相关产品推荐更多 >
万千商家帮你免费找货
0 人在求购买到急需产品
- 详细信息
- 文献和实验
- 技术资料
- 库存:
43
- 英文名:
Nizatidine
- CAS号:
76963-41-2
- 供应商:
上海莼试
- 保存条件:
Store at -20°C
- 规格:
10mM (in 1mL DMSO) 50mg
分子式:
分子量:331.46
溶解度:≥ 16.573mg/mL in DMSO
储存条件:Store at -20°C
General tips:For obtaining a higher solubility , please warm the tube at 37 ℃ and shake it in the ultrasonic bath for a while.
Shipping Condition:Evaluation sample solution : ship with blue ice All other available size: ship with RT , or blue ice upon request
Nizatidine is a histamine H2 receptor antagonist with low toxicity that inhibits gastric acid secretion.Target: Histamine H2 ReceptorNizatidine, a selective histamine H2-receptor antagonist, is a potent inhibitor of gastric acid secretion, with IC50 of 0.9 nM. Nizatidine exhibits maximal inhibition of gastric acid in rats within the first hour of drug administration, with EC50 of 1.383 μmol/kg [1]. Nizatidine also reversibly inhibits acetylcholinesterase (AChE), with IC50 of 6.7 μM, and the inhibition is noncompetitive, with a Ki value of 7.4 μM. Nizatidine (0.3-3 mg/kg, i.v.) significantly increases the motor index of gastrointestinal (GI) motility in a dose-dependent manner. Nizatidine inhibits gastric acid secretion with ED50 and ED90 of 0.18 and 3.22 mg/kg in dogs, and 2.94 and 19.6 mg/kg in rats, respectively [2].
商品属性:
| 货号 | CS-01Y76795 | 规格 | 10mM (in 1mL DMSO) 50mg |
| CAS号 | 76963-41-2 | 分子量 | 331.46 |
| 含量 | >99.00% | 别名 | |
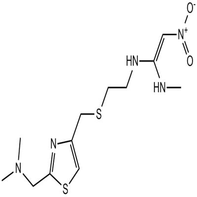
| 分子式 | 化学名 | (E)-1-N'-[2-[[2-[(dimethylamino)methyl]-1,3-thiazol-4-yl]methylsulfanyl]ethyl]-1-N-methyl-2-nitroethene-1,1-diamine | |
| 产地 | 国产 | 用途 | 仅供科研研究实验 |
抗逆滴加序列
每次向板内滴加抗原时,移液器滴头要与平面45度悬空,不要触碰到孔内的液体,由后向前依次滴加(即浓度由低往高滴加)。
抗感染反应期
抗原抗体在室温20~25℃下,必须反应30min以上,若环境温度低于室温,可将微量反应板置于恒温培养箱中,使二者充分反应。
旅游温度
磷酸盐缓冲液的pH值要在高压灭菌后进行滴定,往往在高压后pH值会有所改变,所以高压后再调一次pH值更为准确。磷酸盐缓冲液一经使用保存期不要超过3周。当pH<5.8时,红细胞会产生自凝现象;当pH>7.8时,图形洗脱加快,易造成肉眼观察产生误差;p H=7.2时,红细胞沉降最充分,图形最清晰。
当滴注 1%红细胞悬液时,应经常摇晃红细胞悬液,使红细胞均匀地分布在磷酸缓冲液中,以防止红细胞下降。
反应时间及温度
加入鸡红血球之后,反应板在室温(20~25℃)静置30~40min,对照孔血球下沉于孔底,即可判定结果。若室温达不到实验要求,需相应调整反应时间。当环境温度低于4℃时,红细胞发生自凝;高于37℃时,会发生反应物分离和红细胞溶血。
公司正在出售的产品:
| ANP (1-11), rat | MRS 2578 |
| BMS-1001 hydrochloride | 循环免疫复合物(CIC)检测试剂盒 |
| BAM7 | 血影蛋白(spectrin)检测试剂盒 |
| Mcl1-IN-9 | 血血小板衍生生长因子AB(PDGF-AB)检测试剂盒 |
| Z-VEID-FMK | 血血小板衍生生长因子可溶性受α(PDGFsR-α)检测试剂盒 |
| Romidepsin (FK228, depsipeptide) | 血小板源性生长因子D(PDGF-D)检测试剂盒 |
| Pogostone | 血小板因子4(PF4)检测试剂盒 |
| BI-847325 | mitogen activited protein kinase, MAPK Elisa Kit |
| PD-1-IN-17 TFA | 牙本质基质蛋白1(DMP1)检测试剂盒 |
| Poziotinib | 烟酰胺腺嘌呤二核苷酸(NAD)检测试剂盒 |
| Glycochenodeoxycholic Acid-d4 | 烟酰胺腺嘌呤二核苷酸磷酸(NADPH)检测试剂盒 |
| NVP-CGM097 sulfate | 延伸蛋白A(EloA)检测试剂盒 |
| Pazopanib-d6 | Nizatidine氧还原蛋白过氧化物酶4(PRDX4)检测试剂盒 |
| 6-Chloro-3-indolyl-β-D-Glucuronide (cyclohexylammonium salt) | 氧化低密度脂蛋白(OxLDL)检测试剂盒 |
| 氧化型低密度脂蛋白(OxLDL)检测试剂盒 | 氧化低密度脂蛋白抗(OLAb)检测试剂盒 |
1.本蛋白酶抑制剂混合物为100×的储存液,使用时按照1:100的比例加入到裂解液中(例如,1ml裂解液中加入10μl蛋白酶抑制剂混合物),混匀后即可使用。根据需要,0.5M的EDTA也按照1:100的比例加入到裂解液中(如用于检测金属蛋白酶活性,则不宜添加EDTA)。含有蛋白酶抑制剂混合物的裂解液宜现用现配,不宜配制后冻存待后续使用。
2. 待所需的抑制剂添加完毕混匀后,就可以开始进行哺乳动物组织的裂解和蛋白提取。
风险提示:丁香通仅作为第三方平台,为商家信息发布提供平台空间。用户咨询产品时请注意保护个人信息及财产安全,合理判断,谨慎选购商品,商家和用户对交易行为负责。对于医疗器械类产品,请先查证核实企业经营资质和医疗器械产品注册证情况。
文献和实验替丁(ranitidine)、法莫替丁(famotidine)和尼扎替丁(nizatidine)。 常用H 2 受体阻断药化学结构 【药理作用】本类药物竞争性拮抗H 2 受体,能抑制组胺、五肽胃泌素、M胆碱受体激动剂所引起的胃酸分泌。能明显抑制基础胃酸及食物和其他因素所引起的夜间胃酸分泌。用药后胃液量及氢离子浓度下降。用药4周,在内窥镜检查下,十二指肠溃疡愈合率为77%~92%。晚饭时1次给药疗效与一日多次
的新药。当前临床应用的有西米替丁(cimetidine)、雷尼替丁(ranitidine)、法莫替丁(famotidine)和尼扎替丁(nizatidine)。 常用H 2 受体阻断药化学结构 【药理作用】本类药物竞争性拮抗H 2 受体,能抑制组胺、五肽胃泌素、M胆碱受体激动剂所引起的胃酸分泌。能明显抑制基础胃酸及食物和其他因素所引起的夜间胃酸分泌。用药后胃液量及氢
反应性疾病 2. 晕动病及呕吐 [ 不良反应 ] :镇静、嗜睡、乏力等 第二节 H2 受体阻断药 西咪替丁( cimetidine )、雷尼替丁( ranitidine )、法莫替丁( famotidine )、尼扎替丁( nizatidine ) [ 作用 ] :竞争性拮抗 H2 受体,抑制组胺及其他原因引起的胃酸分泌。其中,法莫替丁作用最强。 [ 应用 ]: 1. 消化性溃疡 2. 卓 - 艾综合征 3. 反流性食管炎 [ 不良
技术资料暂无技术资料 索取技术资料









