相关产品推荐更多 >
万千商家帮你免费找货
0 人在求购买到急需产品
- 详细信息
- 文献和实验
- 技术资料
- 库存:
42
- 英文名:
DAPTA (acetate)
- 供应商:
上海莼试
- 保存条件:
-20°C
- 规格:
5mg 25mg 50mg 100mg
| 产品名称 | DAPTA (acetate) | 产品货号 | CS-01Y72078 |
| 规格 | 5mg 25mg 50mg 100mg | CAS号 | N/A |
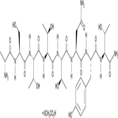
| 含量 | >98.00% | 分子式 | C35H56N10O15 XC2H4O2 |
| 分子量 | 856.9 | 用途 | 仅供科研研究使用 |

DAPTA (acetate)规格:5mg 25mg 50mg 100mg
CAS:N/A
别名:N/A
化学名:N/A
分子式:C35H56N10O15 XC2H4O2

分子量:856.9
溶解度:DMSO: 1 mg/ml,DMSO:PBS (pH 7.2) (1:4): 0.20 mg/ml
储存条件:-20°C
General tips:For obtaining a higher solubility , please warm the tube at 37 ℃ and shake it in the ultrasonic bath for a while.
Shipping Condition: Evaluation sample solution : ship with blue ice All other available size: ship with RT , or blue ice upon request
产品描述:

DAPTA is a peptide antagonist of chemokine (C-C motif) receptor 5 (CCR5).1 It inhibits CD4-dependent binding of HIV-1Ba-L and HIV-1CM235 gp120 envelope proteins to CCR5 (IC50s = 0.06 and 0.32 nM, respectively). DAPTA (0.1 mg/kg, i.p.) reduces marble burying and repetitive behavior, as well as decreases brain levels of IL-6, IL-9, and IL-17A, in the BTBR T+ Itpr3tf/J mouse model of autism spectrum disorder (ASD).2 It also reduces LPS-induced microglial activation and astrocyte hypertrophy in the dentate gyrus in a rat model of chronic neuroinflammation.31.Polianova, M.T., Ruscetti, F.W., Pert, C.B., et al.Chemokine receptor-5 (CCR5) is a receptor for the HIV entry inhibitor peptide T (DAPTA)Antiviral Res.67(2)83-92(2005) 2.Ahmad, S.F., Ansari, M.A., Nadeem, A., et al.DAPTA, a C-C chemokine receptor 5 (CCR5) antagonist attenuates immune aberrations by downregulating Th9/Th17 immune responses in BTBR T + Itpr3tf/J miceEur. J. Pharmacol.846100-108(2019) 3.Rosi, S., Pert, C.B., Ruff, M.R., et al.Chemokine receptor 5 antagonist D-Ala-peptide T-amide reduces microglia and astrocyte activation within the hippocampus in a neuroinflammatory rat model of Alzheimer's diseaseNeuroscience134(2)671-676(2005)
使用方法:

1. 常用筛选浓度
注意:用来筛选稳转株的工作浓度需要根据细胞类型,培养基,生长条件和细胞代谢率而变化,推荐使用浓度为50-1000μg/mL。对于第一次使用的实验体系建议通过建立杀灭曲线(kill curve),即剂量反应性曲线,来确定最佳筛选浓度。
一般而言,哺乳动物细胞50-500μg/mL;细菌/植物细胞20-200μg/mL;真菌300-1000μg/mL。
2. 杀灭曲线的建立
注意:为了筛选得到稳定表达目的蛋白的细胞株,需要确定能够杀死未转染宿主细胞的抗生素浓度,可通过建立杀灭曲线(剂量反应曲线)来实现,至少选择5个浓度。
1) 第一天:未转化的细胞按照20-25%的细胞密度铺在合适的培养板上,37℃,CO2培养过夜;注:对于需要更高密度来检测活力的细胞,可增加接种量。
2) 根据细胞类型,设定合适范围内的浓度梯度。以哺乳动物细胞为例,可设定50,100,250,500,750,1000μg/mL。先用去离子水或者PBS buffer按照1:10的比例将母液稀释到5 mg/ml,然后按照下表稀释到相应浓度的工作液。
3) 第二天:替换旧的培养基,换用新鲜配制的含有相应浓度药物的培养基。每个浓度做三个平行孔。
4) 接下来每3-4天更换新的含药物培养基。
5) 按照固定的周期(如每2天)进行活细胞计数来确定阻止未转染细胞生长的恰当浓度。选择在理想的天数(通常是7-10天)内能够杀死绝大多数细胞的浓度为稳定转染细胞筛选用的工作浓度。
3. 稳定转染细胞的筛选
1) 转染48h后,用含有适当浓度的潮霉素B筛选培养基来传代细胞(直接传代或者稀释后传代)。
注意:细胞处于活跃分裂状态时抗生素的杀伤。则当细胞过于稠密,其效率会降低。为了得到较好的筛选效果,最好将细胞稀释至丰度不超过25%
2) 每隔3-4天更换含有药物的筛选培养液。
3) 筛选7天后观察并评估细胞克隆(集落)的形成情况。集落的形成可能还需要一周或者更多的时间,这取决于宿主细胞类型,转染,以及筛选效果。
4) 挑取并转移5-10个抗性克隆于35mm细胞培养板,继续用含药物的筛选培养液维持培养7天。
5) 之后更换正常培养基培养即可。
公司正在出售的产品:

| 9-Methoxyellipticine | S.pombe lumazine synthase-IN-1 |
| Chlorphenesin | Parathyroid hormone,PTH ELISA Kit |
| Sulfabrom (N 3517) | Alpha-fetoprotein,AFP ELISA Kit |
| N-Glycolylneuraminic acid | Prostaglandin D2-methoxime,PGD2-MOX ELISA Kit |
| Bronopol (BNPD) | formylmethionine,fMet ELISA Kit |
| Helvolic Acid | AFP-L3 ELISA Kit |
| Mezlocillin (sodium salt) | AFP-L1 ELISA Kit |
| Sofosbuvir impurity G | 大鼠破骨细胞分化因子(ODF)ELISA Kit |
| Nifuratel | Parathyroid hormone1-34,PTH 1-34 ELISA Kit |
| 3-Deazaadenosine hydrochloride | Parathyroid Pormone 1 Receptor,PTH1R ELISA Kit |
| BRL44385 | Parathyroid Hormone Related Protein,PTHrP ELISA Kit |
| Entecavir (BMS200475) | parathyroid hormone-like protein,PLP ELISA Kit |
| Cefpiramide sodium (SM-1652) | DAPTA (acetate)thyroid stimulating immunoglobulin,TSI ELISA Kit |
| Dacomitinib (PF299804, PF299) | thyroid hormone autoantibodies,THAA ELISA Kit |
| Thyroxine-Binding Globulin Assay,TBG ELISA Kit | Thyroid-Peroxidase,TPO ELISA Kit |
蛋白酶抑制剂混合物实验步骤:

(1)实验开始前将RNA提取液于65℃水浴锅中预热,离心管中加入ME(巯基乙醇),(10mL加80ul,50mL中加入300ul)
(2)取约0.8g菌丝体(液体培养获得的菌丝用真空抽滤即可!固体培养就更好说了),在液氮中迅速磨成精细粉末,装入50mL离心管,按1g材料8mL的量加入预热的RNA提取液,颠倒混匀
(3)65℃水浴3-10 min,期间混匀2-3次
(4)加入等体积的酚(注意是酸酚pH4.5)::yi戊醇(25:24:1)抽提(10,000rpm,4℃,5 min)
(5)取上清,等体积的yi戊醇(24:1)抽提(10,000rpm,4℃,5 min)
(6)加入1/4V体积10M LiCl溶液,4℃放置6h以上(或过夜)
(7)10,000rpm,4℃离心20min
(8)弃上清,用500ul SSTE溶解沉淀
(9)酚::yi戊醇(25:24:1)抽提两次,:yi戊醇(24:1)抽提1次(10,000rpm,4℃,5min)
(10)加2V体积的无水乙醇,在-70℃冰箱沉淀30min以上
(11)12,000rpm,4℃离心20 min
(12)弃上清.沉淀用70%酒精漂洗一次,干燥
(13)加200ul的DEPC处理水溶解
(14)用非变性琼脂糖凝胶电泳和紫外分光光度计扫描检测RNA的质量(在抽提过程中,若蛋白质含量或其它的杂质还较多,可以增加抽提次数)
风险提示:丁香通仅作为第三方平台,为商家信息发布提供平台空间。用户咨询产品时请注意保护个人信息及财产安全,合理判断,谨慎选购商品,商家和用户对交易行为负责。对于医疗器械类产品,请先查证核实企业经营资质和医疗器械产品注册证情况。
文献和实验Silver Acetate Autometallography (AMG)
hybridization, in situ PCR and in situ 3SR techniques were born. Silver Acetate AMG was developed and optimized during research visits of Gerhard W. HACKER at the University of Uppsala, Sweden, in joint collaboration with Gorm DANSCHER (Aarhus, DK) and Lars
Sodium Acetate Precipitation of Small Nucleic Acids
实验步骤 1. Add 2 μl carrier to the nucleic acid solution and mix well. 2. Add 1:10 volume of 3 M sodium acetate and mix thoroughly; for 230 μl of Lower Running Buffer, this will be 23 μl of 3 M
Acetate Kinase From Methanosarcina thermophila, a Key Enzyme for Methanogenesis
Materials and procedures are described for the overproduction and purification of acetate kinase from Methanosarcina thermophila. Methods are detailed for large-scale preparation of the unaltered enzyme and for overproduction and one-step
技术资料暂无技术资料 索取技术资料








