相关产品推荐更多 >
万千商家帮你免费找货
0 人在求购买到急需产品
- 详细信息
- 技术资料
- 库存:
48
- 英文名:
IMP-1700
- CAS号:
1458674-25-3
- 供应商:
上海莼试
- 保存条件:
-20°C
- 规格:
5mg 10mg 25mg
产品描述:
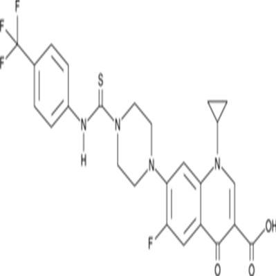
分子式:C25H22F4N4O3S

分子量:534.5
溶解度:DMF: slightly soluble,DMSO: slightly soluble
储存条件:-20°C
General tips:For obtaining a higher solubility , please warm the tube at 37 ℃ and shake it in the ultrasonic bath for a while.
Shipping Condition:Evaluation sample solution : ship with blue ice All other available size: ship with RT , or blue ice upon request
IMP-1700 is an inhibitor of bacterial DNA repair.1 It potentiates the activity of the quinolone antibiotic ciprofloxacin against methicillin-resistant S. aureus (MRSA) with a combination index value of 0.7. IMP-1700 inhibits the ciprofloxacin-induced bacterial SOS response, a process that repairs DNA damage, in a reporter assay in a concentration-dependent manner. It is also active against E. coli, as well as methicillin-resistant and -sensitive S. aureus, when used alone (EC50s = 0.5, 0.21, and 3.8 µM, respectively).1.Lim, C.S.Q., Ha, K.P., Clarke, R.S., et al.Identification of a potent small-molecule inhibitor of bacterial DNA repair that potentiates quinolone antibiotic activity in methicillin-resistant Staphylococcus aureuBioorg. Med. Chem.27(20)114962(2019)
商品属性:
注意事项:
抗逆滴加序列
每次向板内滴加抗原时,移液器滴头要与平面45度悬空,不要触碰到孔内的液体,由后向前依次滴加(即浓度由低往高滴加)。
抗感染反应期
抗原抗体在室温20~25℃下,必须反应30min以上,若环境温度低于室温,可将微量反应板置于恒温培养箱中,使二者充分反应。
旅游温度
磷酸盐缓冲液的pH值要在高压灭菌后进行滴定,往往在高压后pH值会有所改变,所以高压后再调一次pH值更为准确。磷酸盐缓冲液一经使用保存期不要超过3周。当pH<5.8时,红细胞会产生自凝现象;当pH>7.8时,图形洗脱加快,易造成肉眼观察产生误差;p H=7.2时,红细胞沉降最充分,图形最清晰。
当滴注 1%红细胞悬液时,应经常摇晃红细胞悬液,使红细胞均匀地分布在磷酸缓冲液中,以防止红细胞下降。
反应时间及温度
加入鸡红血球之后,反应板在室温(20~25℃)静置30~40min,对照孔血球下沉于孔底,即可判定结果。若室温达不到实验要求,需相应调整反应时间。当环境温度低于4℃时,红细胞发生自凝;高于37℃时,会发生反应物分离和红细胞溶血。
公司正在出售的产品:
使用方法:
1.本蛋白酶抑制剂混合物为100×的储存液,使用时按照1:100的比例加入到裂解液中(例如,1ml裂解液中加入10μl蛋白酶抑制剂混合物),混匀后即可使用。根据需要,0.5M的EDTA也按照1:100的比例加入到裂解液中(如用于检测金属蛋白酶活性,则不宜添加EDTA)。含有蛋白酶抑制剂混合物的裂解液宜现用现配,不宜配制后冻存待后续使用。
2. 待所需的抑制剂添加完毕混匀后,就可以开始进行哺乳动物组织的裂解和蛋白提取。
分子式:C25H22F4N4O3S

分子量:534.5
溶解度:DMF: slightly soluble,DMSO: slightly soluble
储存条件:-20°C
General tips:For obtaining a higher solubility , please warm the tube at 37 ℃ and shake it in the ultrasonic bath for a while.
Shipping Condition:Evaluation sample solution : ship with blue ice All other available size: ship with RT , or blue ice upon request
IMP-1700 is an inhibitor of bacterial DNA repair.1 It potentiates the activity of the quinolone antibiotic ciprofloxacin against methicillin-resistant S. aureus (MRSA) with a combination index value of 0.7. IMP-1700 inhibits the ciprofloxacin-induced bacterial SOS response, a process that repairs DNA damage, in a reporter assay in a concentration-dependent manner. It is also active against E. coli, as well as methicillin-resistant and -sensitive S. aureus, when used alone (EC50s = 0.5, 0.21, and 3.8 µM, respectively).1.Lim, C.S.Q., Ha, K.P., Clarke, R.S., et al.Identification of a potent small-molecule inhibitor of bacterial DNA repair that potentiates quinolone antibiotic activity in methicillin-resistant Staphylococcus aureuBioorg. Med. Chem.27(20)114962(2019)
商品属性:
| 货号 | CS-01Y72032 | 规格 | 5mg 10mg 25mg |
| CAS号 | 1458674-25-3 | 分子量 | 534.5 |
| 含量 | >98.00% | 别名 | N/A |
| 分子式 | C25H22F4N4O3S | 化学名 | N/A |
| 产地 | 国产 | 用途 | 仅供科研研究实验 |
抗逆滴加序列
每次向板内滴加抗原时,移液器滴头要与平面45度悬空,不要触碰到孔内的液体,由后向前依次滴加(即浓度由低往高滴加)。
抗感染反应期
抗原抗体在室温20~25℃下,必须反应30min以上,若环境温度低于室温,可将微量反应板置于恒温培养箱中,使二者充分反应。
旅游温度
磷酸盐缓冲液的pH值要在高压灭菌后进行滴定,往往在高压后pH值会有所改变,所以高压后再调一次pH值更为准确。磷酸盐缓冲液一经使用保存期不要超过3周。当pH<5.8时,红细胞会产生自凝现象;当pH>7.8时,图形洗脱加快,易造成肉眼观察产生误差;p H=7.2时,红细胞沉降最充分,图形最清晰。
当滴注 1%红细胞悬液时,应经常摇晃红细胞悬液,使红细胞均匀地分布在磷酸缓冲液中,以防止红细胞下降。
反应时间及温度
加入鸡红血球之后,反应板在室温(20~25℃)静置30~40min,对照孔血球下沉于孔底,即可判定结果。若室温达不到实验要求,需相应调整反应时间。当环境温度低于4℃时,红细胞发生自凝;高于37℃时,会发生反应物分离和红细胞溶血。
公司正在出售的产品:
| 6,9-Dichloro-1,2,3,4-tetrahydroacridine | Tolclofos-methyl |
| SPR741 acetate | Mouse CXC-chemokine receptor 4 ELISA Kit,CXC-chemokine receptor 4,CXCR4 |
| Daclatasvir dihydrochloride | Mouse C-Peptide ELISA Kit,C-Peptide,C-P |
| Linezolid D3 | Mouse DNA methyltransferase 3B ELISA Kit,DNA methyltransferase 3B,DNMT3B |
| Hydroxy Itraconazole D8 | Mouse DNA methyltransferase 1 ELISA Kit,DNA methyltransferase 1,DNMT1 |
| Lindenenol | Mouse D-Dimer ELISA Kit,D-Dimer,D2D |
| Cefuroxime sodium (Cefuroxime sodium salt) | Mouse D-Lactate Dehydrogenase ELISA Kit,D-Lactate Dehydrogenase,D-LDH |
| Retapamulin | 人血管紧张肽酶A(ATA)ELISA检测试剂盒 |
| MF 5137 | Mouse CXC-chemokine ligand 1 ELISA Kit,CXC-chemokine ligand 1,CXCL1 |
| Bepotastine Besilate | Mouse Cluster of differentiation 8 ELISA Kit,Cluster of differentiation 8,CD8 |
| Ceftibuten | Mouse Cluster of differentiation 4 ELISA Kit,Cluster of differentiation 4,CD4 |
| MreB Perturbing Compound A22 | Mouse Cluster of differentiation 3 ELISA Kit,Cluster of differentiation 3,CD3 |
| Benzothiohydrazide | IMP-1700Mouse Cluster of differentiation 30 ligand ELISA Kit,Cluster of differentiation 30 ligand,CD30L |
| GSK1016790A | Mouse CD14 ELISA Kit,CD14,CD14 |
| Mouse B-cell leukemia;lymphoma 2 ELISA Kit,B-cell leukemia;lymphoma 2,Bcl-2 | Mouse CC-chemokine receptor 6 ELISA Kit,CC-chemokine receptor 6,CCR6 |
1.本蛋白酶抑制剂混合物为100×的储存液,使用时按照1:100的比例加入到裂解液中(例如,1ml裂解液中加入10μl蛋白酶抑制剂混合物),混匀后即可使用。根据需要,0.5M的EDTA也按照1:100的比例加入到裂解液中(如用于检测金属蛋白酶活性,则不宜添加EDTA)。含有蛋白酶抑制剂混合物的裂解液宜现用现配,不宜配制后冻存待后续使用。
2. 待所需的抑制剂添加完毕混匀后,就可以开始进行哺乳动物组织的裂解和蛋白提取。
风险提示:丁香通仅作为第三方平台,为商家信息发布提供平台空间。用户咨询产品时请注意保护个人信息及财产安全,合理判断,谨慎选购商品,商家和用户对交易行为负责。对于医疗器械类产品,请先查证核实企业经营资质和医疗器械产品注册证情况。
技术资料暂无技术资料 索取技术资料
IMP-1700
¥600








