相关产品推荐更多 >
万千商家帮你免费找货
0 人在求购买到急需产品
- 详细信息
- 文献和实验
- 技术资料
- 库存:
60
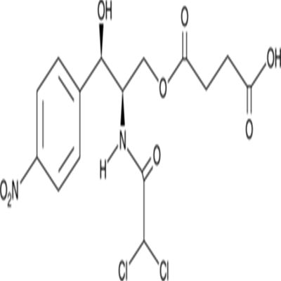
- 英文名:
Chloramphenicol Succinate
- CAS号:
3544-94-3
- 供应商:
上海莼试
- 保存条件:
Store at -20°C
- 规格:
5mg 25mg
| 货号 | CS-01Y72561 | 规格 | 5mg 25mg |
| CAS号 | 3544-94-3 | 分子量 | 423.2 |
| 含量 | >95.00% | 别名 | N/A |
| 分子式 | C15H16Cl2N2O8 | 化学名 | N/A |
| 产地 | 国产 | 用途 | 仅供科研研究实验 |
分子式:C15H16Cl2N2O8

分子量:423.2
溶解度:DMF: soluble,DMSO: soluble,Ethanol: soluble,Methanol: soluble
储存条件:Store at -20°C
General tips:For obtaining a higher solubility , please warm the tube at 37 ℃ and shake it in the ultrasonic bath for a while.
Shipping Condition:Evaluation sample solution : ship with blue ice All other available size: ship with RT , or blue ice upon request
Chloramphenicol succinate is a water-soluble prodrug form of the antibiotic chloramphenicol. It is a substrate for succinate dehydrogenase (SDH) and is oxidized by human liver and rat liver and kidney mitochondria to release chloramphenicol in vitro. Chloramphenicol succinate reduces human leukocyte migration in vitro. In vivo, chloramphenicol succinate reduces E. coli growth in rabbit and rat models of pyelonephritis when administered at doses of 150 and 200 mg/kg, respectively. Chloramphenicol succinate (20 mg/kg) reduces infarct size in a porcine model of myocardial ischemia-reperfusion injury. Formulations containing chloramphenicol succinate have been used in the treatment of severe bacterial infections.
注意事项:
抗逆滴加序列
每次向板内滴加抗原时,移液器滴头要与平面45度悬空,不要触碰到孔内的液体,由后向前依次滴加(即浓度由低往高滴加)。
抗感染反应期
抗原抗体在室温20~25℃下,必须反应30min以上,若环境温度低于室温,可将微量反应板置于恒温培养箱中,使二者充分反应。
旅游温度
磷酸盐缓冲液的pH值要在高压灭菌后进行滴定,往往在高压后pH值会有所改变,所以高压后再调一次pH值更为准确。磷酸盐缓冲液一经使用保存期不要超过3周。当pH<5.8时,红细胞会产生自凝现象;当pH>7.8时,图形洗脱加快,易造成肉眼观察产生误差;p H=7.2时,红细胞沉降最充分,图形最清晰。
当滴注 1%红细胞悬液时,应经常摇晃红细胞悬液,使红细胞均匀地分布在磷酸缓冲液中,以防止红细胞下降。
反应时间及温度
加入鸡红血球之后,反应板在室温(20~25℃)静置30~40min,对照孔血球下沉于孔底,即可判定结果。若室温达不到实验要求,需相应调整反应时间。当环境温度低于4℃时,红细胞发生自凝;高于37℃时,会发生反应物分离和红细胞溶血。
使用方法:
1.本蛋白酶抑制剂混合物为100×的储存液,使用时按照1:100的比例加入到裂解液中(例如,1ml裂解液中加入10μl蛋白酶抑制剂混合物),混匀后即可使用。根据需要,0.5M的EDTA也按照1:100的比例加入到裂解液中(如用于检测金属蛋白酶活性,则不宜添加EDTA)。含有蛋白酶抑制剂混合物的裂解液宜现用现配,不宜配制后冻存待后续使用。
2. 待所需的抑制剂添加完毕混匀后,就可以开始进行哺乳动物组织的裂解和蛋白提取。
公司正在出售的产品:
| Mubritinib (TAK 165) | Epinecidin-1 |
| FA-Phe-Gly-Gly-OH | 皮钦德PCR检测试剂盒 |
| Fluorescein-6-carbonyl-Tyr-Val-Ala-DL-Asp(OMe)-fluoromethylketone | 小双节PCR检测试剂盒 |
| Fmoc-4-fluoro-α-Me-D-Phe-OH .DCHA | 鸡疟原虫PCR检测试剂盒 |
| Fmoc-Ala-SASRIN™ resin (200-400 mesh, 0.5-0.8 mmol/g) | 镰刀疟原虫恶性疟原虫PCR检测试剂盒 |
| Fmoc-Asn(GlcNAc(Ac)₃-β-D)-OH | 三日疟原虫PCR检测试剂盒 |
| Fmoc-Asp-OMpe | 卵形疟原虫PCR检测试剂盒 |
| Fmoc-Cys(tBu)-Wang resin (200-400 mesh, 0.5-0.8 mmol/g) | 疟原虫通用PCR检测试剂盒 |
| Fmoc-Dap(Fmoc)-OH | 消化链球通用PCR检测试剂盒 |
| Fmoc-D-Cys(Mtt)-OH | 厌氧消化链球PCR检测试剂盒 |
| Fmoc-D-leucinol | 纯绿青霉PCR检测试剂盒 |
| Fmoc-D-Ser(PO(OBzl)OH)-OH | 杂色青霉PCR检测试剂盒 |
| Fmoc-Glu(OtBu)-SASRIN™ resin (200-400 mesh, 0.5-0.8 mmol/g) | Chloramphenicol Succinate马内菲青霉PCR检测试剂盒 |
| Huwentoxin IV | 岛青霉PCR检测试剂盒 |
| 间日疟原虫检测试剂盒 | 黄绿青霉PCR检测试剂盒 |
风险提示:丁香通仅作为第三方平台,为商家信息发布提供平台空间。用户咨询产品时请注意保护个人信息及财产安全,合理判断,谨慎选购商品,商家和用户对交易行为负责。对于医疗器械类产品,请先查证核实企业经营资质和医疗器械产品注册证情况。
文献和实验Chloramphenicol Acetyl Transferase Assay
The chloramphenicol acetyltransferase (cat) gene, isolated from transposon Tn9 of Escherichia coli (1 ), is a convenient genetic marker for studies of transformation. (For a detailed description of the CAT gene, see Chapter 1 .) In plants
用氧来氧化琥珀酸为延胡索酸的酶类。琥珀酸脱氢酶稳定地存在于线粒体内膜上,不能以可溶性的形态被提取,与细胞色素等密切结合,形成将电子传递给氧的复合酶系,因此很早以来就对琥珀酸氧化酶系进行了研究。作为成分,尚有 FAD、非铁血红素、辅酶 Q、细胞色素 b、 c、 c、 a、铜。氧化 1分子琥珀酸,可从 ADP和无机磷酸偶联生成二分子的 ATP。
琥珀酸脱氢酶 succinate dehydrogenase
系催化琥珀酸转化为延胡索酸的脱氢反应的酶( E. C. 1. 3. 99. 1)。生理的电子受体还不太清楚。属于黄素酶类,每约 20— 30万分子量中含有 1个 FAD, CH2 — COOH HOOCCHFAD和酶蛋白以共价键结合。酶中尚含有数个原子非铁血红素。 Fg( CN) 63-和吩嗪( phenagine)是它有效的人工电子受体。是巯( SH)酶的一种。可受丙二酸和草酰乙酸的拮抗性抑制,此酶存在于线粒体内膜和细菌的细胞膜上,与膜结构
技术资料暂无技术资料 索取技术资料








