PCR扩增片段或含有目的基因的克隆质粒。
优点:易制备,储存稳定;
缺点:缺少逆转录反应过程。
-RNA标准品-
目的基因的体外转录RNA。
优点:结合逆转录反应过程;
缺点:制备时间长,不稳定。
标准溶液配制常见问题
1. 标准品的取用一般有称量法和容量法,在称量的时候有什么注意事项呢?
根据需要称量的重量和允许误差选择合适的天平。如称量少于10mg的产品,建议使用十万分之一的分析天平。在购买产品时也要注意产品的重量能否满足实验需求。以下是一些建议:
a.称量前:建议将产品直立放置一段时间(放至室温),使产品全部集中到底部,便于取用。尤其是黏稠状物质,可以倾斜至与竖直方向呈45度,使产品集中在瓶底边缘。
b.粉末或晶体:建议采用增量法称量,准备合适的干燥容器,天平归零后取产品放至容器内,得出容器中用于配制标准溶液的物质重量。
异佛司可林64657-21-2c.粘稠状或液体:建议采用增量法称量,先称量原产品连瓶一起的重量,再用适当器具移取所需标准品至容器中,称量移取后的产品连瓶重量,其差值为实际用于配制标准溶液的重量。
d.如果瓶盖上粘有物质,可以在减量法称量时连瓶盖一起称量,移取产品时注意使用干燥的器具
SNAP47 Antibody Blocking Peptide Kallikrein 10(KLK10)ELISA Kit
phospho-AR (Ser578) Antibody Blocking Peptide Kallikrein 1(KLK1)ELISA Kit
phospho-LATS2 (Ser83) Antibody Blocking Peptide kaliuretic peptide,KP ELISA Kit
DMRTC1 Antibody Blocking Peptide Kalirin(KALRN)ELISA Kit
SCRG1 Antibody Blocking Peptide K-Acetyltransferase 5(KAT5)ELISA Kit
PGA3 Antibody Blocking Peptide K-Acetyltransferase 2B(KAT2B)ELISA Kit
SLC6A18 Antibody Blocking Peptide K-Acetyltransferase 2A(KAT2A)ELISA Kit
EME2 Antibody Blocking Peptide Juxtanodin(JN)ELISA Kit
Histone H3, family 3A Antibody Blocking Peptide Junctophilin 4(JPH4)ELISA Kit
GBP2 Antibody Blocking Peptide Junctophilin 3(JPH3)ELISA Kit
MAP1B Antibody Blocking Peptide Junctophilin 2(JPH2)ELISA Kit
ENPEP Antibody Blocking Peptide Junctophilin 1(JPH1)ELISA Kit
SAGE1 Antibody Blocking Peptide Junctional Adhesion Molecule 3(JAM3)ELISA Kit
phospho-AKT3 (Ser472) Antibody Blocking Peptide Junctional Adhesion Molecule 1(JAM1)ELISA Kit
NRROS Antibody Blocking Peptide Junction Plakoglobin(JUP)ELISA Kit
Mafa Antibody Blocking Peptide JUN MAPK ELISA Kit
ADORA2A Antibody Blocking Peptide Jo1/HRS ELISA Kit
Sialidase 3 Antibody Blocking Peptide Jo-1 Antibody,Jo1/HRS ELISA Kit
EP300 Antibody Blocking Peptide JE ELISA Kit
绝对定量是指在实时荧光定量 PCR 实验中,对已知量的样本进行连续稀释后扩增,生成标准曲线。然后通过与此曲线比较,定量未知样本,绝对定量可测定靶点的实际拷贝数。
包括以下三个步骤:
(1) 将标准品稀释成不同浓度,作为模板进行扩增;
(2) 以标准品拷贝数的对数值为横坐标,以测得的Ct值为纵坐标绘制标准曲线;
(3) 根据未知样品的Ct值,即可在标准曲线中获得样品的拷贝数。
异佛司可林64657-21-2
| 产品中文名称 | 异佛司可林 | 英文名 | Isoforskolin |
| CAS登录号 | 64657-21-2 | 货号 | LZ-BP3350 |
| 分子式 | C22H34O7 | 纯度 | HPLC≥98% |
| 分子量 | 410.5 | 分析方法 | HPLC-DAD or/and HPLC-ELSD |
| 鉴定方法 | Mass, NMR | 规格 | 20 mg/支 |
外观:白色晶体
提取来源: 鄂尔多斯半日花(Helianthemumordosicum)
用途:用于含量测定/鉴定/药理实验等。
纯度:HPLC≥98%
分析方法: HPLC-DAD or/and HPLC-ELSD
鉴定方法: 质谱(Mass), 核磁(NMR)
贮存条件:4℃冷藏、密封、避光
有效期:2年
供货能力:大量现货
DNA标准品-
纯化的PCR扩增片段或含有目的基因的克隆质粒。
优点:易制备,储存稳定;
缺点:缺少逆转录反应过程。
-RNA标准品-
目的基因的体外转录RNA。
优点:结合逆转录反应过程;
缺点:制备时间长,不稳定。
标准溶液配制常见问题
1. 标准品的取用一般有称量法和容量法,在称量的时候有什么注意事项呢?
根据需要称量的重量和允许误差选择合适的天平。如称量少于10mg的产品,建议使用十万分之一的分析天平。在购买产品时也要注意产品的重量能否满足实验需求。以下是一些建议:
a.称量前:建议将产品直立放置一段时间(放至室温),使产品全部集中到底部,便于取用。尤其是黏稠状物质,可以倾斜至与竖直方向呈45度,使产品集中在瓶底边缘。
b.粉末或晶体:建议采用增量法称量,准备合适的干燥容器,天平归零后取产品放至容器内,得出容器中用于配制标准溶液的物质重量。
异佛司可林64657-21-2c.粘稠状或液体:建议采用增量法称量,先称量原产品连瓶一起的重量,再用适当器具移取所需标准品至容器中,称量移取后的产品连瓶重量,其差值为实际用于配制标准溶液的重量。
d.如果瓶盖上粘有物质,可以在减量法称量时连瓶盖一起称量,移取产品时注意使用干燥的器具
SNAP47 Antibody Blocking Peptide Kallikrein 10(KLK10)ELISA Kit
phospho-AR (Ser578) Antibody Blocking Peptide Kallikrein 1(KLK1)ELISA Kit
phospho-LATS2 (Ser83) Antibody Blocking Peptide kaliuretic peptide,KP ELISA Kit
DMRTC1 Antibody Blocking Peptide Kalirin(KALRN)ELISA Kit
SCRG1 Antibody Blocking Peptide K-Acetyltransferase 5(KAT5)ELISA Kit
PGA3 Antibody Blocking Peptide K-Acetyltransferase 2B(KAT2B)ELISA Kit
SLC6A18 Antibody Blocking Peptide K-Acetyltransferase 2A(KAT2A)ELISA Kit
EME2 Antibody Blocking Peptide Juxtanodin(JN)ELISA Kit
Histone H3, family 3A Antibody Blocking Peptide Junctophilin 4(JPH4)ELISA Kit
GBP2 Antibody Blocking Peptide Junctophilin 3(JPH3)ELISA Kit
MAP1B Antibody Blocking Peptide Junctophilin 2(JPH2)ELISA Kit
ENPEP Antibody Blocking Peptide Junctophilin 1(JPH1)ELISA Kit
SAGE1 Antibody Blocking Peptide Junctional Adhesion Molecule 3(JAM3)ELISA Kit
phospho-AKT3 (Ser472) Antibody Blocking Peptide Junctional Adhesion Molecule 1(JAM1)ELISA Kit
NRROS Antibody Blocking Peptide Junction Plakoglobin(JUP)ELISA Kit
Mafa Antibody Blocking Peptide JUN MAPK ELISA Kit
ADORA2A Antibody Blocking Peptide Jo1/HRS ELISA Kit
Sialidase 3 Antibody Blocking Peptide Jo-1 Antibody,Jo1/HRS ELISA Kit
EP300 Antibody Blocking Peptide JE ELISA Kit
风险提示:丁香通仅作为第三方平台,为商家信息发布提供平台空间。用户咨询产品时请注意保护个人信息及财产安全,合理判断,谨慎选购商品,商家和用户对交易行为负责。对于医疗器械类产品,请先查证核实企业经营资质和医疗器械产品注册证情况。
技术资料暂无技术资料 索取技术资料
异佛司可林64657-21-2
¥500 - 3800









