万千商家帮你免费找货
0 人在求购买到急需产品
- 详细信息
- 询价记录
- 文献和实验
- 技术资料
- 库存:
54
- 英文名:
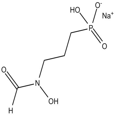
Fosmidomycin (sodium salt)
- CAS号:
66508-37-0
- 供应商:
上海莼试
- 保存条件:
Store at -20°C
- 规格:
1mg 5mg 10mg 25mg

规格:1mg 5mg 10mg 25mg
CAS:66508-37-0
别名:Antibiotic FR31564,FR31564
化学名:P-[3-(formylhydroxyamino)propyl]-phosphonic acid, monosodium salt
Fosmidomycin (sodium salt)分子式:C4H9NO5P • Na

分子量:205.1
溶解度:≤5mg/ml in PBS, pH 7.2
储存条件:Store at -20°C
General tips:For obtaining a higher solubility , please warm the tube at 37 ℃ and shake it in the ultrasonic bath for a while.
Shipping Condition: Evaluation sample solution : ship with blue ice All other available size: ship with RT , or blue ice upon request
本产品仅供科学实验研究使用! 不能用于临床或动物诊断!
| 产品名称 | Fosmidomycin (sodium salt) | 产品货号 | CS-01Y72519 |
| 规格 | 1mg 5mg 10mg 25mg | CAS号 | 66508-37-0 |
| 含量 | >98.00% | 分子式 | C4H9NO5P • Na |
| 分子量 | 205.1 | 用途 | 仅供科研研究使用 |

1. 常用筛选浓度
注意:用来筛选稳转株的工作浓度需要根据细胞类型,培养基,生长条件和细胞代谢率而变化,推荐使用浓度为50-1000μg/mL。对于第一次使用的实验体系建议通过建立杀灭曲线(kill curve),即剂量反应性曲线,来确定最佳筛选浓度。
一般而言,哺乳动物细胞50-500μg/mL;细菌/植物细胞20-200μg/mL;真菌300-1000μg/mL。
2. 杀灭曲线的建立
注意:为了筛选得到稳定表达目的蛋白的细胞株,需要确定能够杀死未转染宿主细胞的抗生素浓度,可通过建立杀灭曲线(剂量反应曲线)来实现,至少选择5个浓度。
1) 第一天:未转化的细胞按照20-25%的细胞密度铺在合适的培养板上,37℃,CO2培养过夜;注:对于需要更高密度来检测活力的细胞,可增加接种量。
2) 根据细胞类型,设定合适范围内的浓度梯度。以哺乳动物细胞为例,可设定50,100,250,500,750,1000μg/mL。先用去离子水或者PBS buffer按照1:10的比例将母液稀释到5 mg/ml,然后按照下表稀释到相应浓度的工作液。
3) 第二天:替换旧的培养基,换用新鲜配制的含有相应浓度药物的培养基。每个浓度做三个平行孔。
4) 接下来每3-4天更换新的含药物培养基。
5) 按照固定的周期(如每2天)进行活细胞计数来确定阻止未转染细胞生长的恰当浓度。选择在理想的天数(通常是7-10天)内能够杀死绝大多数细胞的浓度为稳定转染细胞筛选用的工作浓度。
3. 稳定转染细胞的筛选
1) 转染48h后,用含有适当浓度的潮霉素B筛选培养基来传代细胞(直接传代或者稀释后传代)。
注意:细胞处于活跃分裂状态时抗生素的杀伤。则当细胞过于稠密,其效率会降低。为了得到较好的筛选效果,最好将细胞稀释至丰度不超过25%
2) 每隔3-4天更换含有药物的筛选培养液。
3) 筛选7天后观察并评估细胞克隆(集落)的形成情况。集落的形成可能还需要一周或者更多的时间,这取决于宿主细胞类型,转染,以及筛选效果。
4) 挑取并转移5-10个抗性克隆于35mm细胞培养板,继续用含药物的筛选培养液维持培养7天。
5) 之后更换正常培养基培养即可。
蛋白酶抑制剂混合物实验步骤:

(1)实验开始前将RNA提取液于65℃水浴锅中预热,离心管中加入ME(巯基乙醇),(10mL加80ul,50mL中加入300ul)
(2)取约0.8g菌丝体(液体培养获得的菌丝用真空抽滤即可!固体培养就更好说了),在液氮中迅速磨成精细粉末,装入50mL离心管,按1g材料8mL的量加入预热的RNA提取液,颠倒混匀
(3)65℃水浴3-10 min,期间混匀2-3次
(4)加入等体积的酚(注意是酸酚pH4.5)::yi戊醇(25:24:1)抽提(10,000rpm,4℃,5 min)
(5)取上清,等体积的yi戊醇(24:1)抽提(10,000rpm,4℃,5 min)
(6)加入1/4V体积10M LiCl溶液,4℃放置6h以上(或过夜)
(7)10,000rpm,4℃离心20min
(8)弃上清,用500ul SSTE溶解沉淀
(9)酚::yi戊醇(25:24:1)抽提两次,:yi戊醇(24:1)抽提1次(10,000rpm,4℃,5min)
(10)加2V体积的无水乙醇,在-70℃冰箱沉淀30min以上
(11)12,000rpm,4℃离心20 min
(12)弃上清.沉淀用70%酒精漂洗一次,干燥
(13)加200ul的DEPC处理水溶解
(14)用非变性琼脂糖凝胶电泳和紫外分光光度计扫描检测RNA的质量(在抽提过程中,若蛋白质含量或其它的杂质还较多,可以增加抽提次数)
公司正在出售的产品:

| ML130 (Nodinitib-1) | Peramivir |
| 7-O-Methylaloeresin A | 猿疱疹PCR检测试剂盒 |
| N-(Hydroxymethyl)nicotinamide | 鸡异刺线虫PCR检测试剂盒 |
| Secnidazole | 高地PCR检测试剂盒 |
| Lansoprazole Sulfide D4 | 自然感染雉异刺线虫PCR检测试剂盒 |
| BMS-663068 | 高致病性猪生殖与呼吸综合症PCR检测试剂盒 |
| Amitraz (BTS-27419) | 睡眠嗜组织PCR检测试剂盒 |
| Zabofloxacin hydrochloride | 马皮疽组织胞浆PCR检测试剂盒 |
| (5α)-Stigmastane-3,6-dione | 松鼠猴疱疹PCR检测试剂盒 |
| Apramycin Sulfate | 火鸡疱疹PCR检测试剂盒 |
| Teicoplanin | 单纯疱疹通用PCR检测试剂盒 |
| Fenbendazole | 单纯疱疹型PCR检测试剂盒 |
| S/GSK1349572 | Fosmidomycin (sodium salt)肝胰腺细小PCR检测试剂盒 |
| Efonidipine hydrochloride monoethanolate | 丙型肝炎PCR检测试剂盒 |
| 甲型 / 乙型流感检测试剂盒(干燥型 / 双重荧光 PCR 法) | 丙型肝炎型PCR检测试剂盒 |
风险提示:丁香通仅作为第三方平台,为商家信息发布提供平台空间。用户咨询产品时请注意保护个人信息及财产安全,合理判断,谨慎选购商品,商家和用户对交易行为负责。对于医疗器械类产品,请先查证核实企业经营资质和医疗器械产品注册证情况。
- 作者
- 内容
- 询问日期
文献和实验Sodium (23 Na) imaging has a place somewhere between 1 H-MRI and MR spectroscopy (MRS). Like MRS it potentially provides information on metabolic processes, but only one single resonance of ionic 23 Na is observed. Therefore pulse sequences
Na。原子量 23。所有植物都含有钠,但对茎叶植物来说恐不是不可缺少的。钠对包括甜菜在内的若干盐生植物的生长,以及对适应高盐环境的蓝藻类的生长都具有促进作用。尤其是对鱼腥藻( Anabaena)是不可缺少的,在缺乏钾时钠可以部分地代替钾的作用。对许多动物来说,钠是维持体液渗透压不可缺少的成分,具有增加活细胞透性的作用。另外,对哺乳类来说,钠对血量的维持、体液的贮存、以及皮肤和肾脏的排泄都有夫系,这种钠的代谢是受副肾皮质激素(盐皮质激素)的调节。钠是脊椎动物血浆组成中的主要阳离子,在人体
The synthetic pentasaccharide Arixtra or Fondaparinux is an indirect anti-Xa that effectively inhibits thrombin generation via its binding to anti-thrombin, the co-factor for Xa. A well-executed and designed clinical development
技术资料暂无技术资料 索取技术资料









