相关产品推荐更多 >
万千商家帮你免费找货
0 人在求购买到急需产品
- 详细信息
- 文献和实验
- 技术资料
- 库存:
30
- 英文名:
Adefovir-d4
- CAS号:
1190021-70-5
- 供应商:
上海莼试
- 保存条件:
Store at -20°C
- 规格:
2.5 mg
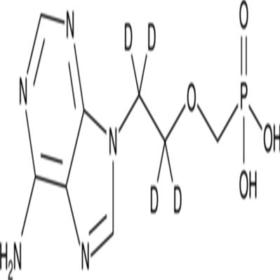
分子式:C8H8D4N5O4P

分子量:277.2
溶解度:DMSO: soluble
储存条件:Store at -20°C
General tips:For obtaining a higher solubility , please warm the tube at 37 ℃ and shake it in the ultrasonic bath for a while.
Shipping Condition:Evaluation sample solution : ship with blue ice All other available size: ship with RT , or blue ice upon request
Adefovir-d4 is intended for use as an internal standard for the quantification of adefovir by GC- or LC-MS. Adefovir is an active metabolite of the antiviral nucleoside analog adefovir dipivoxil .1 Adefovir is formed from adefovir dipivoxil by gastrointestinal carboxylesterase 2 (CES2).2 It inhibits cytopathogenicity induced by herpes simplex virus 1 (HSV-1) and HSV-2 (EC50 = 7 μg/ml for both in E6SM cells), HIV-1 and HIV-2 (EC50s = 1.8 and 2.5 μg/ml, respectively, in CEM cells), and varicella zoster virus (VZV; EC50 = 10 μg/ml in human embryonic lung fibroblasts).3 Adefovir (50 mg/kg, p.o.) reduces increases in lymph node viral DNA and serum IgG levels in a mouse model of AIDS induced by infection with the retroviral complex LP-BM5.4 It also inhibits tumor growth induced by Moloney sarcoma virus (MSV) infection in mice at the same dose.51.Arimilli, M.N., Dougherty, J.P., Cundy, K.C., et al.Orally bioavailable acyclic nucleoside phosphonate prodrugs: Adefovir dipivoxil and bis(POC)PMPAAdvances in Antiviral Drug Design369-91(1999) 2.Laizure, S.C., Herring, V., Hu, Z., et al.The role of human carboxylesterases in drug metabolism: Have we overlooked their importance?Pharmacotherapy33(2)210-222(2013) 3.HolY, A., Votruba, I., Masojídková, M., et al.6-[2-(Phosphonomethoxy)alkoxy]pyrimidines with antiviral activityJ. Med. Chem.45(9)1918-1929(2002) 4.Rossi, L., Dominici, S., Serafini, S., et al.Pharmacokinetic and antiretroviral activity in mice of oral [P1,P2-bis[2-(adenin-9-yl)ethoxymethyl]phosphonate], a prodrug of 9-(2-phosphonylmethoxyethyl)adenineJ. Antimicrob. Chemother.50(3)365-374(2002) 5.Naesens, L., Balzarini, J., Bischofberger, N., et al.Antiretroviral activity and pharmacokinetics in mice of oral bis(pivaloyloxymethyl)-9-(2-phosphonylmethoxyethyl)adenine, the bis(pivaloyloxymethyl) ester prodrug of 9-(2-phosphonylmethoxyethyl)adenineAntimicrob. Agents Chemother.40(1)22-28(1996)
商品属性:
| 货号 | CS-01Y71643 | 规格 | 2.5 mg |
| CAS号 | 1190021-70-5 | 分子量 | 277.2 |
| 含量 | >95.00% | 别名 | N/A |
| 分子式 | C8H8D4N5O4P | 化学名 | N/A |
| 产地 | 国产 | 用途 | 仅供科研研究实验 |
抗逆滴加序列
每次向板内滴加抗原时,移液器滴头要与平面45度悬空,不要触碰到孔内的液体,由后向前依次滴加(即浓度由低往高滴加)。
抗感染反应期
抗原抗体在室温20~25℃下,必须反应30min以上,若环境温度低于室温,可将微量反应板置于恒温培养箱中,使二者充分反应。
旅游温度
磷酸盐缓冲液的pH值要在高压灭菌后进行滴定,往往在高压后pH值会有所改变,所以高压后再调一次pH值更为准确。磷酸盐缓冲液一经使用保存期不要超过3周。当pH<5.8时,红细胞会产生自凝现象;当pH>7.8时,图形洗脱加快,易造成肉眼观察产生误差;p H=7.2时,红细胞沉降最充分,图形最清晰。
当滴注 1%红细胞悬液时,应经常摇晃红细胞悬液,使红细胞均匀地分布在磷酸缓冲液中,以防止红细胞下降。
反应时间及温度
加入鸡红血球之后,反应板在室温(20~25℃)静置30~40min,对照孔血球下沉于孔底,即可判定结果。若室温达不到实验要求,需相应调整反应时间。当环境温度低于4℃时,红细胞发生自凝;高于37℃时,会发生反应物分离和红细胞溶血。
公司正在出售的产品:
| 3-Deazaneplanocin A (DZNep) hydrochloride | JP-1302 (hydrochloride hydrate) |
| TFAP | Vitamin D,VD ELISA Kit |
| Catestatin | Vitamin C,VC ELISA Kit |
| (R)-Cetirizine (hydrochloride) | vitamin B3,VB3 ELISA kit |
| 5,7-Dimethoxyluteolin | Vitamin B6,VB6 ELISA Kit |
| L-741,742 hydrochloride | vitamin B2,VB2 ELISA Kit |
| CP-809101 hydrochloride | Vitamin B12,VB12 ELISA Kit |
| Neuropeptide S (rat) | 人鞘磷脂(SM) ELISA检测试剂盒 |
| Spaglumic acid | Vitamin D2,VD2 ELISA Kit |
| SC57666 | Vitamin D3,VD3 ELISA Kit |
| EsculentosideA | Vitamin D-binding protein,DBP ELISA Kit |
| Pitolisant hydrochloride | Vitamin E,VE EELISA Kit |
| Maprotiline-d3 (hydrochloride) | Adefovir-d4Vitamin H,VH ELISA Kit |
| Nanangenine G | Vitamin K1,VK1 ELISA Kit |
| Urotensin Ⅱ ELISA kit | PROZ ELISA kit |
1.本蛋白酶抑制剂混合物为100×的储存液,使用时按照1:100的比例加入到裂解液中(例如,1ml裂解液中加入10μl蛋白酶抑制剂混合物),混匀后即可使用。根据需要,0.5M的EDTA也按照1:100的比例加入到裂解液中(如用于检测金属蛋白酶活性,则不宜添加EDTA)。含有蛋白酶抑制剂混合物的裂解液宜现用现配,不宜配制后冻存待后续使用。
2. 待所需的抑制剂添加完毕混匀后,就可以开始进行哺乳动物组织的裂解和蛋白提取。
风险提示:丁香通仅作为第三方平台,为商家信息发布提供平台空间。用户咨询产品时请注意保护个人信息及财产安全,合理判断,谨慎选购商品,商家和用户对交易行为负责。对于医疗器械类产品,请先查证核实企业经营资质和医疗器械产品注册证情况。
文献和实验总蛋白(包括质膜和细胞器膜蛋白),但费时费力。目前,有一种最新型有效的膜蛋白提取工具,并具有高纯度、高特异性、高载量温和提取的优点。是基于1980年科学家在牛眼视网膜中发现的一种命名为Rho1D4的氨基酸序列以及其对应的抗体来作为亲和标签纯化膜蛋白取得了非常好的效果,将Rho1D4抗体链接在琼脂糖或磁珠上,用于亲和层析带有Rho1D4标签的膜蛋白,能近乎完美的解决这些研究难题。1) 什么是Rho1D4?Rho1D4是指在牛眼视网膜细胞内的牛视紫红质C端的最后九位氨基酸。Rho1D4得名于与该序列
犬白三烯D4(LTD4) 酶联免疫 分析( ELISA ) 试剂 盒使用说明书 本试剂仅供研究使用 目的:本试剂盒用于测定犬血清,血浆及相关液体样本中 白三烯D4(LTD4)的 含量。 实验原理 : 本试剂盒应用双抗体夹心法测定 标本 中 犬 白三烯D4(LTD4) 水平。用纯化的 犬 白三烯D4(LTD4) 抗体包被微孔板,制成固相抗体,往包被单抗的微孔中依次加入 白三烯D4(LTD4) , 再与HRP 标记
上海西唐生物科技有限公司 021-55229872, 65333639 www.westang.com 人白细胞三烯D4 ( LTD4 )ELISA 试剂盒 ( 用于血清、血浆、细胞培养上清液和尿液、唾液生物体液内 ) 原理 本实验采用双抗体夹心 ABC-ELISA 法。用抗人 LTD4 单抗包被于酶标板上,标准品和样品中的 LTD4与单抗结合,加入生物素化的抗人
技术资料暂无技术资料 索取技术资料









