相关产品推荐更多 >
万千商家帮你免费找货
0 人在求购买到急需产品
- 详细信息
- 文献和实验
- 技术资料
- 保存条件:
Powder:-20℃,2 years;Insolvent(母液):-20℃,6 months;-80℃,1 year 其它标识
- 保质期:
Powder:-20℃,2 years;Insolvent(母液):-20℃,6 months;-80℃,1 year 其它标识
- 英文名:
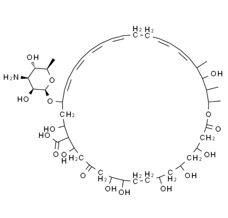
Nystatin
- 库存:
现询
- 供应商:
北京索莱宝科技有限公司
- CAS号:
1400-61-9
- 规格:
100mg/10mM*1mL in DMSO/500mg
| 规格: | 100mg | 产品价格: | ¥460.0 |
|---|---|---|---|
| 规格: | 10mM*1mL in DMSO | 产品价格: | ¥490.0 |
| 规格: | 500mg | 产品价格: | ¥490.0 |
Nystatin是一种有效的多烯类抗真菌抗生素 ,对酵母和支原体有效。可增加质膜对包括氯离子等小单价离子的通透性。是一种胆固醇隔离试剂,可部分阻止Oxaliplatin 诱导的脂筏聚集、DR4和DR5聚集,从而减少细胞凋亡。




是一种有效的多烯类抗真菌抗生素 ,对酵母和支原体有效。可增加质膜对包括氯离子等小单价离子的通透性。是一种胆固醇隔离试剂,可部分阻止Oxaliplatin 诱导的脂筏聚集、DR4和DR5聚集,从而减少细胞凋亡。
风险提示:丁香通仅作为第三方平台,为商家信息发布提供平台空间。用户咨询产品时请注意保护个人信息及财产安全,合理判断,谨慎选购商品,商家和用户对交易行为负责。对于医疗器械类产品,请先查证核实企业经营资质和医疗器械产品注册证情况。
文献和实验Bionic natural small molecule co-assemblies towards targeted and synergistic Chemo/PDT/CDT
|
AuthorFu Shiyao, Wang Mingao, Li Bin, Li Xu, Cheng Jianjun, Zhao Haitian, Zhang Hua, Dong Aijun, Lu Weihong, Yang Xin
|
Publish_toBiomaterials Research
|
|
IF15.8630
|
PMID37161611
|
%和10.07%;药敏结果中:两性霉素B、制霉菌素均有90%以上的敏感率,特比萘芬对白色念珠菌的敏感率仅6.3%,但对热带念珠菌的敏感率为100%。结论 加强临床真菌分离菌株对抗菌药物耐药性的关注、根据药敏试验合理应用抗真菌药物十分重要。 【关键词】 念珠菌;感染特性;耐药性 1182 The Stub beads germ infection characteristic and bear a medi cine
。 真菌的耐药性即抗真菌药物对真菌感染治疗失败。临床上患者通常通过 3 种途径感染耐药真菌: (1) 患者体内定植或感染的真菌发生基因突变,从而产生耐药, (2) 由于药物的选择压力作用,使患者体内原有或感染的天然耐药的非优势菌成为优势菌。 (3) 患者一开始就被耐药的真菌感染。判断真菌耐药需首先排除其他可能造成抗感染失败的因素,如患者的免疫状态,药物之间的相互作用,抗真菌剂的剂量等。 1 、作用于真菌细胞膜的抗真菌药物及其耐药机制
无菌操作技术体外培养细胞缺乏抗感染能力,所以防止污染是决定培养成功或失败的首要条件。即便使用设备完善的实验室,若实验者粗心大意,技术操作不规范,也会导致污染。因而,为在一切操作中最大可能地保证无菌,每一项工作都必须做到有条不紊和完全可靠。Terms to remember消毒(disinfection)和消毒剂(disinfectant)灭菌(sterilization)防腐(antisepsis)和防腐剂抑菌(bacteriostasis)和抑菌剂(bacteriostatic)无菌











