万千商家帮你免费找货
0 人在求购买到急需产品
- 详细信息
- 文献和实验
- 技术资料
- 库存:
32
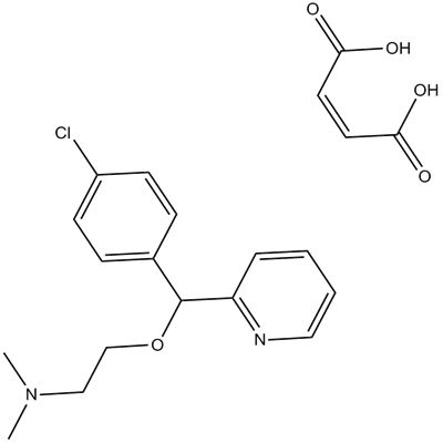
- 英文名:
CarbinoxaMine Maleate
- CAS号:
3505-38-2
- 供应商:
上海莼试
- 保存条件:
Store at -20°C
- 规格:
100mg 500mg
| 货号 | CS-01Y76072 | 规格 | 100mg 500mg |
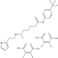
| CAS号 | 3505-38-2 | 分子量 | 406.86 |
| 含量 | >99.00% | 别名 | |
| 分子式 | C16H19ClN2O.C4H4O4 | 化学名 | 2-((4-chlorophenyl)(pyridin-2-yl)methoxy)-N,N-dimethylethanamine maleate |
| 产地 | 国产 | 用途 | 仅供科研研究实验 |
分子式:C16H19ClN2O.C4H4O4
分子量:406.86
溶解度:Chloroform: Slightly Soluble,Methanol: Slightly Soluble
储存条件:Store at -20°C
General tips:For obtaining a higher solubility , please warm the tube at 37 ℃ and shake it in the ultrasonic bath for a while.
Shipping Condition:Evaluation sample solution : ship with blue ice All other available size: ship with RT , or blue ice upon request
Carbinoxamine maleate salt is a histamine H1 receptor antagonist.
注意事项:
抗逆滴加序列
每次向板内滴加抗原时,移液器滴头要与平面45度悬空,不要触碰到孔内的液体,由后向前依次滴加(即浓度由低往高滴加)。
抗感染反应期
抗原抗体在室温20~25℃下,必须反应30min以上,若环境温度低于室温,可将微量反应板置于恒温培养箱中,使二者充分反应。
旅游温度
磷酸盐缓冲液的pH值要在高压灭菌后进行滴定,往往在高压后pH值会有所改变,所以高压后再调一次pH值更为准确。磷酸盐缓冲液一经使用保存期不要超过3周。当pH<5.8时,红细胞会产生自凝现象;当pH>7.8时,图形洗脱加快,易造成肉眼观察产生误差;p H=7.2时,红细胞沉降最充分,图形最清晰。
当滴注 1%红细胞悬液时,应经常摇晃红细胞悬液,使红细胞均匀地分布在磷酸缓冲液中,以防止红细胞下降。
反应时间及温度
加入鸡红血球之后,反应板在室温(20~25℃)静置30~40min,对照孔血球下沉于孔底,即可判定结果。若室温达不到实验要求,需相应调整反应时间。当环境温度低于4℃时,红细胞发生自凝;高于37℃时,会发生反应物分离和红细胞溶血。
使用方法:
1.本蛋白酶抑制剂混合物为100×的储存液,使用时按照1:100的比例加入到裂解液中(例如,1ml裂解液中加入10μl蛋白酶抑制剂混合物),混匀后即可使用。根据需要,0.5M的EDTA也按照1:100的比例加入到裂解液中(如用于检测金属蛋白酶活性,则不宜添加EDTA)。含有蛋白酶抑制剂混合物的裂解液宜现用现配,不宜配制后冻存待后续使用。
2. 待所需的抑制剂添加完毕混匀后,就可以开始进行哺乳动物组织的裂解和蛋白提取。
公司正在出售的产品:
| (S)-Lisofylline | 4-Methylumbelliferyl-β-D-Galactoside |
| (±)13(14)-EpDPA | anti-parotid duct Ab 抗腮腺管抗ELISA检测试剂盒 |
| Benastatin C | AAA 抗肾上腺皮质抗ELISA检测试剂盒 |
| Piclamilast | TI 真胰岛素ELISA检测试剂盒 |
| Rotenone | AGPA/PCA 抗胃壁细胞抗ELISA检测试剂盒 |
| Phloretin | ANA 抗中性粒细胞抗ELISA检测试剂盒 |
| Sphinganine (d18:0) | ANGA 抗中性粒细胞颗粒抗ELISA检测试剂盒 |
| CP671305 | EBVCA IgM ELISA kit |
| Dorzolamide | AhCGAb 抗绒毛膜促性腺激素抗ELISA检测试剂盒 |
| (S)-DO271 | anti-chromosome Ab 抗染色抗ELISA检测试剂盒 |
| Glycolithocholic Acid (sodium salt) | ABAb 抗脑组织抗ELISA检测试剂盒 |
| (±)5(6)-EET | APSA 抗磷脂酰丝氨酸抗ELISA检测试剂盒 |
| Ecopladib (PLA 725) | CarbinoxaMine MaleateALA/LCA 抗淋巴细胞毒抗ELISA检测试剂盒 |
| Glycolithocholic Acid | anti-macrophage Ab 抗巨噬细胞抗ELISA检测试剂盒 |
| ANF 抗核因子抗ELISA检测试剂盒 | ATGA/TGAB 抗甲状腺球蛋白抗ELISA检测试剂盒 |
风险提示:丁香通仅作为第三方平台,为商家信息发布提供平台空间。用户咨询产品时请注意保护个人信息及财产安全,合理判断,谨慎选购商品,商家和用户对交易行为负责。对于医疗器械类产品,请先查证核实企业经营资质和医疗器械产品注册证情况。
文献和实验sodium maleate pH 5.2 (3 x 5'). 8). en bloc stain in 1% uranyl acetate in maleate buffer pH 5.2 (1 hr RT). Using uranyl acetate at low pH will improve membrane contrast. Analternative contrasting method, which adds even more membrane contrast
糖液500ml稀释后缓慢滴入。 马来酸麦角新碱(ergometrine maleate)口服,0.2~0.5mg/次。肌内注射,0.2~0.5mg/次,必要时半小时后重复一次。静脉滴注0.2mg以5%葡萄糖溶液稀释后应用。极量:肌内或静脉注射,0.5mg/次,1mg/日。 酒石酸麦角胺(ergotamine tartrate)口服1mg/次。皮下或肌内注射,0.25mg/次。 麦角胺咖啡因片 每片含酒石酸麦角胺1mg,咖啡因100mg。偏头痛发作时即口服半片至1片半;如无效,可于
滴注5~10U/次,可用5%葡萄糖液500ml稀释后缓慢滴入。 马来酸麦角新碱(ergometrine maleate)口服,0.2~0.5mg/次。肌内注射,0.2~0.5mg/次,必要时半小时后重复一次。静脉滴注0.2mg以5%葡萄糖溶液稀释后应用。极量:肌内或静脉注射,0.5mg/次,1mg/日。 酒石酸麦角胺(ergotamine tartrate)口服1mg/次。皮下或肌内注射,0.25mg/次。 麦角胺咖啡因片 每片含酒石酸麦角胺1mg,咖啡因100mg。偏头痛发作
技术资料暂无技术资料 索取技术资料








